Clinical and Immunological Features of a Large DiGeorge Syndrome Cohort.

IF 5.7 2区 医学 Q1 IMMUNOLOGY
Merve Süleyman, Deniz Cagdas, Pelin Özlem Şimşek Kiper, Gülen Eda Ütine, Merve Kaşıkcı Çavdar, Feyzi İlhan Tezcan
{"title":"Clinical and Immunological Features of a Large DiGeorge Syndrome Cohort.","authors":"Merve Süleyman, Deniz Cagdas, Pelin Özlem Şimşek Kiper, Gülen Eda Ütine, Merve Kaşıkcı Çavdar, Feyzi İlhan Tezcan","doi":"10.1007/s10875-025-01884-0","DOIUrl":null,"url":null,"abstract":"<p><strong>Background: </strong>DiGeorge Syndrome (DGS), a microdeletion syndrome, shows a broad spectrum from mild T-cell lymphopenia to severe combined immunodeficiency.</p><p><strong>Aim: </strong>To define the clinical/immunophenotypical biomarkers for DGS.</p><p><strong>Patients and methods: </strong>A total of 72 patients with 22q11.2 deletion(n = 66) and those fulfilling the DGS criteria without deletion (n = 6) were enrolled.</p><p><strong>Results: </strong>The male/female ratio was 41/31. Median age at clinical diagnosis was 1.7 years (0 days-22 years) with follow-up for 21.7 months (0 days-17.3 years). Common evaluation reasons were cardiac features (30.6%), failure to thrive (15.3%), and neurological features (15.3%). Craniofacial dysmorphism (64/66, 97%), central nervous system findings (62/72, 86.1%), and congenital cardiovascular defect (43/70, 61.4%) were common. We noted lymphopenia (30/72, 41.7%) and low IgM (25/69, 36.2%). T helper cell counts were low in 49.3% (33/67). T cytotoxic and NK cell counts were normal/high in 80.6% (54/67) and 97% (65/67) of patients, respectively. 42.3% (11/26) had low CD4 + TEMRA, and 34.6% (9/26) had low CD8 + TEM percentages. None had low CD8 + TEMRA. B cells were normal/high (52/67, 77.6%). 30.8%(8/26) had low switched-memory and 38.5% (10/26) had low active B cell percentages. Low IgA levels were associated with decreased lymphocyte activation and recent thymic emigrant (RTE) cell percentages. Six(8.3%) patients with lymphopenia, three of whom had congenital athymia, died.</p><p><strong>Conclusion: </strong>CD4 lymphopenia was more common than CD8 lymphopenia. Normal/high CD8 + and NK cell counts were remarkable. Increased CD8+ TEMRA cells seem to indicate peripheral homeostatic proliferation following viral infections. Low serum IgA correlated with low RTE% and impaired T-cell function. DGS severity markers include hypocalcemia, congenital cardiac anomaly, and T-cell lymphopenia.</p>","PeriodicalId":15531,"journal":{"name":"Journal of Clinical Immunology","volume":"45 1","pages":"103"},"PeriodicalIF":5.7000,"publicationDate":"2025-06-03","publicationTypes":"Journal Article","fieldsOfStudy":null,"isOpenAccess":false,"openAccessPdf":"https://www.ncbi.nlm.nih.gov/pmc/articles/PMC12133924/pdf/","citationCount":"0","resultStr":null,"platform":"Semanticscholar","paperid":null,"PeriodicalName":"Journal of Clinical Immunology","FirstCategoryId":"3","ListUrlMain":"https://doi.org/10.1007/s10875-025-01884-0","RegionNum":2,"RegionCategory":"医学","ArticlePicture":[],"TitleCN":null,"AbstractTextCN":null,"PMCID":null,"EPubDate":"","PubModel":"","JCR":"Q1","JCRName":"IMMUNOLOGY","Score":null,"Total":0}
引用次数: 0

Abstract

Background: DiGeorge Syndrome (DGS), a microdeletion syndrome, shows a broad spectrum from mild T-cell lymphopenia to severe combined immunodeficiency.

Aim: To define the clinical/immunophenotypical biomarkers for DGS.

Patients and methods: A total of 72 patients with 22q11.2 deletion(n = 66) and those fulfilling the DGS criteria without deletion (n = 6) were enrolled.

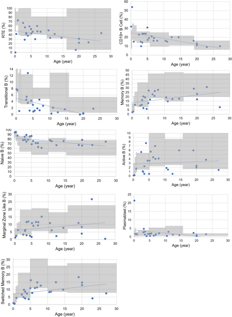
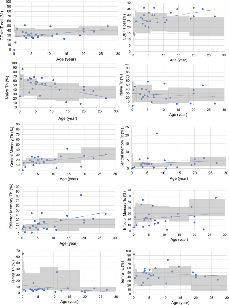
Results: The male/female ratio was 41/31. Median age at clinical diagnosis was 1.7 years (0 days-22 years) with follow-up for 21.7 months (0 days-17.3 years). Common evaluation reasons were cardiac features (30.6%), failure to thrive (15.3%), and neurological features (15.3%). Craniofacial dysmorphism (64/66, 97%), central nervous system findings (62/72, 86.1%), and congenital cardiovascular defect (43/70, 61.4%) were common. We noted lymphopenia (30/72, 41.7%) and low IgM (25/69, 36.2%). T helper cell counts were low in 49.3% (33/67). T cytotoxic and NK cell counts were normal/high in 80.6% (54/67) and 97% (65/67) of patients, respectively. 42.3% (11/26) had low CD4 + TEMRA, and 34.6% (9/26) had low CD8 + TEM percentages. None had low CD8 + TEMRA. B cells were normal/high (52/67, 77.6%). 30.8%(8/26) had low switched-memory and 38.5% (10/26) had low active B cell percentages. Low IgA levels were associated with decreased lymphocyte activation and recent thymic emigrant (RTE) cell percentages. Six(8.3%) patients with lymphopenia, three of whom had congenital athymia, died.

Conclusion: CD4 lymphopenia was more common than CD8 lymphopenia. Normal/high CD8 + and NK cell counts were remarkable. Increased CD8+ TEMRA cells seem to indicate peripheral homeostatic proliferation following viral infections. Low serum IgA correlated with low RTE% and impaired T-cell function. DGS severity markers include hypocalcemia, congenital cardiac anomaly, and T-cell lymphopenia.

Abstract Image

Abstract Image

Abstract Image

一个大型迪乔治综合征队列的临床和免疫学特征。
背景:迪乔治综合征(DGS)是一种微缺失综合征,表现为从轻度t细胞淋巴细胞减少到严重联合免疫缺陷的广谱症状。目的:确定DGS的临床/免疫表型生物标志物。患者和方法:共纳入72例22q11.2缺失患者(n = 66)和符合DGS标准的无缺失患者(n = 6)。结果:男女比例为41/31。临床诊断时的中位年龄为1.7岁(0天-22岁),随访时间为21.7个月(0天-17.3年)。常见的评估原因是心脏特征(30.6%)、发育不全(15.3%)和神经系统特征(15.3%)。颅面畸形(64/ 66,97%)、中枢神经系统(62/72,86.1%)和先天性心血管缺陷(43/70,61.4%)较为常见。我们发现淋巴细胞减少(30/72,41.7%)和低IgM(25/69, 36.2%)。辅助T细胞计数低的占49.3%(33/67)。T细胞毒性和NK细胞计数正常/高的分别为80.6%(54/67)和97%(65/67)。42.3%(11/26)患者CD4 + TEMRA低,34.6%(9/26)患者CD8 + TEM低。无CD8 + TEMRA低。B细胞正常/高(52/67,77.6%)。30.8%(8/26)和38.5%(10/26)的患者B细胞活性较低。低IgA水平与淋巴细胞活化和新近胸腺迁移(RTE)细胞百分比降低有关。6例(8.3%)淋巴细胞减少患者死亡,其中3例患有先天性胸腺功能不全。结论:CD4淋巴细胞减少比CD8淋巴细胞减少更常见。CD8 +和NK细胞计数正常/增高。增加的CD8+ TEMRA细胞似乎表明病毒感染后外周稳态增殖。低血清IgA与低RTE%和t细胞功能受损相关。DGS严重程度的标志包括低钙血症、先天性心脏异常和t细胞淋巴细胞减少症。
本文章由计算机程序翻译,如有差异,请以英文原文为准。
求助全文
约1分钟内获得全文 求助全文
来源期刊
CiteScore
12.20
自引率
9.90%
发文量
218
审稿时长
2 months
期刊介绍: The Journal of Clinical Immunology publishes impactful papers in the realm of human immunology, delving into the diagnosis, pathogenesis, prognosis, or treatment of human diseases. The journal places particular emphasis on primary immunodeficiencies and related diseases, encompassing inborn errors of immunity in a broad sense, their underlying genotypes, and diverse phenotypes. These phenotypes include infection, malignancy, allergy, auto-inflammation, and autoimmunity. We welcome a broad spectrum of studies in this domain, spanning genetic discovery, clinical description, immunologic assessment, diagnostic approaches, prognosis evaluation, and treatment interventions. Case reports are considered if they are genuinely original and accompanied by a concise review of the relevant medical literature, illustrating how the novel case study advances the field. The instructions to authors provide detailed guidance on the four categories of papers accepted by the journal.
×
引用
GB/T 7714-2015
复制
MLA
复制
APA
复制
导出至
BibTeX EndNote RefMan NoteFirst NoteExpress
×
提示
您的信息不完整,为了账户安全,请先补充。
现在去补充
×
提示
您因"违规操作"
具体请查看互助需知
我知道了
×
提示
确定
请完成安全验证×
copy
已复制链接
快去分享给好友吧!
我知道了
右上角分享
点击右上角分享
0
联系我们:info@booksci.cn Book学术提供免费学术资源搜索服务,方便国内外学者检索中英文文献。致力于提供最便捷和优质的服务体验。 Copyright © 2023 布克学术 All rights reserved.
京ICP备2023020795号-1
ghs 京公网安备 11010802042870号
Book学术文献互助
Book学术文献互助群
群 号:604180095
Book学术官方微信