Sleep patterns and DNA methylation age acceleration in middle-aged and older Chinese adults.

IF 4.4 2区 医学 Q1 GENETICS & HEREDITY
Tingyue Diao, Kang Liu, Lue Zhou, Qiuhong Wang, Junrui Lyu, Ziwei Zhu, Fuchao Chen, Wengang Qin, Handong Yang, Chaolong Wang, Xiaomin Zhang, Tangchun Wu
{"title":"Sleep patterns and DNA methylation age acceleration in middle-aged and older Chinese adults.","authors":"Tingyue Diao, Kang Liu, Lue Zhou, Qiuhong Wang, Junrui Lyu, Ziwei Zhu, Fuchao Chen, Wengang Qin, Handong Yang, Chaolong Wang, Xiaomin Zhang, Tangchun Wu","doi":"10.1186/s13148-025-01898-w","DOIUrl":null,"url":null,"abstract":"<p><strong>Background: </strong>Sleep is a biological necessity and fundamental to health. However, the associations of sleep patterns (integrating sleep determinants) with DNA methylation age acceleration (DNAm AA) remain unknown. We aimed to investigate the associations of sleep patterns with DNAm AA.</p><p><strong>Methods: </strong>This cross-sectional and prospective cohort study used data from the Dongfeng-Tongji cohort collected from 2013 to December 31, 2018. Sleep patterns were reflected by sleep scores (range 0-4, with higher scores indicating healthier sleep patterns) characterized by bedtime, sleep duration, sleep quality, and midday napping. DNAm AA was estimated by PhenoAge acceleration (PhenoAgeAccel), GrimAge acceleration (GrimAgeAccel), DunedinPACE, and DNAm mortality risk score (DNAm MS). Linear regression models were used to estimate β and 95% confidence intervals (CIs) for the cross-sectional associations between sleep patterns and DNAm AA. Mediation models were applied to assess the mediating role of DNAm AA in the associations between sleep patterns and all-cause mortality in a prospective cohort.</p><p><strong>Results: </strong>Among 3566 participants (mean age 65.5 years), 426 participants died during a mean 5.4-year follow-up. A higher sleep score was associated with lower DNAm AA in a dose-response manner. Each 1-point increase in sleep score was associated with significantly lower PhenoAgeAccel (β = - 0.208; 95% CI - 0.369 to - 0.047), GrimAgeAccel (β = - 0.107; 95% CI - 0.207 to - 0.007), DunedinPACE (β = - 0.008; 95% CI - 0.012 to - 0.004), and DNAm MS (β = - 0.019; 95% CI - 0.030 to - 0.008). Chronological age modified the associations between higher sleep scores and lower PhenoAgeAccel (p for interaction = 0.031) and DunedinPACE (p for interaction = 0.027), with stronger associations observed in older adults. Moreover, a slower DunedinPACE mediated 6.2% (95% CI 0.8% to 11.5%) of the association between a higher sleep score and a lower all-cause mortality risk.</p><p><strong>Conclusion: </strong>In this cohort study, individuals with a higher sleep score had a slower DNAm AA, particularly in older adults. A slower DunedinPACE partially explained the association between higher sleep scores and lower all-cause mortality risk. These findings suggest that adopting healthy sleep patterns may promote healthy aging and further benefit premature mortality prevention, highlighting the value of sleep patterns as a potential tool for clinical management in aging.</p>","PeriodicalId":10366,"journal":{"name":"Clinical Epigenetics","volume":"17 1","pages":"87"},"PeriodicalIF":4.4000,"publicationDate":"2025-05-29","publicationTypes":"Journal Article","fieldsOfStudy":null,"isOpenAccess":false,"openAccessPdf":"https://www.ncbi.nlm.nih.gov/pmc/articles/PMC12123996/pdf/","citationCount":"0","resultStr":null,"platform":"Semanticscholar","paperid":null,"PeriodicalName":"Clinical Epigenetics","FirstCategoryId":"3","ListUrlMain":"https://doi.org/10.1186/s13148-025-01898-w","RegionNum":2,"RegionCategory":"医学","ArticlePicture":[],"TitleCN":null,"AbstractTextCN":null,"PMCID":null,"EPubDate":"","PubModel":"","JCR":"Q1","JCRName":"GENETICS & HEREDITY","Score":null,"Total":0}
引用次数: 0

Abstract

Background: Sleep is a biological necessity and fundamental to health. However, the associations of sleep patterns (integrating sleep determinants) with DNA methylation age acceleration (DNAm AA) remain unknown. We aimed to investigate the associations of sleep patterns with DNAm AA.

Methods: This cross-sectional and prospective cohort study used data from the Dongfeng-Tongji cohort collected from 2013 to December 31, 2018. Sleep patterns were reflected by sleep scores (range 0-4, with higher scores indicating healthier sleep patterns) characterized by bedtime, sleep duration, sleep quality, and midday napping. DNAm AA was estimated by PhenoAge acceleration (PhenoAgeAccel), GrimAge acceleration (GrimAgeAccel), DunedinPACE, and DNAm mortality risk score (DNAm MS). Linear regression models were used to estimate β and 95% confidence intervals (CIs) for the cross-sectional associations between sleep patterns and DNAm AA. Mediation models were applied to assess the mediating role of DNAm AA in the associations between sleep patterns and all-cause mortality in a prospective cohort.

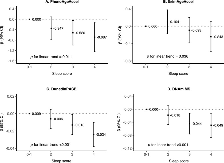
Results: Among 3566 participants (mean age 65.5 years), 426 participants died during a mean 5.4-year follow-up. A higher sleep score was associated with lower DNAm AA in a dose-response manner. Each 1-point increase in sleep score was associated with significantly lower PhenoAgeAccel (β = - 0.208; 95% CI - 0.369 to - 0.047), GrimAgeAccel (β = - 0.107; 95% CI - 0.207 to - 0.007), DunedinPACE (β = - 0.008; 95% CI - 0.012 to - 0.004), and DNAm MS (β = - 0.019; 95% CI - 0.030 to - 0.008). Chronological age modified the associations between higher sleep scores and lower PhenoAgeAccel (p for interaction = 0.031) and DunedinPACE (p for interaction = 0.027), with stronger associations observed in older adults. Moreover, a slower DunedinPACE mediated 6.2% (95% CI 0.8% to 11.5%) of the association between a higher sleep score and a lower all-cause mortality risk.

Conclusion: In this cohort study, individuals with a higher sleep score had a slower DNAm AA, particularly in older adults. A slower DunedinPACE partially explained the association between higher sleep scores and lower all-cause mortality risk. These findings suggest that adopting healthy sleep patterns may promote healthy aging and further benefit premature mortality prevention, highlighting the value of sleep patterns as a potential tool for clinical management in aging.

Abstract Image

Abstract Image

中国中老年人群的睡眠模式与DNA甲基化年龄加速
背景:睡眠是一种生理需要,是健康的基础。然而,睡眠模式(整合睡眠决定因素)与DNA甲基化年龄加速(DNAm - AA)之间的关系尚不清楚。我们的目的是调查睡眠模式与DNAm - AA的关系。方法:本研究采用横断面前瞻性队列研究,数据来自2013年至2018年12月31日的东风-同济队列。睡眠模式由睡眠评分反映(范围0-4,得分越高表明睡眠模式越健康),其特征包括就寝时间、睡眠持续时间、睡眠质量和午睡时间。通过表型加速(PhenoAgeAccel)、GrimAge加速(GrimAgeAccel)、DunedinPACE和DNAm死亡风险评分(DNAm MS)估计DNAm AA。使用线性回归模型估计睡眠模式与DNAm - AA之间横断面关联的β和95%置信区间(ci)。在一个前瞻性队列中,应用中介模型来评估DNAm - AA在睡眠模式和全因死亡率之间的关联中的中介作用。结果:在3566名参与者(平均年龄65.5岁)中,426名参与者在平均5.4年的随访期间死亡。较高的睡眠评分与较低的DNAm - AA呈剂量反应关系。睡眠评分每增加1分,显着降低PhenoAgeAccel (β = - 0.208;95%可信区间,0.369 - 0.047),GrimAgeAccel(β= - 0.107;95%可信区间,0.207 - 0.007),DunedinPACE(β= - 0.008;95%可信区间,0.012 - 0.004),和女士DNAm(β= - 0.019;95% CI - 0.030 ~ - 0.008)。实足年龄改变了较高睡眠评分与较低的PhenoAgeAccel (p为相互作用= 0.031)和DunedinPACE (p为相互作用= 0.027)之间的关联,在老年人中观察到更强的关联。此外,较慢的DunedinPACE介导了较高睡眠评分与较低全因死亡风险之间6.2% (95% CI 0.8%至11.5%)的关联。结论:在这项队列研究中,睡眠得分较高的个体,尤其是老年人,其DNAm - AA反应较慢。较慢的DunedinPACE部分解释了较高的睡眠分数和较低的全因死亡风险之间的联系。这些发现表明,采用健康的睡眠模式可以促进健康老龄化,并进一步有利于预防过早死亡,突出了睡眠模式作为临床衰老管理的潜在工具的价值。
本文章由计算机程序翻译,如有差异,请以英文原文为准。
求助全文
约1分钟内获得全文 求助全文
来源期刊
自引率
5.30%
发文量
150
期刊介绍: Clinical Epigenetics, the official journal of the Clinical Epigenetics Society, is an open access, peer-reviewed journal that encompasses all aspects of epigenetic principles and mechanisms in relation to human disease, diagnosis and therapy. Clinical trials and research in disease model organisms are particularly welcome.
×
引用
GB/T 7714-2015
复制
MLA
复制
APA
复制
导出至
BibTeX EndNote RefMan NoteFirst NoteExpress
×
提示
您的信息不完整,为了账户安全,请先补充。
现在去补充
×
提示
您因"违规操作"
具体请查看互助需知
我知道了
×
提示
确定
请完成安全验证×
copy
已复制链接
快去分享给好友吧!
我知道了
右上角分享
点击右上角分享
0
联系我们:info@booksci.cn Book学术提供免费学术资源搜索服务,方便国内外学者检索中英文文献。致力于提供最便捷和优质的服务体验。 Copyright © 2023 布克学术 All rights reserved.
京ICP备2023020795号-1
ghs 京公网安备 11010802042870号
Book学术文献互助
Book学术文献互助群
群 号:604180095
Book学术官方微信