Correlation analysis between hemoglobin and type 2 diabetic nephropathy: a two-center retrospective study

IF 2.9 3区 医学 Q2 ENDOCRINOLOGY & METABOLISM
Xiaoling Liu, Ze Zhang, Lu Lin, Jinghui Li, Bende Liu, Xiangjin Xu, Huaqian Chen, Junwei Zhou, Pin Chen
{"title":"Correlation analysis between hemoglobin and type 2 diabetic nephropathy: a two-center retrospective study","authors":"Xiaoling Liu,&nbsp;Ze Zhang,&nbsp;Lu Lin,&nbsp;Jinghui Li,&nbsp;Bende Liu,&nbsp;Xiangjin Xu,&nbsp;Huaqian Chen,&nbsp;Junwei Zhou,&nbsp;Pin Chen","doi":"10.1007/s00592-025-02529-9","DOIUrl":null,"url":null,"abstract":"<div><h3>Objective</h3><p>This study aimed to investigate the relationship between hemoglobin (Hb) levels and diabetic nephropathy (DN) in patients with type 2 diabetes mellitus (T2DM).</p><h3>Methods</h3><p>We recruited patients with T2DM from two centers, collected their clinical data, and analyzed the relationship between Hb levels and DN using binary logistic regression analysis and restricted cubic spline squares (RCS) plots.</p><h3>Results</h3><p>A total of 1956 patients with T2DM were enrolled, including 784 (40.1%) with DN. After adjusting for several confounding factors, the proportion of patients with DN in Q1 of Hb was significantly higher than that in the other group. The RCS curve revealed that Hb levels were inversely proportional to DN. Subgroup analysis demonstrated that age, gender, history of hypertension, history of nonalcoholic fatty liver disease and history of diabetic retinopathy exhibited no significant correlation with Hb levels and DN.</p><h3>Conclusions</h3><p>Low Hb level is closely associated with DN occurrence, and can be used as a predictive biomarker for DN.</p></div>","PeriodicalId":6921,"journal":{"name":"Acta Diabetologica","volume":"62 7","pages":"1149 - 1156"},"PeriodicalIF":2.9000,"publicationDate":"2025-06-05","publicationTypes":"Journal Article","fieldsOfStudy":null,"isOpenAccess":false,"openAccessPdf":"https://www.ncbi.nlm.nih.gov/pmc/articles/PMC12283885/pdf/","citationCount":"0","resultStr":null,"platform":"Semanticscholar","paperid":null,"PeriodicalName":"Acta Diabetologica","FirstCategoryId":"3","ListUrlMain":"https://link.springer.com/article/10.1007/s00592-025-02529-9","RegionNum":3,"RegionCategory":"医学","ArticlePicture":[],"TitleCN":null,"AbstractTextCN":null,"PMCID":null,"EPubDate":"","PubModel":"","JCR":"Q2","JCRName":"ENDOCRINOLOGY & METABOLISM","Score":null,"Total":0}
引用次数: 0

Abstract

Objective

This study aimed to investigate the relationship between hemoglobin (Hb) levels and diabetic nephropathy (DN) in patients with type 2 diabetes mellitus (T2DM).

Methods

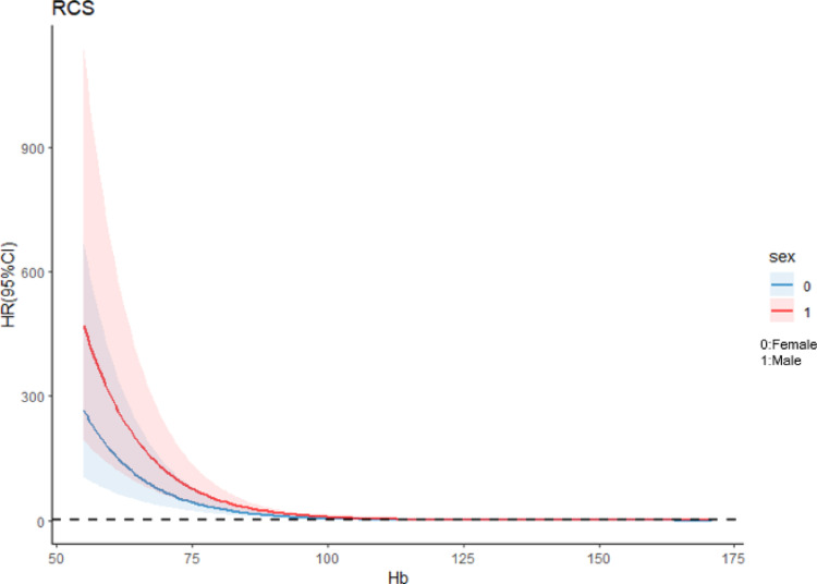
We recruited patients with T2DM from two centers, collected their clinical data, and analyzed the relationship between Hb levels and DN using binary logistic regression analysis and restricted cubic spline squares (RCS) plots.

Results

A total of 1956 patients with T2DM were enrolled, including 784 (40.1%) with DN. After adjusting for several confounding factors, the proportion of patients with DN in Q1 of Hb was significantly higher than that in the other group. The RCS curve revealed that Hb levels were inversely proportional to DN. Subgroup analysis demonstrated that age, gender, history of hypertension, history of nonalcoholic fatty liver disease and history of diabetic retinopathy exhibited no significant correlation with Hb levels and DN.

Conclusions

Low Hb level is closely associated with DN occurrence, and can be used as a predictive biomarker for DN.

Abstract Image

Abstract Image

Abstract Image

血红蛋白与2型糖尿病肾病的相关性分析:一项双中心回顾性研究。
目的:探讨2型糖尿病(T2DM)患者血红蛋白(Hb)水平与糖尿病肾病(DN)的关系。方法:我们从两个中心招募T2DM患者,收集他们的临床资料,采用二元logistic回归分析和限制性三次样条平方(RCS)图分析Hb水平与DN的关系。结果:共纳入1956例T2DM患者,其中784例DN患者(40.1%)。在调整多个混杂因素后,在Hb Q1中DN患者的比例明显高于另一组。RCS曲线显示Hb水平与DN成反比。亚组分析显示,年龄、性别、高血压史、非酒精性脂肪性肝病史和糖尿病视网膜病变史与Hb水平和DN无显著相关性。结论:低Hb水平与DN的发生密切相关,可作为DN的预测性生物标志物。
本文章由计算机程序翻译,如有差异,请以英文原文为准。
求助全文
约1分钟内获得全文 求助全文
来源期刊
Acta Diabetologica
Acta Diabetologica 医学-内分泌学与代谢
CiteScore
7.30
自引率
2.60%
发文量
180
审稿时长
2 months
期刊介绍: Acta Diabetologica is a journal that publishes reports of experimental and clinical research on diabetes mellitus and related metabolic diseases. Original contributions on biochemical, physiological, pathophysiological and clinical aspects of research on diabetes and metabolic diseases are welcome. Reports are published in the form of original articles, short communications and letters to the editor. Invited reviews and editorials are also published. A Methodology forum, which publishes contributions on methodological aspects of diabetes in vivo and in vitro, is also available. The Editor-in-chief will be pleased to consider articles describing new techniques (e.g., new transplantation methods, metabolic models), of innovative importance in the field of diabetes/metabolism. Finally, workshop reports are also welcome in Acta Diabetologica.
×
引用
GB/T 7714-2015
复制
MLA
复制
APA
复制
导出至
BibTeX EndNote RefMan NoteFirst NoteExpress
×
提示
您的信息不完整,为了账户安全,请先补充。
现在去补充
×
提示
您因"违规操作"
具体请查看互助需知
我知道了
×
提示
确定
请完成安全验证×
copy
已复制链接
快去分享给好友吧!
我知道了
右上角分享
点击右上角分享
0
联系我们:info@booksci.cn Book学术提供免费学术资源搜索服务,方便国内外学者检索中英文文献。致力于提供最便捷和优质的服务体验。 Copyright © 2023 布克学术 All rights reserved.
京ICP备2023020795号-1
ghs 京公网安备 11010802042870号
Book学术文献互助
Book学术文献互助群
群 号:604180095
Book学术官方微信