Population Pharmacokinetic Analysis of Enalapril and Enalaprilat in Newly Treated Children with Heart Failure: Implications for Safe Dosing of Enalapril (LENA Studies).

IF 4 2区 医学 Q1 PHARMACOLOGY & PHARMACY
Clinical Pharmacokinetics Pub Date : 2025-07-01 Epub Date: 2025-06-03 DOI:10.1007/s40262-025-01520-5
Melina Steichert, Willi Cawello, Stephanie Laeer
{"title":"Population Pharmacokinetic Analysis of Enalapril and Enalaprilat in Newly Treated Children with Heart Failure: Implications for Safe Dosing of Enalapril (LENA Studies).","authors":"Melina Steichert, Willi Cawello, Stephanie Laeer","doi":"10.1007/s40262-025-01520-5","DOIUrl":null,"url":null,"abstract":"<p><strong>Background: </strong>Enalapril orodispersible minitablets (ODMT) have been authorised by the European Medicines Agency for the treatment of heart failure in children from birth to 17 years of age in 2023. Consequently, the use of enalapril in very young and angiotensin-converting enzyme inhibitor (ACEi) naïve patients is expected to increase.</p><p><strong>Objectives: </strong>Simultaneous characterisation of the pharmacokinetics (PK) of enalapril and the active metabolite enalaprilat in ACEi naïve children with heart failure using a combined population pharmacokinetic (PopPK) model and identification of clinically relevant covariates for the dosing of enalapril in this population.</p><p><strong>Methods: </strong>Data of ACEi naïve subjects from the European project 'Labeling of Enalapril from Neonates up to Adolescents' (LENA) were analysed using nonlinear mixed effects modelling. In the prospective, open-label, multicentre phase II/III PK bridging studies, children with heart failure due to dilated cardiomyopathy (DCM) and congenital heart disease (CHD) received enalapril ODMT according to an age- and weight-dependent dosing regimen. Allometric scaling was implemented for the disposition parameters of enalapril and enalaprilat. Stepwise covariate modelling was used to test the covariates age, sex, serum creatinine and Ross score. The final model was validated using nonparametric bootstrap analysis. Simulations were performed to assess the impact of the covariates after the first dose and at steady state.</p><p><strong>Results: </strong>The analysed dataset comprised 173 enalapril and 268 enalaprilat serum concentrations from 34 subjects aged 25 days to 2.1 years (median age = 0.3 years). A combined model consisting of a one-compartment model for enalapril coupled with a one-compartment model for enalaprilat with absorption lag was selected as the structural model. Covariate analysis revealed that the weight-adjusted apparent clearance of enalaprilat increases with increasing age and decreases with increasing serum creatinine. In addition, the weight-adjusted apparent volume of distribution of enalaprilat decreases with increasing Ross score. The simulations indicated that serum creatinine levels above the normal reference range, age and weight were clinically relevant covariates for both the first dose and the steady state dose of enalapril. Furthermore, the simulations indicated that the Ross score is a clinically relevant covariate for the first dose of enalapril.</p><p><strong>Conclusions: </strong>The results of the PopPK analysis and simulations indicated that, in addition to the currently considered parameters of weight and renal function, the parameters of age and severity of heart failure should also be considered when dosing enalapril in children with heart failure.</p><p><strong>Trial registration: </strong>Trial registration number (date of registration): EudraCT 2015-002335-17 (30 November 2015), EudraCT 2015-002396-18 (30 November 2015). The trials were registered on the EU Clinical Trials Register ( https://www.clinicaltrialsregister.eu ).</p>","PeriodicalId":10405,"journal":{"name":"Clinical Pharmacokinetics","volume":" ","pages":"1103-1118"},"PeriodicalIF":4.0000,"publicationDate":"2025-07-01","publicationTypes":"Journal Article","fieldsOfStudy":null,"isOpenAccess":false,"openAccessPdf":"https://www.ncbi.nlm.nih.gov/pmc/articles/PMC12185616/pdf/","citationCount":"0","resultStr":null,"platform":"Semanticscholar","paperid":null,"PeriodicalName":"Clinical Pharmacokinetics","FirstCategoryId":"3","ListUrlMain":"https://doi.org/10.1007/s40262-025-01520-5","RegionNum":2,"RegionCategory":"医学","ArticlePicture":[],"TitleCN":null,"AbstractTextCN":null,"PMCID":null,"EPubDate":"2025/6/3 0:00:00","PubModel":"Epub","JCR":"Q1","JCRName":"PHARMACOLOGY & PHARMACY","Score":null,"Total":0}
引用次数: 0

Abstract

Background: Enalapril orodispersible minitablets (ODMT) have been authorised by the European Medicines Agency for the treatment of heart failure in children from birth to 17 years of age in 2023. Consequently, the use of enalapril in very young and angiotensin-converting enzyme inhibitor (ACEi) naïve patients is expected to increase.

Objectives: Simultaneous characterisation of the pharmacokinetics (PK) of enalapril and the active metabolite enalaprilat in ACEi naïve children with heart failure using a combined population pharmacokinetic (PopPK) model and identification of clinically relevant covariates for the dosing of enalapril in this population.

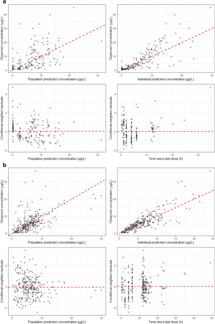
Methods: Data of ACEi naïve subjects from the European project 'Labeling of Enalapril from Neonates up to Adolescents' (LENA) were analysed using nonlinear mixed effects modelling. In the prospective, open-label, multicentre phase II/III PK bridging studies, children with heart failure due to dilated cardiomyopathy (DCM) and congenital heart disease (CHD) received enalapril ODMT according to an age- and weight-dependent dosing regimen. Allometric scaling was implemented for the disposition parameters of enalapril and enalaprilat. Stepwise covariate modelling was used to test the covariates age, sex, serum creatinine and Ross score. The final model was validated using nonparametric bootstrap analysis. Simulations were performed to assess the impact of the covariates after the first dose and at steady state.

Results: The analysed dataset comprised 173 enalapril and 268 enalaprilat serum concentrations from 34 subjects aged 25 days to 2.1 years (median age = 0.3 years). A combined model consisting of a one-compartment model for enalapril coupled with a one-compartment model for enalaprilat with absorption lag was selected as the structural model. Covariate analysis revealed that the weight-adjusted apparent clearance of enalaprilat increases with increasing age and decreases with increasing serum creatinine. In addition, the weight-adjusted apparent volume of distribution of enalaprilat decreases with increasing Ross score. The simulations indicated that serum creatinine levels above the normal reference range, age and weight were clinically relevant covariates for both the first dose and the steady state dose of enalapril. Furthermore, the simulations indicated that the Ross score is a clinically relevant covariate for the first dose of enalapril.

Conclusions: The results of the PopPK analysis and simulations indicated that, in addition to the currently considered parameters of weight and renal function, the parameters of age and severity of heart failure should also be considered when dosing enalapril in children with heart failure.

Trial registration: Trial registration number (date of registration): EudraCT 2015-002335-17 (30 November 2015), EudraCT 2015-002396-18 (30 November 2015). The trials were registered on the EU Clinical Trials Register ( https://www.clinicaltrialsregister.eu ).

Abstract Image

Abstract Image

Abstract Image

依那普利和依那普利在新治疗的心力衰竭患儿中的群体药代动力学分析:依那普利安全给药的意义(LENA研究)。
背景:依那普利或可分散迷你片(ODMT)已被欧洲药品管理局(ema)批准于2023年用于治疗出生至17岁儿童心力衰竭。因此,依那普利在非常年轻和血管紧张素转换酶抑制剂(ACEi) naïve患者中的使用预计会增加。目的:使用联合群体药代动力学(PopPK)模型同时表征依那普利和活性代谢物依那普利在ACEi naïve心力衰竭儿童中的药代动力学(PK),并确定依那普利在该人群中给药的临床相关协变量。方法:采用非线性混合效应模型分析欧洲项目“新生儿至青少年依那四月标签”(LENA) ACEi naïve受试者的数据。在前瞻性、开放标签、多中心II/III期PK桥接研究中,患有扩张型心肌病(DCM)和先天性心脏病(CHD)的心衰儿童根据年龄和体重依赖的给药方案接受依那普利ODMT治疗。对依那普利和依那普利的配置参数进行异速标度。采用逐步协变量模型对协变量年龄、性别、血清肌酐和Ross评分进行检验。最后利用非参数自举分析对模型进行了验证。进行了模拟,以评估协变量在第一次剂量后和稳定状态下的影响。结果:分析的数据集包括34名年龄为25天至2.1岁(中位年龄= 0.3岁)的受试者的173个依那普利和268个依那普利血清浓度。结构模型选择依那普利单室模型与依那普利有吸收滞后的单室模型相结合的组合模型。协变量分析显示,依那普利特经体重调整后的表观清除率随年龄的增加而增加,随血清肌酐的升高而降低。依那普利特经体重调整后的表观分布体积随Ross评分的增加而减小。模拟结果表明,血清肌酐水平高于正常参考范围,年龄和体重是依那普利首次剂量和稳定剂量的临床相关协变量。此外,模拟表明,罗斯评分是依那普利首次剂量的临床相关协变量。结论:PopPK分析和模拟结果表明,依那普利在给心衰儿童给药时,除了目前考虑的体重和肾功能参数外,还应考虑年龄和心衰严重程度参数。试验注册:试验注册号(注册日期):EudraCT 2015-002335-17(2015年11月30日),EudraCT 2015-002396-18(2015年11月30日)。这些试验已在欧盟临床试验注册(https://www.clinicaltrialsregister.eu)上注册。
本文章由计算机程序翻译,如有差异,请以英文原文为准。
求助全文
约1分钟内获得全文 求助全文
来源期刊
CiteScore
8.80
自引率
4.40%
发文量
86
审稿时长
6-12 weeks
期刊介绍: Clinical Pharmacokinetics promotes the continuing development of clinical pharmacokinetics and pharmacodynamics for the improvement of drug therapy, and for furthering postgraduate education in clinical pharmacology and therapeutics. Pharmacokinetics, the study of drug disposition in the body, is an integral part of drug development and rational use. Knowledge and application of pharmacokinetic principles leads to accelerated drug development, cost effective drug use and a reduced frequency of adverse effects and drug interactions.
×
引用
GB/T 7714-2015
复制
MLA
复制
APA
复制
导出至
BibTeX EndNote RefMan NoteFirst NoteExpress
×
提示
您的信息不完整,为了账户安全,请先补充。
现在去补充
×
提示
您因"违规操作"
具体请查看互助需知
我知道了
×
提示
确定
请完成安全验证×
copy
已复制链接
快去分享给好友吧!
我知道了
右上角分享
点击右上角分享
0
联系我们:info@booksci.cn Book学术提供免费学术资源搜索服务,方便国内外学者检索中英文文献。致力于提供最便捷和优质的服务体验。 Copyright © 2023 布克学术 All rights reserved.
京ICP备2023020795号-1
ghs 京公网安备 11010802042870号
Book学术文献互助
Book学术文献互助群
群 号:604180095
Book学术官方微信