Effectiveness of virtual reality assisted active limb movement exercises for patients in the respiratory intensive care unit: a randomized pilot study.

IF 2.3 4区 医学 Q1 REHABILITATION
Jiani Wang, Chenxi Shi, Yanrui Jia, Qian Xiao
{"title":"Effectiveness of virtual reality assisted active limb movement exercises for patients in the respiratory intensive care unit: a randomized pilot study.","authors":"Jiani Wang, Chenxi Shi, Yanrui Jia, Qian Xiao","doi":"10.2340/jrm.v57.28399","DOIUrl":null,"url":null,"abstract":"<p><strong>Objective: </strong>The primary aim of this study is to compare the effectiveness of early active limb movement facilitated by virtual reality technologies with conventional exercise therapy in enhancing patient recovery in the Respiratory Intensive Care Unit. The follow-up period covers 1 week.</p><p><strong>Methods: </strong>In this prospective randomized controlled trial, patients were allocated to either a control group, which received standard exercise therapy, or a virtual reality group, which utilized virtual reality software and equipment for active exercises. Patients were followed for 1 week. The study compared compliance, safety, and rehabilitative outcomes between these groups. Data were analysed using a linear mixed-effects model.</p><p><strong>Results: </strong>Patients in the virtual reality-based exercise group exhibited significantly higher levels of average daily exercise time, out-of-bed exercise time, and overall exercise compliance compared with the control group (p < 0.05). There were no reports of adverse events related to exercise in either group. Notably, within the first week of intervention, the virtual reality-based exercise group showed significant improvements in various parameters, including muscle strength, grip strength, body mass index, and the Barthel Index, outperforming the control group in these areas (all p < 0.05).</p><p><strong>Conclusion: </strong>Based on 1 week of follow-up data, the study confirms that virtual reality-based exercise modalities are more efficacious than traditional exercise approaches in enhancing exercise duration, compliance, and various health outcomes in Respiratory Intensive Care Unit patients. This approach also contributes to reducing Respiratory Intensive Care Unit stay duration. The system's effectiveness could be further increased by integrating more varied and engaging rehabilitation games and features tailored to the needs of ICU patients.</p><p><strong>Trial registration: </strong>Chictr.org: ChiCTR1900021452.</p>","PeriodicalId":54768,"journal":{"name":"Journal of Rehabilitation Medicine","volume":"57 ","pages":"jrm28399"},"PeriodicalIF":2.3000,"publicationDate":"2025-06-03","publicationTypes":"Journal Article","fieldsOfStudy":null,"isOpenAccess":false,"openAccessPdf":"https://www.ncbi.nlm.nih.gov/pmc/articles/PMC12160588/pdf/","citationCount":"0","resultStr":null,"platform":"Semanticscholar","paperid":null,"PeriodicalName":"Journal of Rehabilitation Medicine","FirstCategoryId":"3","ListUrlMain":"https://doi.org/10.2340/jrm.v57.28399","RegionNum":4,"RegionCategory":"医学","ArticlePicture":[],"TitleCN":null,"AbstractTextCN":null,"PMCID":null,"EPubDate":"","PubModel":"","JCR":"Q1","JCRName":"REHABILITATION","Score":null,"Total":0}
引用次数: 0

Abstract

Objective: The primary aim of this study is to compare the effectiveness of early active limb movement facilitated by virtual reality technologies with conventional exercise therapy in enhancing patient recovery in the Respiratory Intensive Care Unit. The follow-up period covers 1 week.

Methods: In this prospective randomized controlled trial, patients were allocated to either a control group, which received standard exercise therapy, or a virtual reality group, which utilized virtual reality software and equipment for active exercises. Patients were followed for 1 week. The study compared compliance, safety, and rehabilitative outcomes between these groups. Data were analysed using a linear mixed-effects model.

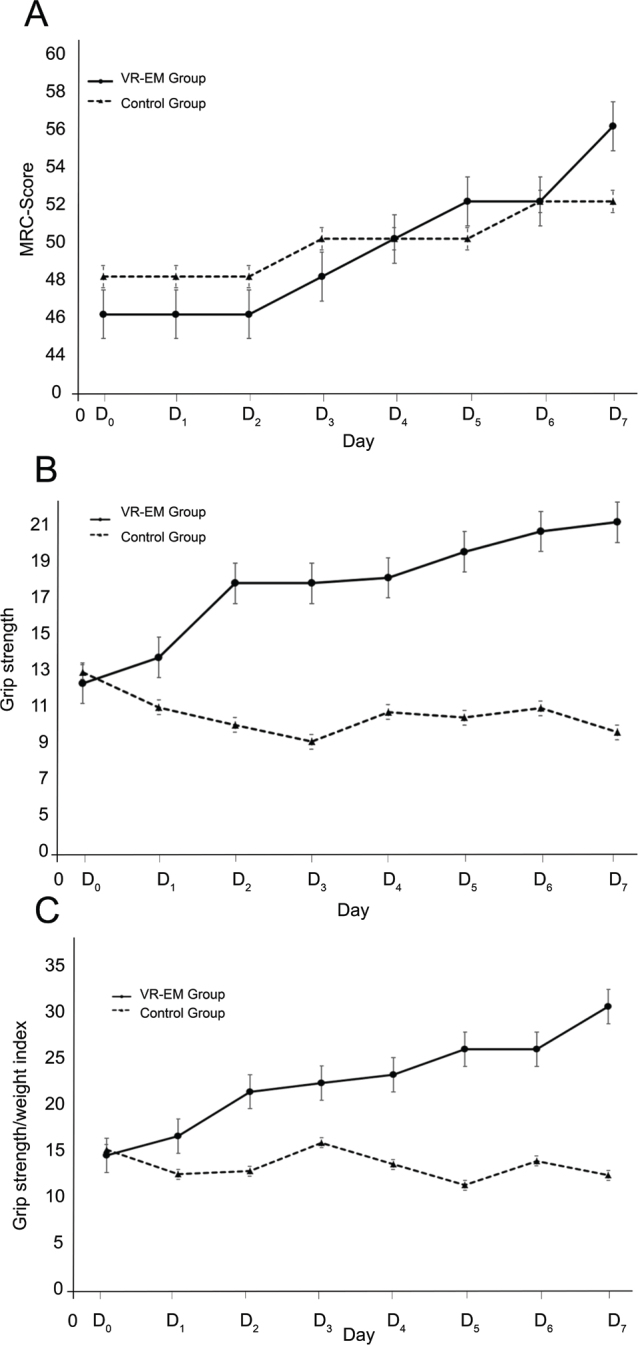
Results: Patients in the virtual reality-based exercise group exhibited significantly higher levels of average daily exercise time, out-of-bed exercise time, and overall exercise compliance compared with the control group (p < 0.05). There were no reports of adverse events related to exercise in either group. Notably, within the first week of intervention, the virtual reality-based exercise group showed significant improvements in various parameters, including muscle strength, grip strength, body mass index, and the Barthel Index, outperforming the control group in these areas (all p < 0.05).

Conclusion: Based on 1 week of follow-up data, the study confirms that virtual reality-based exercise modalities are more efficacious than traditional exercise approaches in enhancing exercise duration, compliance, and various health outcomes in Respiratory Intensive Care Unit patients. This approach also contributes to reducing Respiratory Intensive Care Unit stay duration. The system's effectiveness could be further increased by integrating more varied and engaging rehabilitation games and features tailored to the needs of ICU patients.

Trial registration: Chictr.org: ChiCTR1900021452.

Abstract Image

Abstract Image

Abstract Image

虚拟现实辅助主动肢体运动练习对呼吸重症监护病房患者的有效性:一项随机试点研究。
目的:本研究的主要目的是比较虚拟现实技术促进早期主动肢体运动与传统运动疗法在促进呼吸重症监护室患者康复方面的有效性。随访期为1周。方法:在这项前瞻性随机对照试验中,患者被分为对照组和虚拟现实组,对照组接受标准的运动治疗,虚拟现实组使用虚拟现实软件和设备进行积极运动。随访1周。该研究比较了这些组之间的依从性、安全性和康复结果。数据分析采用线性混合效应模型。结果:与对照组相比,基于虚拟现实的运动组患者在平均每日运动时间、床外运动时间和总体运动依从性方面表现出明显更高的水平(p)。基于一周的随访数据,该研究证实了基于虚拟现实的运动方式在提高呼吸重症监护室患者的运动时间、依从性和各种健康结果方面比传统运动方法更有效。这种方法也有助于减少呼吸重症监护室的住院时间。该系统的有效性可以通过整合更多样化的康复游戏和功能来进一步提高,以满足ICU患者的需求。试验注册:Chictr.org: ChiCTR1900021452。
本文章由计算机程序翻译,如有差异,请以英文原文为准。
求助全文
约1分钟内获得全文 求助全文
来源期刊
CiteScore
5.60
自引率
5.70%
发文量
102
审稿时长
4-8 weeks
期刊介绍: Journal of Rehabilitation Medicine is an international peer-review journal published in English, with at least 10 issues published per year. Original articles, reviews, case reports, short communications, special reports and letters to the editor are published, as also are editorials and book reviews. The journal strives to provide its readers with a variety of topics, including: functional assessment and intervention studies, clinical studies in various patient groups, methodology in physical and rehabilitation medicine, epidemiological studies on disabling conditions and reports on vocational and sociomedical aspects of rehabilitation.
×
引用
GB/T 7714-2015
复制
MLA
复制
APA
复制
导出至
BibTeX EndNote RefMan NoteFirst NoteExpress
×
提示
您的信息不完整,为了账户安全,请先补充。
现在去补充
×
提示
您因"违规操作"
具体请查看互助需知
我知道了
×
提示
确定
请完成安全验证×
copy
已复制链接
快去分享给好友吧!
我知道了
右上角分享
点击右上角分享
0
联系我们:info@booksci.cn Book学术提供免费学术资源搜索服务,方便国内外学者检索中英文文献。致力于提供最便捷和优质的服务体验。 Copyright © 2023 布克学术 All rights reserved.
京ICP备2023020795号-1
ghs 京公网安备 11010802042870号
Book学术文献互助
Book学术文献互助群
群 号:604180095
Book学术官方微信