Estimation of the Duration of Antihypertensive Prescriptions: Validation of a Data-Driven Approach Using Rotterdam Study Data.

IF 2.4 4区 医学 Q3 PHARMACOLOGY & PHARMACY
Chau L B Ho, David Youens, Walter P Abhayaratna, Max K Bulsara, Jeff Hughes, Rachael Moorin, Sallie-Anne Pearson, David B Preen, Christopher M Reid, Rikje Ruiter, Christobel M Saunders, Bruno H Stricker, John Stubbs, Frank J A van Rooij, Cameron Wright, Ninh Thi Ha
{"title":"Estimation of the Duration of Antihypertensive Prescriptions: Validation of a Data-Driven Approach Using Rotterdam Study Data.","authors":"Chau L B Ho, David Youens, Walter P Abhayaratna, Max K Bulsara, Jeff Hughes, Rachael Moorin, Sallie-Anne Pearson, David B Preen, Christopher M Reid, Rikje Ruiter, Christobel M Saunders, Bruno H Stricker, John Stubbs, Frank J A van Rooij, Cameron Wright, Ninh Thi Ha","doi":"10.1002/pds.70164","DOIUrl":null,"url":null,"abstract":"<p><strong>Objectives: </strong>Administrative medicine dispensing data often omit prescribed duration, which is important for research on adherence or other pharmacoepidemiological topics. While the reverse waiting time distribution (rWTD) method has been widely used to estimate prescribed durations, its accuracy in real-world dispensing data is unknown. We assessed the performance of the rWTD method against the actual prescribed duration recorded in the Rotterdam Study.</p><p><strong>Methods: </strong>100 725 antihypertensive (AHT) prescriptions from 2018 to 2019 were extracted from the Rotterdam Study's medicine data. Data were constructed into five scenarios with increasing variability in the number of medicines included and variations in prescribed duration. The rWTD with 10 random index dates with or without adjustment for the quantity of dispensed medicine was conducted in all scenarios. Relative differences and limit of agreement ratio based on Bland-Altman analysis were used to examine agreement between estimated and actual prescribed durations.</p><p><strong>Results: </strong>rWTD models without adjustment for the quantity of dispensed medicine performed well only in the most homogenous scenario. In scenarios with greater data variability, performance improved significantly when adjusted for the quantity of dispensed medicine. Relative difference decreased from ≥ 65% in models without covariates to ≤ 20% with covariates, and the limit of agreement ratio decreased from ≥ 36.8 in models without covariates to ≤ 5.3 with covariates. Stratification analysis by subclass of the AHT medicines provided similar results.</p><p><strong>Conclusions: </strong>The study demonstrated that as data variability increased, the accuracy of the rWTD estimations decreased. However, the rWTD can produce good estimates (relative difference from 0% to 28%) of prescribed duration for AHT medicines, with the highest accuracy in the model adjusting for the quantity of dispensed medicine or stratification of the data with a relative difference less than 20% and the limit of agreement ratio less than 5.3 for the estimation at the 90th percentile of inter-arrival density. Since this validation was limited to antihypertensive medicines, generalizing the finding to other chronic-use medicines should be undertaken with caution.</p>","PeriodicalId":19782,"journal":{"name":"Pharmacoepidemiology and Drug Safety","volume":"34 6","pages":"e70164"},"PeriodicalIF":2.4000,"publicationDate":"2025-06-01","publicationTypes":"Journal Article","fieldsOfStudy":null,"isOpenAccess":false,"openAccessPdf":"https://www.ncbi.nlm.nih.gov/pmc/articles/PMC12127836/pdf/","citationCount":"0","resultStr":null,"platform":"Semanticscholar","paperid":null,"PeriodicalName":"Pharmacoepidemiology and Drug Safety","FirstCategoryId":"3","ListUrlMain":"https://doi.org/10.1002/pds.70164","RegionNum":4,"RegionCategory":"医学","ArticlePicture":[],"TitleCN":null,"AbstractTextCN":null,"PMCID":null,"EPubDate":"","PubModel":"","JCR":"Q3","JCRName":"PHARMACOLOGY & PHARMACY","Score":null,"Total":0}
引用次数: 0

Abstract

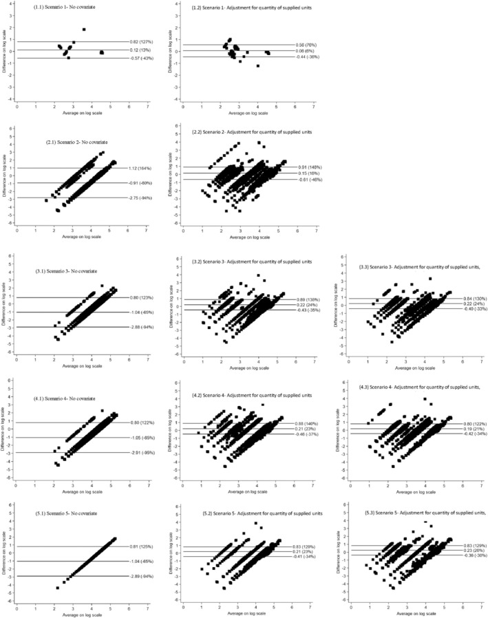
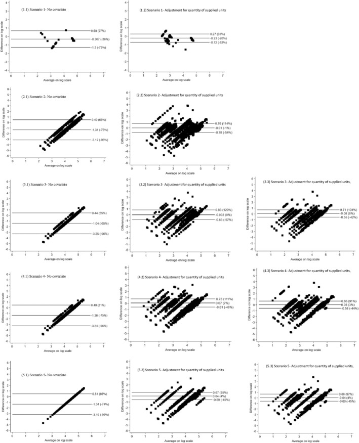
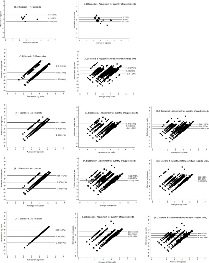
Objectives: Administrative medicine dispensing data often omit prescribed duration, which is important for research on adherence or other pharmacoepidemiological topics. While the reverse waiting time distribution (rWTD) method has been widely used to estimate prescribed durations, its accuracy in real-world dispensing data is unknown. We assessed the performance of the rWTD method against the actual prescribed duration recorded in the Rotterdam Study.

Methods: 100 725 antihypertensive (AHT) prescriptions from 2018 to 2019 were extracted from the Rotterdam Study's medicine data. Data were constructed into five scenarios with increasing variability in the number of medicines included and variations in prescribed duration. The rWTD with 10 random index dates with or without adjustment for the quantity of dispensed medicine was conducted in all scenarios. Relative differences and limit of agreement ratio based on Bland-Altman analysis were used to examine agreement between estimated and actual prescribed durations.

Results: rWTD models without adjustment for the quantity of dispensed medicine performed well only in the most homogenous scenario. In scenarios with greater data variability, performance improved significantly when adjusted for the quantity of dispensed medicine. Relative difference decreased from ≥ 65% in models without covariates to ≤ 20% with covariates, and the limit of agreement ratio decreased from ≥ 36.8 in models without covariates to ≤ 5.3 with covariates. Stratification analysis by subclass of the AHT medicines provided similar results.

Conclusions: The study demonstrated that as data variability increased, the accuracy of the rWTD estimations decreased. However, the rWTD can produce good estimates (relative difference from 0% to 28%) of prescribed duration for AHT medicines, with the highest accuracy in the model adjusting for the quantity of dispensed medicine or stratification of the data with a relative difference less than 20% and the limit of agreement ratio less than 5.3 for the estimation at the 90th percentile of inter-arrival density. Since this validation was limited to antihypertensive medicines, generalizing the finding to other chronic-use medicines should be undertaken with caution.

Abstract Image

Abstract Image

Abstract Image

抗高血压处方持续时间的估计:使用鹿特丹研究数据验证数据驱动方法。
目的:行政调剂数据经常忽略规定的持续时间,这对依从性或其他药物流行病学主题的研究很重要。虽然反向等待时间分布(rWTD)方法已被广泛用于估计规定的持续时间,但其在实际分配数据中的准确性尚不清楚。我们根据鹿特丹研究中记录的实际规定持续时间评估了rWTD方法的性能。方法:从鹿特丹研究的医学数据中提取2018 - 2019年100725张抗高血压(AHT)处方。数据分为五种情况,包括药物数量和处方持续时间的变化越来越大。在所有情况下,随机选取10个指标日期,对配药量进行调整或不进行调整。使用基于Bland-Altman分析的相对差异和协议比率的限制来检查估计和实际规定的持续时间之间的一致性。结果:未调整分配药物数量的rWTD模型仅在最均匀的情况下表现良好。在数据变异性较大的情况下,根据分配药物的数量进行调整后,性能显著提高。相对差异从无协变量模型的≥65%下降到有协变量模型的≤20%,一致性比极限从无协变量模型的≥36.8下降到有协变量模型的≤5.3。AHT药物亚类的分层分析也提供了类似的结果。结论:研究表明,随着数据变异性的增加,rWTD估计的准确性降低。然而,rWTD可以很好地估计AHT药物的处方持续时间(相对差异从0%到28%),在调整了配药数量或数据分层的模型中,准确率最高,相对差异小于20%,到达间密度第90百分位估计的一致性比率极限小于5.3。由于这项验证仅限于抗高血压药物,因此将这一发现推广到其他慢性用药时应谨慎进行。
本文章由计算机程序翻译,如有差异,请以英文原文为准。
求助全文
约1分钟内获得全文 求助全文
来源期刊
CiteScore
4.80
自引率
7.70%
发文量
173
审稿时长
3 months
期刊介绍: The aim of Pharmacoepidemiology and Drug Safety is to provide an international forum for the communication and evaluation of data, methods and opinion in the discipline of pharmacoepidemiology. The Journal publishes peer-reviewed reports of original research, invited reviews and a variety of guest editorials and commentaries embracing scientific, medical, statistical, legal and economic aspects of pharmacoepidemiology and post-marketing surveillance of drug safety. Appropriate material in these categories may also be considered for publication as a Brief Report. Particular areas of interest include: design, analysis, results, and interpretation of studies looking at the benefit or safety of specific pharmaceuticals, biologics, or medical devices, including studies in pharmacovigilance, postmarketing surveillance, pharmacoeconomics, patient safety, molecular pharmacoepidemiology, or any other study within the broad field of pharmacoepidemiology; comparative effectiveness research relating to pharmaceuticals, biologics, and medical devices. Comparative effectiveness research is the generation and synthesis of evidence that compares the benefits and harms of alternative methods to prevent, diagnose, treat, and monitor a clinical condition, as these methods are truly used in the real world; methodologic contributions of relevance to pharmacoepidemiology, whether original contributions, reviews of existing methods, or tutorials for how to apply the methods of pharmacoepidemiology; assessments of harm versus benefit in drug therapy; patterns of drug utilization; relationships between pharmacoepidemiology and the formulation and interpretation of regulatory guidelines; evaluations of risk management plans and programmes relating to pharmaceuticals, biologics and medical devices.
×
引用
GB/T 7714-2015
复制
MLA
复制
APA
复制
导出至
BibTeX EndNote RefMan NoteFirst NoteExpress
×
提示
您的信息不完整,为了账户安全,请先补充。
现在去补充
×
提示
您因"违规操作"
具体请查看互助需知
我知道了
×
提示
确定
请完成安全验证×
copy
已复制链接
快去分享给好友吧!
我知道了
右上角分享
点击右上角分享
0
联系我们:info@booksci.cn Book学术提供免费学术资源搜索服务,方便国内外学者检索中英文文献。致力于提供最便捷和优质的服务体验。 Copyright © 2023 布克学术 All rights reserved.
京ICP备2023020795号-1
ghs 京公网安备 11010802042870号
Book学术文献互助
Book学术文献互助群
群 号:604180095
Book学术官方微信