To evaluate the effect of two ventilatory strategies (conventional bag-mask ventilation vs. manual jet ventilation) on peak inspiratory pressures and dynamic compliance using electrical impedance tomography in adult patients undergoing interventional rigid bronchoscopy for central airway obstruction under total intravenous anaesthesia - A pilot randomised controlled study: VENTIJET-EIT study.

IF 1.9 Q1 ANESTHESIOLOGY
Indian Journal of Anaesthesia Pub Date : 2025-06-01 Epub Date: 2025-05-14 DOI:10.4103/ija.ija_176_25
Khushboo Pandey, Kiran Mahendru, Rakesh Garg, Sushma Bhatnagar, Seema Mishra, Nishkarsh Gupta, Sachidanand Jee Bharti, Vinod Kumar
{"title":"To evaluate the effect of two ventilatory strategies (conventional bag-mask ventilation vs. manual jet ventilation) on peak inspiratory pressures and dynamic compliance using electrical impedance tomography in adult patients undergoing interventional rigid bronchoscopy for central airway obstruction under total intravenous anaesthesia - A pilot randomised controlled study: VENTIJET-EIT study.","authors":"Khushboo Pandey, Kiran Mahendru, Rakesh Garg, Sushma Bhatnagar, Seema Mishra, Nishkarsh Gupta, Sachidanand Jee Bharti, Vinod Kumar","doi":"10.4103/ija.ija_176_25","DOIUrl":null,"url":null,"abstract":"<p><strong>Background and aims: </strong>Interventional rigid bronchoscopy (IRB) for central airway obstruction (CAO) may lead to significant changes in airway pressures and compliance. The objectives of this study were to evaluate the effect of conventional bag-mask ventilation versus manual jet ventilation on peak inspiratory pressures (PIPs) and dynamic compliance measured by electrical impedance tomography (EIT) during IRB for CAO.</p><p><strong>Methods: </strong>This pilot randomised controlled study included 60 patients in two groups: Group BMV (conventional bag-mask ventilation performed with manual coordination of self-inflating bag pressure and careful observation of chest expansion) and Group JET (manual jet ventilation with Sander's adapter under total intravenous anaesthesia). PIP and dynamic compliance were measured pre- and post-IRB using EIT with the insertion of an I-gel airway device.</p><p><strong>Results: </strong>The mean PIP pre- and post-IRB with Group BMV was found to be significantly lower, that is, 24.13 [standard deviation (SD): 8.33] versus 21.56 (SD: 6.71) (<i>P</i> = 0.02), whereas it was comparable in Group JET (<i>P</i> > 0.05). The median dynamic compliance in Group JET post-IRB was significantly higher, that is, 55 [range: 42-73, interquartile range (IQR): 51-58], compared to 49 (31-67, 43-53) in Group BMV (<i>P</i> = 0.002). The regional distribution of ventilation was comparable at all time points across both groups (<i>P</i> > 0.05).</p><p><strong>Conclusion: </strong>Conventional bag-mask ventilation and jet ventilation provide comparable outcomes in terms of PIP, dynamic compliance and regional distribution of ventilation in patients undergoing IRB for CAO.</p>","PeriodicalId":13339,"journal":{"name":"Indian Journal of Anaesthesia","volume":"69 6","pages":"570-579"},"PeriodicalIF":1.9000,"publicationDate":"2025-06-01","publicationTypes":"Journal Article","fieldsOfStudy":null,"isOpenAccess":false,"openAccessPdf":"https://www.ncbi.nlm.nih.gov/pmc/articles/PMC12133043/pdf/","citationCount":"0","resultStr":null,"platform":"Semanticscholar","paperid":null,"PeriodicalName":"Indian Journal of Anaesthesia","FirstCategoryId":"1085","ListUrlMain":"https://doi.org/10.4103/ija.ija_176_25","RegionNum":0,"RegionCategory":null,"ArticlePicture":[],"TitleCN":null,"AbstractTextCN":null,"PMCID":null,"EPubDate":"2025/5/14 0:00:00","PubModel":"Epub","JCR":"Q1","JCRName":"ANESTHESIOLOGY","Score":null,"Total":0}
引用次数: 0

Abstract

Background and aims: Interventional rigid bronchoscopy (IRB) for central airway obstruction (CAO) may lead to significant changes in airway pressures and compliance. The objectives of this study were to evaluate the effect of conventional bag-mask ventilation versus manual jet ventilation on peak inspiratory pressures (PIPs) and dynamic compliance measured by electrical impedance tomography (EIT) during IRB for CAO.

Methods: This pilot randomised controlled study included 60 patients in two groups: Group BMV (conventional bag-mask ventilation performed with manual coordination of self-inflating bag pressure and careful observation of chest expansion) and Group JET (manual jet ventilation with Sander's adapter under total intravenous anaesthesia). PIP and dynamic compliance were measured pre- and post-IRB using EIT with the insertion of an I-gel airway device.

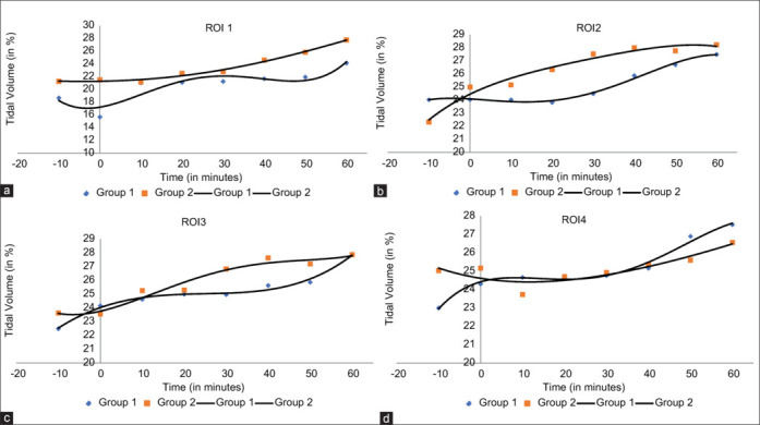
Results: The mean PIP pre- and post-IRB with Group BMV was found to be significantly lower, that is, 24.13 [standard deviation (SD): 8.33] versus 21.56 (SD: 6.71) (P = 0.02), whereas it was comparable in Group JET (P > 0.05). The median dynamic compliance in Group JET post-IRB was significantly higher, that is, 55 [range: 42-73, interquartile range (IQR): 51-58], compared to 49 (31-67, 43-53) in Group BMV (P = 0.002). The regional distribution of ventilation was comparable at all time points across both groups (P > 0.05).

Conclusion: Conventional bag-mask ventilation and jet ventilation provide comparable outcomes in terms of PIP, dynamic compliance and regional distribution of ventilation in patients undergoing IRB for CAO.

Abstract Image

Abstract Image

Abstract Image

评估两种通气策略(常规袋罩通气与手动喷射通气)对全静脉麻醉下接受介入性硬性支气管镜检查治疗中央气道阻塞的成年患者的峰值吸气压力和动态顺应性的影响——一项随机对照试验:VENTIJET-EIT研究。
背景和目的:介入性刚性支气管镜(IRB)治疗中央气道阻塞(CAO)可能导致气道压力和依从性的显著变化。本研究的目的是评估常规袋罩通气与手动喷射通气对CAO患者IRB期间峰值吸入压力(PIPs)和电阻抗断层扫描(EIT)测量的动态顺应性的影响。方法:本试验随机对照研究纳入60例患者,分为两组:BMV组(手动协调自充气袋压并仔细观察胸部扩张的常规袋罩通气)和JET组(全静脉麻醉下使用Sander转盘手动喷射通气)。使用EIT并插入I-gel气道装置测量irb前后的PIP和动态顺应性。结果:BMV组irb前后的平均PIP明显降低,分别为24.13[标准差(SD): 8.33]和21.56 (SD: 6.71) (P = 0.02),而JET组具有可比性(P < 0.05)。JET组irb后动态依从性中位数为55[范围:42 ~ 73,四分位间距(IQR): 51 ~ 58], BMV组为49(31 ~ 67,43 ~ 53),差异有统计学意义(P = 0.002)。两组各时间点通气的区域分布具有可比性(P < 0.05)。结论:常规袋罩通气与喷射通气在PIP、动态依从性和通气区域分布方面具有可比性。
本文章由计算机程序翻译,如有差异,请以英文原文为准。
求助全文
约1分钟内获得全文 求助全文
来源期刊
CiteScore
4.20
自引率
44.80%
发文量
210
审稿时长
36 weeks
×
引用
GB/T 7714-2015
复制
MLA
复制
APA
复制
导出至
BibTeX EndNote RefMan NoteFirst NoteExpress
×
提示
您的信息不完整,为了账户安全,请先补充。
现在去补充
×
提示
您因"违规操作"
具体请查看互助需知
我知道了
×
提示
确定
请完成安全验证×
copy
已复制链接
快去分享给好友吧!
我知道了
右上角分享
点击右上角分享
0
联系我们:info@booksci.cn Book学术提供免费学术资源搜索服务,方便国内外学者检索中英文文献。致力于提供最便捷和优质的服务体验。 Copyright © 2023 布克学术 All rights reserved.
京ICP备2023020795号-1
ghs 京公网安备 11010802042870号
Book学术文献互助
Book学术文献互助群
群 号:604180095
Book学术官方微信