Sama: a contig assembler with correctness guarantee.

IF 1.7 4区 生物学 Q4 BIOCHEMICAL RESEARCH METHODS
Leena Salmela
{"title":"Sama: a contig assembler with correctness guarantee.","authors":"Leena Salmela","doi":"10.1186/s13015-025-00280-y","DOIUrl":null,"url":null,"abstract":"<p><strong>Background: </strong>In genome assembly the task is to reconstruct a genome based on sequencing reads. Current practical methods are based on heuristics which are hard to analyse and thus such analysis is not readily available.</p><p><strong>Results: </strong>We present a model for estimating the probability of misassembly at each position of a de Bruijn graph based assembly. Unlike previous work, our model also takes into account missing data. We apply our model to produce contigs with correctness guarantee and correctness estimates for each position in the contigs.</p><p><strong>Conclusions: </strong>Our experiments show that when the coverage of k-mers is high enough, our method produces contigs with similar contiguity characteristics as state-of-the-art assemblers which are based on heuristic correction of the de Bruijn graph. Our model may have further applications in downstream analysis of contigs or in any analysis working directly on the de Bruijn graph.</p>","PeriodicalId":50823,"journal":{"name":"Algorithms for Molecular Biology","volume":"20 1","pages":"9"},"PeriodicalIF":1.7000,"publicationDate":"2025-06-03","publicationTypes":"Journal Article","fieldsOfStudy":null,"isOpenAccess":false,"openAccessPdf":"https://www.ncbi.nlm.nih.gov/pmc/articles/PMC12135590/pdf/","citationCount":"0","resultStr":null,"platform":"Semanticscholar","paperid":null,"PeriodicalName":"Algorithms for Molecular Biology","FirstCategoryId":"99","ListUrlMain":"https://doi.org/10.1186/s13015-025-00280-y","RegionNum":4,"RegionCategory":"生物学","ArticlePicture":[],"TitleCN":null,"AbstractTextCN":null,"PMCID":null,"EPubDate":"","PubModel":"","JCR":"Q4","JCRName":"BIOCHEMICAL RESEARCH METHODS","Score":null,"Total":0}
引用次数: 0

Abstract

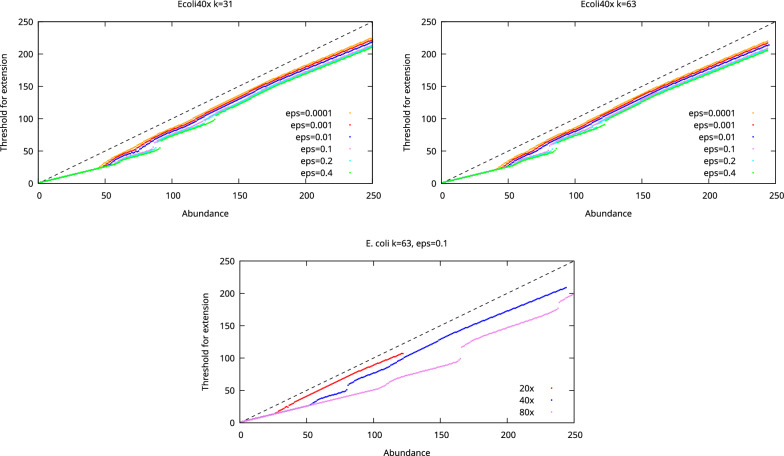
Background: In genome assembly the task is to reconstruct a genome based on sequencing reads. Current practical methods are based on heuristics which are hard to analyse and thus such analysis is not readily available.

Results: We present a model for estimating the probability of misassembly at each position of a de Bruijn graph based assembly. Unlike previous work, our model also takes into account missing data. We apply our model to produce contigs with correctness guarantee and correctness estimates for each position in the contigs.

Conclusions: Our experiments show that when the coverage of k-mers is high enough, our method produces contigs with similar contiguity characteristics as state-of-the-art assemblers which are based on heuristic correction of the de Bruijn graph. Our model may have further applications in downstream analysis of contigs or in any analysis working directly on the de Bruijn graph.

Abstract Image

Abstract Image

Abstract Image

Sama:具有正确性保证的配置汇编程序。
背景:基因组组装的任务是基于测序reads重建基因组。目前的实用方法是基于启发式的,难以分析,因此这种分析并不容易获得。结果:我们提出了一个模型,用于估计在基于de Bruijn图的装配的每个位置的错装配概率。与以前的工作不同,我们的模型还考虑了缺失数据。我们应用我们的模型来产生具有正确性保证和正确性估计的组合。结论:我们的实验表明,当k-mers的覆盖率足够高时,我们的方法产生的组合具有与基于de Bruijn图的启发式校正的最先进的组装器相似的邻近特征。我们的模型可以进一步应用于配置的下游分析或直接在德布鲁因图上工作的任何分析。
本文章由计算机程序翻译,如有差异,请以英文原文为准。
求助全文
约1分钟内获得全文 求助全文
来源期刊
Algorithms for Molecular Biology
Algorithms for Molecular Biology 生物-生化研究方法
CiteScore
2.40
自引率
10.00%
发文量
16
审稿时长
>12 weeks
期刊介绍: Algorithms for Molecular Biology publishes articles on novel algorithms for biological sequence and structure analysis, phylogeny reconstruction, and combinatorial algorithms and machine learning. Areas of interest include but are not limited to: algorithms for RNA and protein structure analysis, gene prediction and genome analysis, comparative sequence analysis and alignment, phylogeny, gene expression, machine learning, and combinatorial algorithms. Where appropriate, manuscripts should describe applications to real-world data. However, pure algorithm papers are also welcome if future applications to biological data are to be expected, or if they address complexity or approximation issues of novel computational problems in molecular biology. Articles about novel software tools will be considered for publication if they contain some algorithmically interesting aspects.
×
引用
GB/T 7714-2015
复制
MLA
复制
APA
复制
导出至
BibTeX EndNote RefMan NoteFirst NoteExpress
×
提示
您的信息不完整,为了账户安全,请先补充。
现在去补充
×
提示
您因"违规操作"
具体请查看互助需知
我知道了
×
提示
确定
请完成安全验证×
copy
已复制链接
快去分享给好友吧!
我知道了
右上角分享
点击右上角分享
0
联系我们:info@booksci.cn Book学术提供免费学术资源搜索服务,方便国内外学者检索中英文文献。致力于提供最便捷和优质的服务体验。 Copyright © 2023 布克学术 All rights reserved.
京ICP备2023020795号-1
ghs 京公网安备 11010802042870号
Book学术文献互助
Book学术文献互助群
群 号:604180095
Book学术官方微信