Machine Learning Accurately Predicts Need for Critical Care Support in Patients Admitted to Hospital for Community-Acquired Pneumonia.

IF 2.7 Q4 Medicine
Critical care explorations Pub Date : 2025-05-27 eCollection Date: 2025-06-01 DOI:10.1097/CCE.0000000000001262
George S Chen, Terry Lee, Jennifer L Y Tsang, Alexandra Binnie, Anne McCarthy, Juthaporn Cowan, Patrick Archambault, Francois Lellouche, Alexis F Turgeon, Jennifer Yoon, Francois Lamontagne, Allison McGeer, Josh Douglas, Peter Daley, Robert Fowler, David M Maslove, Brent W Winston, Todd C Lee, Karen C Tran, Matthew P Cheng, Donald C Vinh, John H Boyd, Keith R Walley, Joel Singer, John C Marshall, James A Russell
{"title":"Machine Learning Accurately Predicts Need for Critical Care Support in Patients Admitted to Hospital for Community-Acquired Pneumonia.","authors":"George S Chen, Terry Lee, Jennifer L Y Tsang, Alexandra Binnie, Anne McCarthy, Juthaporn Cowan, Patrick Archambault, Francois Lellouche, Alexis F Turgeon, Jennifer Yoon, Francois Lamontagne, Allison McGeer, Josh Douglas, Peter Daley, Robert Fowler, David M Maslove, Brent W Winston, Todd C Lee, Karen C Tran, Matthew P Cheng, Donald C Vinh, John H Boyd, Keith R Walley, Joel Singer, John C Marshall, James A Russell","doi":"10.1097/CCE.0000000000001262","DOIUrl":null,"url":null,"abstract":"<p><strong>Objectives: </strong>Hospitalized community-acquired pneumonia (CAP) patients are admitted for ventilation, vasopressors, and renal replacement therapy (RRT). This study aimed to develop a machine learning (ML) model that predicts the need for such interventions and compare its accuracy to that of logistic regression (LR).</p><p><strong>Design: </strong>This retrospective observational study trained separate models using random-forest classifier (RFC), support vector machines (SVMs), Extreme Gradient Boosting (XGBoost), and multilayer perceptron (MLP) to predict three endpoints: eventual use of invasive ventilation, vasopressors, and RRT during hospitalization. RFC-based models were overall most accurate in a derivation COVID-19 CAP cohort and were validated in one COVID-19 CAP and two non-COVID-19 CAP cohorts.</p><p><strong>Setting: </strong>This study is part of the Community-Acquired Pneumonia: Toward InnoVAtive Treatment (CAPTIVATE) Research program.</p><p><strong>Patients: </strong>Two thousand four hundred twenty COVID-19 and 1909 non-COVID-19 CAP patients over 18 years old hospitalized and not needing invasive ventilation, vasopressors, and RRT on the day of admission were included.</p><p><strong>Interventions: </strong>None.</p><p><strong>Measurements and main results: </strong>Performance was evaluated with area under the receiver operating characteristic curve (AUROC) and accuracy. RFCs performed better than XGBoost, SVM, and MLP models. For comparison, we evaluated LR models in the same cohorts. AUROC was very high ranging from 0.74 to 0.95 in predicting ventilation, vasopressors, and RRT use in our derivation and validation cohorts. ML used and variables such as Fio<sub>2</sub>, Glasgow Coma Scale, and mean arterial pressure to predict ventilator, vasopressor use, creatinine, and potassium to predict RRT use. LR was less accurate than ML, with AUROC ranging 0.66 to 0.8.</p><p><strong>Conclusions: </strong>A ML algorithm more accurately predicts need of invasive ventilation, vasopressors, or RRT in hospitalized non-COVID-19 CAP and COVID-19 patients than regression models and could augment clinician judgment for triage and care of hospitalized CAP patients.</p>","PeriodicalId":93957,"journal":{"name":"Critical care explorations","volume":"7 6","pages":"e1262"},"PeriodicalIF":2.7000,"publicationDate":"2025-05-27","publicationTypes":"Journal Article","fieldsOfStudy":null,"isOpenAccess":false,"openAccessPdf":"https://www.ncbi.nlm.nih.gov/pmc/articles/PMC12119046/pdf/","citationCount":"0","resultStr":null,"platform":"Semanticscholar","paperid":null,"PeriodicalName":"Critical care explorations","FirstCategoryId":"1085","ListUrlMain":"https://doi.org/10.1097/CCE.0000000000001262","RegionNum":0,"RegionCategory":null,"ArticlePicture":[],"TitleCN":null,"AbstractTextCN":null,"PMCID":null,"EPubDate":"2025/6/1 0:00:00","PubModel":"eCollection","JCR":"Q4","JCRName":"Medicine","Score":null,"Total":0}
引用次数: 0

Abstract

Objectives: Hospitalized community-acquired pneumonia (CAP) patients are admitted for ventilation, vasopressors, and renal replacement therapy (RRT). This study aimed to develop a machine learning (ML) model that predicts the need for such interventions and compare its accuracy to that of logistic regression (LR).

Design: This retrospective observational study trained separate models using random-forest classifier (RFC), support vector machines (SVMs), Extreme Gradient Boosting (XGBoost), and multilayer perceptron (MLP) to predict three endpoints: eventual use of invasive ventilation, vasopressors, and RRT during hospitalization. RFC-based models were overall most accurate in a derivation COVID-19 CAP cohort and were validated in one COVID-19 CAP and two non-COVID-19 CAP cohorts.

Setting: This study is part of the Community-Acquired Pneumonia: Toward InnoVAtive Treatment (CAPTIVATE) Research program.

Patients: Two thousand four hundred twenty COVID-19 and 1909 non-COVID-19 CAP patients over 18 years old hospitalized and not needing invasive ventilation, vasopressors, and RRT on the day of admission were included.

Interventions: None.

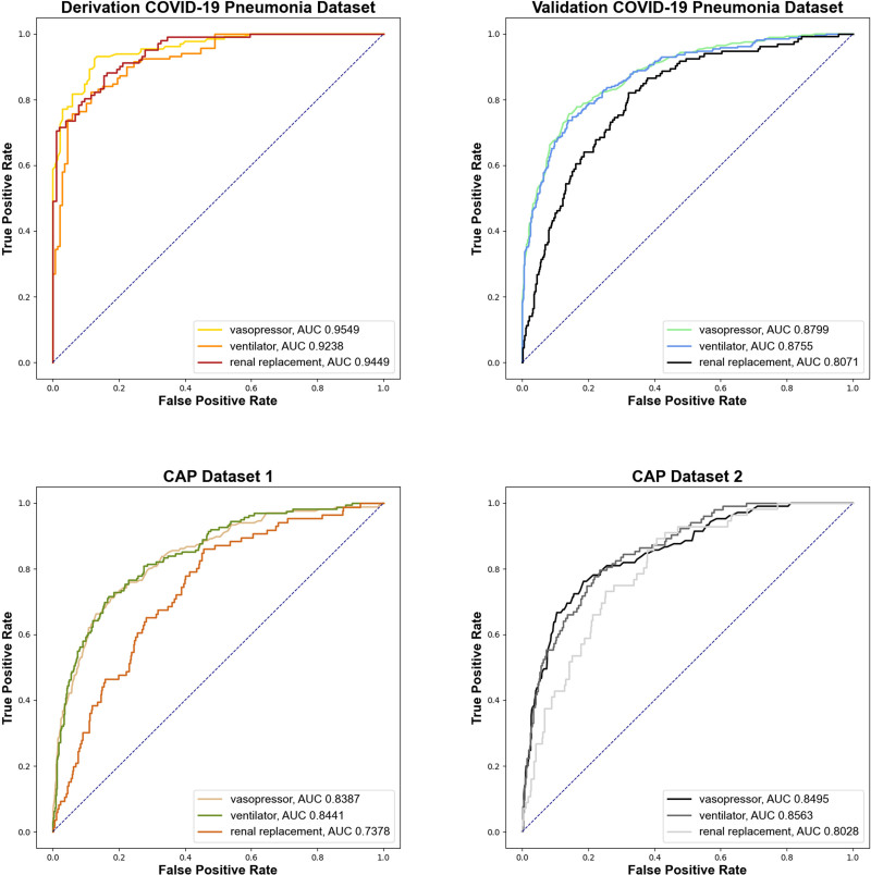
Measurements and main results: Performance was evaluated with area under the receiver operating characteristic curve (AUROC) and accuracy. RFCs performed better than XGBoost, SVM, and MLP models. For comparison, we evaluated LR models in the same cohorts. AUROC was very high ranging from 0.74 to 0.95 in predicting ventilation, vasopressors, and RRT use in our derivation and validation cohorts. ML used and variables such as Fio2, Glasgow Coma Scale, and mean arterial pressure to predict ventilator, vasopressor use, creatinine, and potassium to predict RRT use. LR was less accurate than ML, with AUROC ranging 0.66 to 0.8.

Conclusions: A ML algorithm more accurately predicts need of invasive ventilation, vasopressors, or RRT in hospitalized non-COVID-19 CAP and COVID-19 patients than regression models and could augment clinician judgment for triage and care of hospitalized CAP patients.

Abstract Image

Abstract Image

机器学习准确预测社区获得性肺炎住院患者对重症监护支持的需求。
目的:住院的社区获得性肺炎(CAP)患者接受通气、血管加压药物和肾脏替代治疗(RRT)。本研究旨在开发一种机器学习(ML)模型来预测对此类干预的需求,并将其准确性与逻辑回归(LR)的准确性进行比较。设计:这项回顾性观察性研究使用随机森林分类器(RFC)、支持向量机(svm)、极端梯度增强(XGBoost)和多层感知器(MLP)训练单独的模型来预测三个终点:最终使用有创通气、血管加压药物和住院期间的RRT。基于rfc的模型在衍生COVID-19 CAP队列中总体上是最准确的,并在一个COVID-19 CAP和两个非COVID-19 CAP队列中得到了验证。背景:本研究是社区获得性肺炎:创新治疗(CAPTIVATE)研究项目的一部分。患者:纳入2420例18岁以上住院且入院当日不需要有创通气、血管加压药物和RRT的COVID-19 CAP患者和1909例非COVID-19 CAP患者。干预措施:没有。测量结果和主要结果:以受试者工作特征曲线下面积(AUROC)和准确度评价其性能。rfc的性能优于XGBoost、SVM和MLP模型。为了比较,我们在相同的队列中评估了LR模型。在我们的推导和验证队列中,预测通气、血管加压剂和RRT使用的AUROC非常高,范围从0.74到0.95。使用ML和Fio2、格拉斯哥昏迷量表、平均动脉压等变量预测呼吸机、血管加压剂的使用,肌酐和钾预测RRT的使用。LR的准确度低于ML, AUROC范围为0.66 ~ 0.8。结论:ML算法比回归模型更准确地预测住院非COVID-19 CAP和COVID-19患者的有创通气、血管加压药物或RRT需求,可以增强临床医生对住院CAP患者的分诊和护理的判断。
本文章由计算机程序翻译,如有差异,请以英文原文为准。
求助全文
约1分钟内获得全文 求助全文
来源期刊
CiteScore
5.70
自引率
0.00%
发文量
0
审稿时长
8 weeks
×
引用
GB/T 7714-2015
复制
MLA
复制
APA
复制
导出至
BibTeX EndNote RefMan NoteFirst NoteExpress
×
提示
您的信息不完整,为了账户安全,请先补充。
现在去补充
×
提示
您因"违规操作"
具体请查看互助需知
我知道了
×
提示
确定
请完成安全验证×
copy
已复制链接
快去分享给好友吧!
我知道了
右上角分享
点击右上角分享
0
联系我们:info@booksci.cn Book学术提供免费学术资源搜索服务,方便国内外学者检索中英文文献。致力于提供最便捷和优质的服务体验。 Copyright © 2023 布克学术 All rights reserved.
京ICP备2023020795号-1
ghs 京公网安备 11010802042870号
Book学术文献互助
Book学术文献互助群
群 号:604180095
Book学术官方微信