Sequential Bayesian Registration for Functional Data.

IF 1.6 2区 数学 Q2 COMPUTER SCIENCE, THEORY & METHODS
Statistics and Computing Pub Date : 2025-01-01 Epub Date: 2025-05-27 DOI:10.1007/s11222-025-10640-8
Yoonji Kim, Oksana A Chkrebtii, Sebastian A Kurtek
{"title":"Sequential Bayesian Registration for Functional Data.","authors":"Yoonji Kim, Oksana A Chkrebtii, Sebastian A Kurtek","doi":"10.1007/s11222-025-10640-8","DOIUrl":null,"url":null,"abstract":"<p><p>In many modern applications, discretely-observed data may be naturally understood as a set of functions. Functional data often exhibit two confounded sources of variability: amplitude (<i>y</i>-axis) and phase (<i>x</i>-axis). The extraction of amplitude and phase, a process known as registration, is essential in exploring the underlying structure of functional data in a variety of areas, from environmental monitoring to medical imaging. Critically, such data are often gathered sequentially with new functional observations arriving over time. Despite this, existing registration procedures do not sequentially update inference based on the new data, requiring model refitting. To address these challenges, we introduce a Bayesian framework for sequential registration of functional data, which updates statistical inference as new sets of functions are assimilated. This Bayesian model-based sequential learning approach utilizes sequential Monte Carlo sampling to recursively update the alignment of observed functions while accounting for associated uncertainty. Distributed computing significantly reduces computational cost relative to refitting the model using an iterative method such as Markov chain Monte Carlo on the full data. Simulation studies and comparisons reveal that the proposed approach performs well even when the target posterior distribution has a challenging structure. We apply the proposed method to three real datasets: (1) functions of annual drought intensity near Kaweah River in California, (2) annual sea surface salinity functions near Null Island, and (3) a sequence of repeated patterns in electrocardiogram signals.</p>","PeriodicalId":22058,"journal":{"name":"Statistics and Computing","volume":"35 4","pages":"108"},"PeriodicalIF":1.6000,"publicationDate":"2025-01-01","publicationTypes":"Journal Article","fieldsOfStudy":null,"isOpenAccess":false,"openAccessPdf":"https://www.ncbi.nlm.nih.gov/pmc/articles/PMC12116714/pdf/","citationCount":"0","resultStr":null,"platform":"Semanticscholar","paperid":null,"PeriodicalName":"Statistics and Computing","FirstCategoryId":"100","ListUrlMain":"https://doi.org/10.1007/s11222-025-10640-8","RegionNum":2,"RegionCategory":"数学","ArticlePicture":[],"TitleCN":null,"AbstractTextCN":null,"PMCID":null,"EPubDate":"2025/5/27 0:00:00","PubModel":"Epub","JCR":"Q2","JCRName":"COMPUTER SCIENCE, THEORY & METHODS","Score":null,"Total":0}
引用次数: 0

Abstract

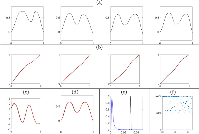
In many modern applications, discretely-observed data may be naturally understood as a set of functions. Functional data often exhibit two confounded sources of variability: amplitude (y-axis) and phase (x-axis). The extraction of amplitude and phase, a process known as registration, is essential in exploring the underlying structure of functional data in a variety of areas, from environmental monitoring to medical imaging. Critically, such data are often gathered sequentially with new functional observations arriving over time. Despite this, existing registration procedures do not sequentially update inference based on the new data, requiring model refitting. To address these challenges, we introduce a Bayesian framework for sequential registration of functional data, which updates statistical inference as new sets of functions are assimilated. This Bayesian model-based sequential learning approach utilizes sequential Monte Carlo sampling to recursively update the alignment of observed functions while accounting for associated uncertainty. Distributed computing significantly reduces computational cost relative to refitting the model using an iterative method such as Markov chain Monte Carlo on the full data. Simulation studies and comparisons reveal that the proposed approach performs well even when the target posterior distribution has a challenging structure. We apply the proposed method to three real datasets: (1) functions of annual drought intensity near Kaweah River in California, (2) annual sea surface salinity functions near Null Island, and (3) a sequence of repeated patterns in electrocardiogram signals.

Abstract Image

Abstract Image

Abstract Image

功能数据的顺序贝叶斯配准。
在许多现代应用中,离散观测数据可以很自然地理解为一组函数。功能数据通常表现出两个混杂的变异性来源:振幅(y轴)和相位(x轴)。振幅和相位的提取,一个被称为配准的过程,对于探索从环境监测到医学成像等各种领域的功能数据的潜在结构至关重要。关键的是,这些数据通常是随着时间的推移,随着新的功能观察的到来而顺序收集的。尽管如此,现有的配准程序不能根据新数据顺序更新推理,需要对模型进行改装。为了解决这些挑战,我们引入了一个贝叶斯框架,用于功能数据的顺序注册,该框架在吸收新函数集时更新统计推断。这种基于贝叶斯模型的顺序学习方法利用顺序蒙特卡罗采样递归地更新观察到的函数的对齐,同时考虑到相关的不确定性。分布式计算相对于在全数据上使用马尔可夫链蒙特卡罗等迭代方法重新调整模型,显著降低了计算成本。仿真研究和比较表明,即使在目标后验分布具有挑战性的情况下,该方法也具有良好的性能。我们将该方法应用于三个实际数据集:(1)加利福尼亚州Kaweah河附近的年干旱强度函数,(2)Null岛附近的年海面盐度函数,以及(3)心电图信号的重复模式序列。
本文章由计算机程序翻译,如有差异,请以英文原文为准。
求助全文
约1分钟内获得全文 求助全文
来源期刊
Statistics and Computing
Statistics and Computing 数学-计算机:理论方法
CiteScore
3.20
自引率
4.50%
发文量
93
审稿时长
6-12 weeks
期刊介绍: Statistics and Computing is a bi-monthly refereed journal which publishes papers covering the range of the interface between the statistical and computing sciences. In particular, it addresses the use of statistical concepts in computing science, for example in machine learning, computer vision and data analytics, as well as the use of computers in data modelling, prediction and analysis. Specific topics which are covered include: techniques for evaluating analytically intractable problems such as bootstrap resampling, Markov chain Monte Carlo, sequential Monte Carlo, approximate Bayesian computation, search and optimization methods, stochastic simulation and Monte Carlo, graphics, computer environments, statistical approaches to software errors, information retrieval, machine learning, statistics of databases and database technology, huge data sets and big data analytics, computer algebra, graphical models, image processing, tomography, inverse problems and uncertainty quantification. In addition, the journal contains original research reports, authoritative review papers, discussed papers, and occasional special issues on particular topics or carrying proceedings of relevant conferences. Statistics and Computing also publishes book review and software review sections.
×
引用
GB/T 7714-2015
复制
MLA
复制
APA
复制
导出至
BibTeX EndNote RefMan NoteFirst NoteExpress
×
提示
您的信息不完整,为了账户安全,请先补充。
现在去补充
×
提示
您因"违规操作"
具体请查看互助需知
我知道了
×
提示
确定
请完成安全验证×
copy
已复制链接
快去分享给好友吧!
我知道了
右上角分享
点击右上角分享
0
联系我们:info@booksci.cn Book学术提供免费学术资源搜索服务,方便国内外学者检索中英文文献。致力于提供最便捷和优质的服务体验。 Copyright © 2023 布克学术 All rights reserved.
京ICP备2023020795号-1
ghs 京公网安备 11010802042870号
Book学术文献互助
Book学术文献互助群
群 号:604180095
Book学术官方微信