Waning immunity drives respiratory virus evolution and reinfection.

IF 2.1 3区 医学 Q2 EVOLUTIONARY BIOLOGY
Evolution, Medicine, and Public Health Pub Date : 2025-01-31 eCollection Date: 2025-01-01 DOI:10.1093/emph/eoaf002
James J Bull, Katia Koelle, Rustom Antia
{"title":"Waning immunity drives respiratory virus evolution and reinfection.","authors":"James J Bull, Katia Koelle, Rustom Antia","doi":"10.1093/emph/eoaf002","DOIUrl":null,"url":null,"abstract":"<p><p>Viruses differ in the number and types of host tissues in which they replicate. For example, systemically replicating viruses such as measles infect cells and tissues throughout the body, whereas respiratory viruses such as influenza viruses and coronaviruses replicate only in the respiratory tract. Reinfections with respiratory viruses are thought to be driven by ongoing antigenic immune escape in the viral population. However, this does not explain why antigenic variation is frequently observed in respiratory viruses and not systemically replicating viruses. Here, we argue that the rapid rate of waning immunity in the respiratory tract is a key driver of antigenic evolution in respiratory viruses. Waning immunity results in hosts with immunity levels that protect against homologous reinfection but are insufficient to protect against infection with an antigenically different (heterologous) strain. Thus, when partially immune hosts are present at a high enough density, an immune escape variant can invade the viral population even though that variant cannot infect solidly immune hosts. Invasion can occur even when the variant's immune escape mutation incurs a fitness cost, although any such cost is likely to be short-lived from compensatory evolution. Thus, the mutant lineage may replace the wild type and, as immunity to it builds, the process will repeat. Our model provides a new explanation for the pattern of successive emergence and replacement of antigenic variants that has been observed in many respiratory viruses. We discuss our model relative to others for understanding the drivers of antigenic evolution in respiratory viruses.</p>","PeriodicalId":12156,"journal":{"name":"Evolution, Medicine, and Public Health","volume":"13 1","pages":"101-110"},"PeriodicalIF":2.1000,"publicationDate":"2025-01-31","publicationTypes":"Journal Article","fieldsOfStudy":null,"isOpenAccess":false,"openAccessPdf":"https://www.ncbi.nlm.nih.gov/pmc/articles/PMC12121555/pdf/","citationCount":"0","resultStr":null,"platform":"Semanticscholar","paperid":null,"PeriodicalName":"Evolution, Medicine, and Public Health","FirstCategoryId":"3","ListUrlMain":"https://doi.org/10.1093/emph/eoaf002","RegionNum":3,"RegionCategory":"医学","ArticlePicture":[],"TitleCN":null,"AbstractTextCN":null,"PMCID":null,"EPubDate":"2025/1/1 0:00:00","PubModel":"eCollection","JCR":"Q2","JCRName":"EVOLUTIONARY BIOLOGY","Score":null,"Total":0}
引用次数: 0

Abstract

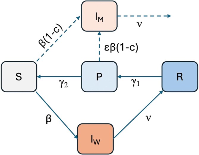
Viruses differ in the number and types of host tissues in which they replicate. For example, systemically replicating viruses such as measles infect cells and tissues throughout the body, whereas respiratory viruses such as influenza viruses and coronaviruses replicate only in the respiratory tract. Reinfections with respiratory viruses are thought to be driven by ongoing antigenic immune escape in the viral population. However, this does not explain why antigenic variation is frequently observed in respiratory viruses and not systemically replicating viruses. Here, we argue that the rapid rate of waning immunity in the respiratory tract is a key driver of antigenic evolution in respiratory viruses. Waning immunity results in hosts with immunity levels that protect against homologous reinfection but are insufficient to protect against infection with an antigenically different (heterologous) strain. Thus, when partially immune hosts are present at a high enough density, an immune escape variant can invade the viral population even though that variant cannot infect solidly immune hosts. Invasion can occur even when the variant's immune escape mutation incurs a fitness cost, although any such cost is likely to be short-lived from compensatory evolution. Thus, the mutant lineage may replace the wild type and, as immunity to it builds, the process will repeat. Our model provides a new explanation for the pattern of successive emergence and replacement of antigenic variants that has been observed in many respiratory viruses. We discuss our model relative to others for understanding the drivers of antigenic evolution in respiratory viruses.

Abstract Image

Abstract Image

Abstract Image

免疫力下降导致呼吸道病毒进化和再感染。
病毒在复制宿主组织的数量和类型上有所不同。例如,麻疹等系统复制病毒会感染全身的细胞和组织,而流感病毒和冠状病毒等呼吸道病毒仅在呼吸道复制。呼吸道病毒的再感染被认为是由病毒群体中持续的抗原免疫逃逸所驱动的。然而,这并不能解释为什么在呼吸道病毒中经常观察到抗原变异,而不是在系统复制病毒中。在这里,我们认为呼吸道免疫力的快速下降是呼吸道病毒抗原进化的关键驱动因素。免疫力下降导致宿主的免疫水平对同源再感染有保护作用,但对抗原性不同(异源)菌株的感染保护不足。因此,当部分免疫宿主以足够高的密度存在时,免疫逃逸变体可以入侵病毒种群,即使该变体不能感染完全免疫的宿主。即使变体的免疫逃逸突变导致适应性成本,入侵也可能发生,尽管这种成本可能是代偿性进化的短期成本。因此,突变谱系可能取代野生型,随着对它的免疫力的建立,这个过程将重复。我们的模型为在许多呼吸道病毒中观察到的抗原变异的连续出现和替换模式提供了新的解释。我们讨论了我们的模型相对于其他理解呼吸道病毒抗原进化的驱动程序。
本文章由计算机程序翻译,如有差异,请以英文原文为准。
求助全文
约1分钟内获得全文 求助全文
来源期刊
Evolution, Medicine, and Public Health
Evolution, Medicine, and Public Health Environmental Science-Health, Toxicology and Mutagenesis
CiteScore
5.40
自引率
2.70%
发文量
37
审稿时长
8 weeks
期刊介绍: About the Journal Founded by Stephen Stearns in 2013, Evolution, Medicine, and Public Health is an open access journal that publishes original, rigorous applications of evolutionary science to issues in medicine and public health. It aims to connect evolutionary biology with the health sciences to produce insights that may reduce suffering and save lives. Because evolutionary biology is a basic science that reaches across many disciplines, this journal is open to contributions on a broad range of topics.
×
引用
GB/T 7714-2015
复制
MLA
复制
APA
复制
导出至
BibTeX EndNote RefMan NoteFirst NoteExpress
×
提示
您的信息不完整,为了账户安全,请先补充。
现在去补充
×
提示
您因"违规操作"
具体请查看互助需知
我知道了
×
提示
确定
请完成安全验证×
copy
已复制链接
快去分享给好友吧!
我知道了
右上角分享
点击右上角分享
0
联系我们:info@booksci.cn Book学术提供免费学术资源搜索服务,方便国内外学者检索中英文文献。致力于提供最便捷和优质的服务体验。 Copyright © 2023 布克学术 All rights reserved.
京ICP备2023020795号-1
ghs 京公网安备 11010802042870号
Book学术文献互助
Book学术文献互助群
群 号:604180095
Book学术官方微信