Influence of Exercise Heat Acclimation Protocol Characteristics on Adaptation Kinetics: A Quantitative Review With Bayesian Meta-Regressions.

IF 5.2 2区 医学 Q1 PHYSIOLOGY
Peter McDonald, Harry A Brown, Thomas H Topham, Monica K Kelly, William T Jardine, Amelia Carr, Michael N Sawka, Andrew P Woodward, Brad Clark, Julien D Périard
{"title":"Influence of Exercise Heat Acclimation Protocol Characteristics on Adaptation Kinetics: A Quantitative Review With Bayesian Meta-Regressions.","authors":"Peter McDonald, Harry A Brown, Thomas H Topham, Monica K Kelly, William T Jardine, Amelia Carr, Michael N Sawka, Andrew P Woodward, Brad Clark, Julien D Périard","doi":"10.1002/cph4.70017","DOIUrl":null,"url":null,"abstract":"<p><p>The integrative influence of heat acclimation (HA) protocol characteristics and approach on adaptation kinetics and exercise capacity/performance in the heat remains unclear. Bayesian multilevel regression models were used to estimate adaptations with the number of exposures, exposure duration, ambient temperature, water vapor pressure, and HA approach (e.g., constant workrate) as predictors. Data from 211 papers were included in meta-analyses with results presented as posterior means and 90% credible intervals. Mean protocol characteristics were as follows: 8 ± 4 exposures, 90 ± 36 min/exposure, 39.1°C ± 4.8°C, and 2.78 ± 0.83 kPa. HA decreased resting (-5 beats·min<sup>-1</sup> [-7, -3]) and end-exercise heart rate (-17 beats·min<sup>-1</sup> [-19, -14]), resting (-0.19°C [-0.23, -0.14]) and end-exercise core temperature (-0.43°C [-0.48, -0.36]), and expanded plasma volume (5.6% [3.8, 7.0]). HA also lowered exercise metabolic rate (-87 mL·min<sup>-1</sup> [-126, -49]), increased whole-body sweat rate (WBSR) (163 mL·h<sup>-1</sup> [94, 226]), time to exhaustion (49% [35, 61]) and incremental exercise time (14% [7, 24]), and improved time trial performance (3.1% [1.8, 4.5]). An additional HA exposure increased hemoglobin mass (1.9 g [0.6, 3.2]) and WBSR (9 mL·h<sup>-1</sup> [1, 17]), and an additional 15 min/exposure further lowered end-exercise core temperature (-0.04°C [-0.05, -0.03]) and expanded plasma volume (0.4% [0.1, 0.7]). A 5°C increase in ambient temperature further lowered end-exercise HR (-2 beats·min<sup>-1</sup> [-3, -1]) and a 1 kPa increase enhanced WBSR (37 mL·h<sup>-1</sup> [4, 72]). End-exercise heart rate and core temperature decreased similarly following controlled hyperthermia (-16 beats·min<sup>-1</sup> [-18, -14]; -0.43°C [-0.48, -0.36]) and constant workrate HA (-17 beats·min<sup>-1</sup> [-18, -16]; -0.45°C [-0.49, -0.42]). HA protocol characteristics influence the adaptive response and may be manipulated to optimize adaptations. A predictor for estimating HA adaptations based on protocol characteristics is available at: https://www.canberra.edu.au/research/centres/uc-rise/research/environmental-physiology/exercise-heat-acclimation-predictor.</p>","PeriodicalId":10573,"journal":{"name":"Comprehensive Physiology","volume":"15 3","pages":"e70017"},"PeriodicalIF":5.2000,"publicationDate":"2025-06-01","publicationTypes":"Journal Article","fieldsOfStudy":null,"isOpenAccess":false,"openAccessPdf":"https://www.ncbi.nlm.nih.gov/pmc/articles/PMC12122934/pdf/","citationCount":"0","resultStr":null,"platform":"Semanticscholar","paperid":null,"PeriodicalName":"Comprehensive Physiology","FirstCategoryId":"3","ListUrlMain":"https://doi.org/10.1002/cph4.70017","RegionNum":2,"RegionCategory":"医学","ArticlePicture":[],"TitleCN":null,"AbstractTextCN":null,"PMCID":null,"EPubDate":"","PubModel":"","JCR":"Q1","JCRName":"PHYSIOLOGY","Score":null,"Total":0}
引用次数: 0

Abstract

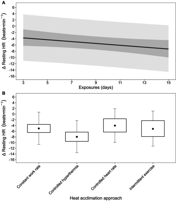
The integrative influence of heat acclimation (HA) protocol characteristics and approach on adaptation kinetics and exercise capacity/performance in the heat remains unclear. Bayesian multilevel regression models were used to estimate adaptations with the number of exposures, exposure duration, ambient temperature, water vapor pressure, and HA approach (e.g., constant workrate) as predictors. Data from 211 papers were included in meta-analyses with results presented as posterior means and 90% credible intervals. Mean protocol characteristics were as follows: 8 ± 4 exposures, 90 ± 36 min/exposure, 39.1°C ± 4.8°C, and 2.78 ± 0.83 kPa. HA decreased resting (-5 beats·min-1 [-7, -3]) and end-exercise heart rate (-17 beats·min-1 [-19, -14]), resting (-0.19°C [-0.23, -0.14]) and end-exercise core temperature (-0.43°C [-0.48, -0.36]), and expanded plasma volume (5.6% [3.8, 7.0]). HA also lowered exercise metabolic rate (-87 mL·min-1 [-126, -49]), increased whole-body sweat rate (WBSR) (163 mL·h-1 [94, 226]), time to exhaustion (49% [35, 61]) and incremental exercise time (14% [7, 24]), and improved time trial performance (3.1% [1.8, 4.5]). An additional HA exposure increased hemoglobin mass (1.9 g [0.6, 3.2]) and WBSR (9 mL·h-1 [1, 17]), and an additional 15 min/exposure further lowered end-exercise core temperature (-0.04°C [-0.05, -0.03]) and expanded plasma volume (0.4% [0.1, 0.7]). A 5°C increase in ambient temperature further lowered end-exercise HR (-2 beats·min-1 [-3, -1]) and a 1 kPa increase enhanced WBSR (37 mL·h-1 [4, 72]). End-exercise heart rate and core temperature decreased similarly following controlled hyperthermia (-16 beats·min-1 [-18, -14]; -0.43°C [-0.48, -0.36]) and constant workrate HA (-17 beats·min-1 [-18, -16]; -0.45°C [-0.49, -0.42]). HA protocol characteristics influence the adaptive response and may be manipulated to optimize adaptations. A predictor for estimating HA adaptations based on protocol characteristics is available at: https://www.canberra.edu.au/research/centres/uc-rise/research/environmental-physiology/exercise-heat-acclimation-predictor.

Abstract Image

Abstract Image

Abstract Image

运动热驯化方案特征对适应动力学的影响:基于贝叶斯元回归的定量评价。
热驯化(HA)方案特征和方法对热适应动力学和运动能力/表现的综合影响尚不清楚。使用贝叶斯多水平回归模型来估计暴露次数、暴露时间、环境温度、水蒸气压和HA方法(例如恒定工作速率)作为预测因子的适应性。211篇论文的数据被纳入meta分析,结果以后验均值和90%可信区间表示。平均方案特征为:8±4次暴露,90±36 min/次暴露,39.1°C±4.8°C, 2.78±0.83 kPa。HA降低静息(-5次·分钟-1[-7,-3])和运动结束时心率(-17次·分钟-1[-19,-14]),降低静息(-0.19°C[-0.23, -0.14])和运动结束时核心温度(-0.43°C[-0.48, -0.36]),扩大血浆容量(5.6%[3.8,7.0])。HA还能降低运动代谢率(-87 mL·min-1[-126, -49]),增加全身排汗率(163 mL·h-1[94,226]),增加疲劳时间(49%[35,61])和增加运动时间(14%[7,24]),提高计时赛成绩(3.1%[1.8,4.5])。额外的HA暴露增加了血红蛋白质量(1.9 g[0.6, 3.2])和WBSR (9 mL·h-1[1,17]),额外的15分钟/次暴露进一步降低了运动结束时的核心温度(-0.04°C[-0.05, -0.03])和血浆体积(0.4%[0.1,0.7])。环境温度升高5℃可进一步降低运动末期心率(-2次·min-1[- 3,1]),升高1 kPa可提高WBSR (37 mL·h-1[4,72])。控制热疗后,运动结束心率和核心温度也同样下降(-16次·分-1 [-18,-14];-0.43°C[-0.48, -0.36])和恒定工作速率HA(-17次·分钟-1 [-18,-16];-0.45℃[-0.49,-0.42])。HA协议特性影响自适应响应,并且可以被操纵以优化自适应。基于协议特征估计HA适应性的预测器可在:https://www.canberra.edu.au/research/centres/uc-rise/research/environmental-physiology/exercise-heat-acclimation-predictor获得。
本文章由计算机程序翻译,如有差异,请以英文原文为准。
求助全文
约1分钟内获得全文 求助全文
来源期刊
CiteScore
10.50
自引率
0.00%
发文量
38
审稿时长
6-12 weeks
期刊介绍: Comprehensive Physiology is the most authoritative and comprehensive collection of physiology information ever assembled, and uses the most powerful features of review journals and electronic reference works to cover the latest key developments in the field, through the most authoritative articles on the subjects covered. This makes Comprehensive Physiology a valued reference work on the evolving science of physiology for both researchers and clinicians. It also provides a useful teaching tool for instructors and an informative resource for medical students and other students in the life and health sciences.
×
引用
GB/T 7714-2015
复制
MLA
复制
APA
复制
导出至
BibTeX EndNote RefMan NoteFirst NoteExpress
×
提示
您的信息不完整,为了账户安全,请先补充。
现在去补充
×
提示
您因"违规操作"
具体请查看互助需知
我知道了
×
提示
确定
请完成安全验证×
copy
已复制链接
快去分享给好友吧!
我知道了
右上角分享
点击右上角分享
0
联系我们:info@booksci.cn Book学术提供免费学术资源搜索服务,方便国内外学者检索中英文文献。致力于提供最便捷和优质的服务体验。 Copyright © 2023 布克学术 All rights reserved.
京ICP备2023020795号-1
ghs 京公网安备 11010802042870号
Book学术文献互助
Book学术文献互助群
群 号:604180095
Book学术官方微信