Is it possible to encourage TB testing and detect missing TB cases via community-level promotion of a self-screening mobile application? Quasi-experimental evidence from South Africa.

IF 4.4 Q1 HEALTH CARE SCIENCES & SERVICES
Kate Rich, Ronelle Burger, Deanne Goldberg, Harry Moultrie, Matthias Rieger
{"title":"Is it possible to encourage TB testing and detect missing TB cases via community-level promotion of a self-screening mobile application? Quasi-experimental evidence from South Africa.","authors":"Kate Rich, Ronelle Burger, Deanne Goldberg, Harry Moultrie, Matthias Rieger","doi":"10.1136/bmjhci-2024-101179","DOIUrl":null,"url":null,"abstract":"<p><strong>Objectives: </strong>While mobile health (mHealth) interventions are widespread, few studies assess impacts at the population level in low-income and middle-income countries. South Africa's tuberculosis (TB) burden is high, and a substantial share of cases remain undiagnosed. We evaluate the impacts of community activations of TBCheck-a WhatsApp/USSD-based chatbot that allows individuals to evaluate themselves for TB risk.</p><p><strong>Methods: </strong>We use a quasi-experimental approach comparing treated and control subdistricts nationally before and after community activations using dashboard data from the TBCheck platform and weekly or quarterly subdistrict TB test data from the National Health Laboratory Service. Dependent variables are the number of self-screening tests on the platform, total tests and number of positive tests per subdistrict. We employ dynamic difference-in-difference models accounting for subdistrict unobservables and time trends using weekly data, and synthetic control methods matching on preintervention trends in outcomes using quarterly data.</p><p><strong>Results: </strong>Impact estimates suggest an increase in the number of self-screening tests on the platform (487.53, p-value<0.01) as well as TB tests (107.90, p-value=0.05) in treated relative to control subdistricts due to intervention activities in the week of the intervention. After 2 weeks, impacts on the number of self-screening tests are insignificant (-6.18, p=0.23), and after 1 week, impacts on TB tests are insignificant (36.44, p-value=0.32).</p><p><strong>Discussion and conclusion: </strong>Activation activities associated with TBCheck led to short-lived and variable impacts on uptake and tests in target subdistricts. Alternative strategies are required for sustained uptake of such mHealth tools.</p>","PeriodicalId":9050,"journal":{"name":"BMJ Health & Care Informatics","volume":"32 1","pages":""},"PeriodicalIF":4.4000,"publicationDate":"2025-05-31","publicationTypes":"Journal Article","fieldsOfStudy":null,"isOpenAccess":false,"openAccessPdf":"https://www.ncbi.nlm.nih.gov/pmc/articles/PMC12128445/pdf/","citationCount":"0","resultStr":null,"platform":"Semanticscholar","paperid":null,"PeriodicalName":"BMJ Health & Care Informatics","FirstCategoryId":"1085","ListUrlMain":"https://doi.org/10.1136/bmjhci-2024-101179","RegionNum":0,"RegionCategory":null,"ArticlePicture":[],"TitleCN":null,"AbstractTextCN":null,"PMCID":null,"EPubDate":"","PubModel":"","JCR":"Q1","JCRName":"HEALTH CARE SCIENCES & SERVICES","Score":null,"Total":0}
引用次数: 0

Abstract

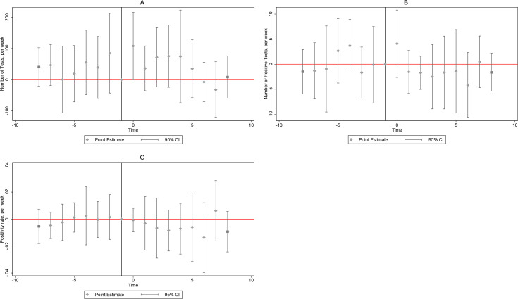
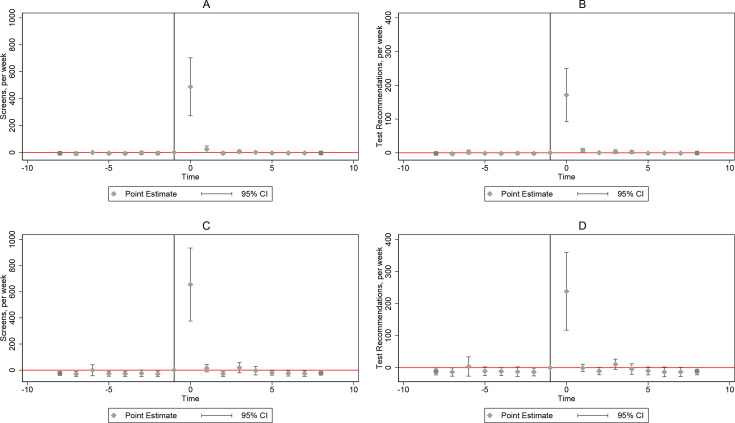
Objectives: While mobile health (mHealth) interventions are widespread, few studies assess impacts at the population level in low-income and middle-income countries. South Africa's tuberculosis (TB) burden is high, and a substantial share of cases remain undiagnosed. We evaluate the impacts of community activations of TBCheck-a WhatsApp/USSD-based chatbot that allows individuals to evaluate themselves for TB risk.

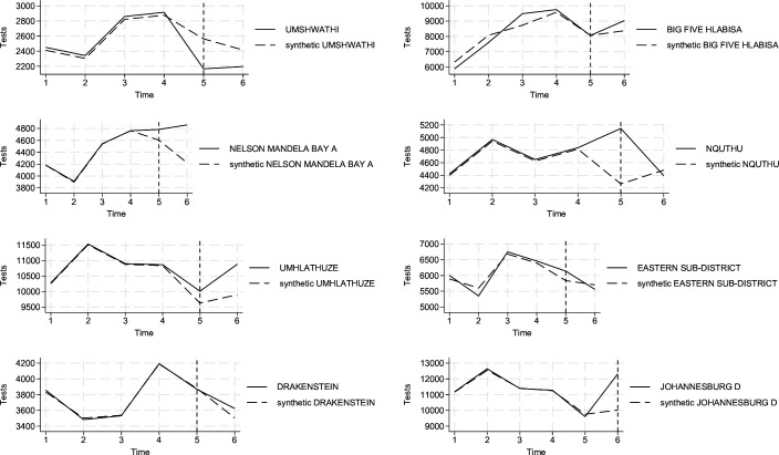
Methods: We use a quasi-experimental approach comparing treated and control subdistricts nationally before and after community activations using dashboard data from the TBCheck platform and weekly or quarterly subdistrict TB test data from the National Health Laboratory Service. Dependent variables are the number of self-screening tests on the platform, total tests and number of positive tests per subdistrict. We employ dynamic difference-in-difference models accounting for subdistrict unobservables and time trends using weekly data, and synthetic control methods matching on preintervention trends in outcomes using quarterly data.

Results: Impact estimates suggest an increase in the number of self-screening tests on the platform (487.53, p-value<0.01) as well as TB tests (107.90, p-value=0.05) in treated relative to control subdistricts due to intervention activities in the week of the intervention. After 2 weeks, impacts on the number of self-screening tests are insignificant (-6.18, p=0.23), and after 1 week, impacts on TB tests are insignificant (36.44, p-value=0.32).

Discussion and conclusion: Activation activities associated with TBCheck led to short-lived and variable impacts on uptake and tests in target subdistricts. Alternative strategies are required for sustained uptake of such mHealth tools.

Abstract Image

Abstract Image

Abstract Image

是否有可能通过在社区层面推广自我筛查移动应用程序来鼓励结核病检测并发现遗漏的结核病病例?来自南非的准实验证据。
目标:虽然移动医疗(mHealth)干预措施很普遍,但很少有研究评估在低收入和中等收入国家人口层面的影响。南非的结核病负担很高,很大一部分病例仍未得到诊断。我们评估了社区激活tbcheck -一个基于WhatsApp/ ussd的聊天机器人的影响,该聊天机器人允许个人评估自己的结核病风险。方法:我们采用准实验方法,使用TBCheck平台的仪表板数据和国家卫生实验室服务的每周或季度街道结核病检测数据,比较社区激活前后全国治疗和对照街道。因变量为平台自筛检测次数、检测总数和各区阳性检测次数。我们采用动态差中差模型,利用每周数据计算街道不可观测值和时间趋势,并利用季度数据匹配干预前结果趋势的综合控制方法。结果:影响估计表明,平台上的自我筛选测试数量增加(487.53,p值)。讨论和结论:与TBCheck相关的激活活动对目标街道的吸收和测试产生了短期和可变的影响。为持续采用此类移动医疗工具,需要其他战略。
本文章由计算机程序翻译,如有差异,请以英文原文为准。
求助全文
约1分钟内获得全文 求助全文
来源期刊
CiteScore
6.10
自引率
4.90%
发文量
40
审稿时长
18 weeks
×
引用
GB/T 7714-2015
复制
MLA
复制
APA
复制
导出至
BibTeX EndNote RefMan NoteFirst NoteExpress
×
提示
您的信息不完整,为了账户安全,请先补充。
现在去补充
×
提示
您因"违规操作"
具体请查看互助需知
我知道了
×
提示
确定
请完成安全验证×
copy
已复制链接
快去分享给好友吧!
我知道了
右上角分享
点击右上角分享
0
联系我们:info@booksci.cn Book学术提供免费学术资源搜索服务,方便国内外学者检索中英文文献。致力于提供最便捷和优质的服务体验。 Copyright © 2023 布克学术 All rights reserved.
京ICP备2023020795号-1
ghs 京公网安备 11010802042870号
Book学术文献互助
Book学术文献互助群
群 号:604180095
Book学术官方微信