Plasma Aldosterone Elevation in Hypertensive Patients and Association with Urinary Stone Formation: A Large-Scale Population Study from Northwest China.

IF 3.2 2区 医学 Q1 PUBLIC, ENVIRONMENTAL & OCCUPATIONAL HEALTH
Clinical Epidemiology Pub Date : 2025-05-30 eCollection Date: 2025-01-01 DOI:10.2147/CLEP.S522455
Shuaiwei Song, Nanfang Li, Di Shen, Junli Hu, Xintian Cai, Qing Zhu, Yingying Zhang, Rui Ma, Pan Zhou, Zhiqiang Zhang, Wen Jiang, Jing Hong
{"title":"Plasma Aldosterone Elevation in Hypertensive Patients and Association with Urinary Stone Formation: A Large-Scale Population Study from Northwest China.","authors":"Shuaiwei Song, Nanfang Li, Di Shen, Junli Hu, Xintian Cai, Qing Zhu, Yingying Zhang, Rui Ma, Pan Zhou, Zhiqiang Zhang, Wen Jiang, Jing Hong","doi":"10.2147/CLEP.S522455","DOIUrl":null,"url":null,"abstract":"<p><strong>Background: </strong>Previous studies have suggested a potential association between plasma aldosterone concentration (PAC) and calcium regulation. However, it remains unclear whether elevated PAC levels increase the risk of urinary stones. Therefore, this study aimed to investigate the relationship between PAC levels and urinary stones, including their subtypes, in patients with hypertension.</p><p><strong>Methods: </strong>This large-scale study included a total of 35161 hypertensive patients. Multivariable logistic regression was used to analyze the association between PAC levels and urinary stones, as well as their subtypes. Additionally, a dose-response relationship was explored using restricted cubic spline (RCS) analysis, and a two-stage comparative analysis was conducted based on the RCS turning point. The importance of PAC was further confirmed through variable importance analysis. Finally, extensive subgroup analyses and sensitivity analyses were performed to assess the robustness of the findings.</p><p><strong>Results: </strong>Multivariable logistic regression revealed a significant association between elevated PAC levels and the occurrence of urinary stones and their subtypes. Specifically, for every 5 ng/dL increase in PAC, the risk of urinary stones increased by 26% (odds ratios [OR] 1.26, 95% confidence interval [CI], 1.22-1.30, P<0.001). Furthermore, RCS threshold analysis demonstrated a marked increase in urinary stone risk when PAC levels exceeded 14.2 ng/dL (OR 1.50, 95% CI, 1.38-1.63, P<0.001). These findings were consistent across subtypes, including kidney stones and ureteral stones. Subgroup analyses showed that the results were unaffected by stratification factors, and sensitivity analyses further confirmed the stability of the findings.</p><p><strong>Conclusion: </strong>This study demonstrated that elevated PAC levels are significantly associated with the occurrence of urinary stones and their subtypes in hypertensive patients. These findings suggest that controlling PAC levels in hypertensive patients may help reduce the risk of urinary stone formation.</p>","PeriodicalId":10362,"journal":{"name":"Clinical Epidemiology","volume":"17 ","pages":"497-512"},"PeriodicalIF":3.2000,"publicationDate":"2025-05-30","publicationTypes":"Journal Article","fieldsOfStudy":null,"isOpenAccess":false,"openAccessPdf":"https://www.ncbi.nlm.nih.gov/pmc/articles/PMC12132638/pdf/","citationCount":"0","resultStr":null,"platform":"Semanticscholar","paperid":null,"PeriodicalName":"Clinical Epidemiology","FirstCategoryId":"3","ListUrlMain":"https://doi.org/10.2147/CLEP.S522455","RegionNum":2,"RegionCategory":"医学","ArticlePicture":[],"TitleCN":null,"AbstractTextCN":null,"PMCID":null,"EPubDate":"2025/1/1 0:00:00","PubModel":"eCollection","JCR":"Q1","JCRName":"PUBLIC, ENVIRONMENTAL & OCCUPATIONAL HEALTH","Score":null,"Total":0}
引用次数: 0

Abstract

Background: Previous studies have suggested a potential association between plasma aldosterone concentration (PAC) and calcium regulation. However, it remains unclear whether elevated PAC levels increase the risk of urinary stones. Therefore, this study aimed to investigate the relationship between PAC levels and urinary stones, including their subtypes, in patients with hypertension.

Methods: This large-scale study included a total of 35161 hypertensive patients. Multivariable logistic regression was used to analyze the association between PAC levels and urinary stones, as well as their subtypes. Additionally, a dose-response relationship was explored using restricted cubic spline (RCS) analysis, and a two-stage comparative analysis was conducted based on the RCS turning point. The importance of PAC was further confirmed through variable importance analysis. Finally, extensive subgroup analyses and sensitivity analyses were performed to assess the robustness of the findings.

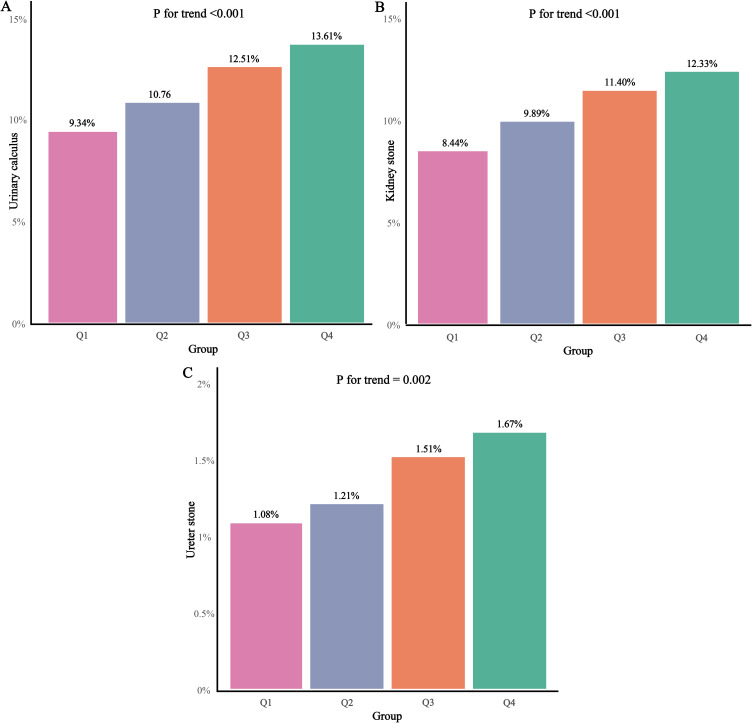
Results: Multivariable logistic regression revealed a significant association between elevated PAC levels and the occurrence of urinary stones and their subtypes. Specifically, for every 5 ng/dL increase in PAC, the risk of urinary stones increased by 26% (odds ratios [OR] 1.26, 95% confidence interval [CI], 1.22-1.30, P<0.001). Furthermore, RCS threshold analysis demonstrated a marked increase in urinary stone risk when PAC levels exceeded 14.2 ng/dL (OR 1.50, 95% CI, 1.38-1.63, P<0.001). These findings were consistent across subtypes, including kidney stones and ureteral stones. Subgroup analyses showed that the results were unaffected by stratification factors, and sensitivity analyses further confirmed the stability of the findings.

Conclusion: This study demonstrated that elevated PAC levels are significantly associated with the occurrence of urinary stones and their subtypes in hypertensive patients. These findings suggest that controlling PAC levels in hypertensive patients may help reduce the risk of urinary stone formation.

Abstract Image

Abstract Image

Abstract Image

高血压患者血浆醛固酮升高与尿路结石形成的关系:一项来自西北地区的大规模人群研究。
背景:先前的研究表明血浆醛固酮浓度(PAC)与钙调节之间存在潜在关联。然而,目前尚不清楚PAC水平升高是否会增加尿路结石的风险。因此,本研究旨在探讨高血压患者PAC水平与尿路结石及其亚型的关系。方法:本研究纳入35161例高血压患者。采用多变量logistic回归分析PAC水平与尿路结石及其亚型之间的关系。此外,采用限制性三次样条(RCS)分析探讨了剂量-反应关系,并基于RCS拐点进行了两阶段比较分析。通过变量重要性分析进一步确认PAC的重要性。最后,进行了广泛的亚组分析和敏感性分析,以评估研究结果的稳健性。结果:多变量logistic回归显示PAC水平升高与尿路结石及其亚型的发生有显著相关性。具体来说,PAC每增加5 ng/dL,尿路结石的风险增加26%(优势比[OR] 1.26, 95%可信区间[CI] 1.22-1.30)。结论:本研究表明PAC水平升高与高血压患者尿路结石及其亚型的发生显著相关。这些发现表明,控制高血压患者的PAC水平可能有助于降低尿路结石形成的风险。
本文章由计算机程序翻译,如有差异,请以英文原文为准。
求助全文
约1分钟内获得全文 求助全文
来源期刊
Clinical Epidemiology
Clinical Epidemiology Medicine-Epidemiology
CiteScore
6.30
自引率
5.10%
发文量
169
审稿时长
16 weeks
期刊介绍: Clinical Epidemiology is an international, peer reviewed, open access journal. Clinical Epidemiology focuses on the application of epidemiological principles and questions relating to patients and clinical care in terms of prevention, diagnosis, prognosis, and treatment. Clinical Epidemiology welcomes papers covering these topics in form of original research and systematic reviews. Clinical Epidemiology has a special interest in international electronic medical patient records and other routine health care data, especially as applied to safety of medical interventions, clinical utility of diagnostic procedures, understanding short- and long-term clinical course of diseases, clinical epidemiological and biostatistical methods, and systematic reviews. When considering submission of a paper utilizing publicly-available data, authors should ensure that such studies add significantly to the body of knowledge and that they use appropriate validated methods for identifying health outcomes. The journal has launched special series describing existing data sources for clinical epidemiology, international health care systems and validation studies of algorithms based on databases and registries.
×
引用
GB/T 7714-2015
复制
MLA
复制
APA
复制
导出至
BibTeX EndNote RefMan NoteFirst NoteExpress
×
提示
您的信息不完整,为了账户安全,请先补充。
现在去补充
×
提示
您因"违规操作"
具体请查看互助需知
我知道了
×
提示
确定
请完成安全验证×
copy
已复制链接
快去分享给好友吧!
我知道了
右上角分享
点击右上角分享
0
联系我们:info@booksci.cn Book学术提供免费学术资源搜索服务,方便国内外学者检索中英文文献。致力于提供最便捷和优质的服务体验。 Copyright © 2023 布克学术 All rights reserved.
京ICP备2023020795号-1
ghs 京公网安备 11010802042870号
Book学术文献互助
Book学术文献互助群
群 号:604180095
Book学术官方微信