Assessing the psychometric properties of generic (EQ-5D-5L) and disease-specific (KCCQ) quality of life in patients with hypertrophic cardiomyopathy in the AFFECT-HCM study.

IF 2.8 Q2 CARDIAC & CARDIOVASCULAR SYSTEMS
Isabell Wiethoff, Stephan A C Schoonvelde, Rudolf A de Boer, Silvia M A A Evers, Tjeerd Germans, Alexander Hirsch, Christian Knackstedt, Wouter P Te Rijdt, Marjon A van Slegtenhorst, Arend F L Schinkel, Peter-Paul Zwetsloot, Michelle Michels, Mickael Hiligsmann
{"title":"Assessing the psychometric properties of generic (EQ-5D-5L) and disease-specific (KCCQ) quality of life in patients with hypertrophic cardiomyopathy in the AFFECT-HCM study.","authors":"Isabell Wiethoff, Stephan A C Schoonvelde, Rudolf A de Boer, Silvia M A A Evers, Tjeerd Germans, Alexander Hirsch, Christian Knackstedt, Wouter P Te Rijdt, Marjon A van Slegtenhorst, Arend F L Schinkel, Peter-Paul Zwetsloot, Michelle Michels, Mickael Hiligsmann","doi":"10.1136/openhrt-2024-003143","DOIUrl":null,"url":null,"abstract":"<p><strong>Background: </strong>To assess the psychometric properties (content validity, reliability and construct validity) of generic and disease-specific health-related quality of life (HRQoL) instruments in patients with hypertrophic cardiomyopathy (HCM) and genotype-positive, phenotype-negative (G+/P-) individuals.</p><p><strong>Methods: </strong>As part of the multicentre, observational AFFECT-HCM study, HRQoL was measured using the generic EuroQoL-5 Dimension-5 Level (EQ-5D-5L) questionnaire, the Visual Analogue Scale (EQ VAS) and the disease-specific Kansas City Cardiomyopathy Questionnaire (KCCQ). The study included G+/P- individuals and HCM patients. EQ-5D-5L profiles were translated into EQ-5D values (utilities) using the Dutch value set. All instruments were evaluated regarding their general characteristics and health dimensions (content validity). Reliability was assessed using internal consistency (Cronbach's alpha), response rate, floor/ceiling effects (percentage scoring highest/lowest), correlation and level of agreement between instruments (using Bland-Altman plots). Construct validity was assessed using the known-groups method to identify expected differences between relevant groups.</p><p><strong>Results: </strong>A total of 393 HCM patients and 78 G+/P- individuals were included in the psychometric assessment. Mean EQ-5D value in G+/P- individuals was 0.90 (81 EQ VAS, 93 KCCQ) and in HCM patients 0.84 (75 EQ VAS, 78 KCCQ). Ceiling effects were highest for EQ-5D values (51% in G+P; 32% in HCM), followed by the KCCQ (38% in G+P-; 12% in HCM) and the EQ VAS (8% in G+P-; 5% in HCM). KCCQ and EQ-5D values had the highest correlation (Spearman's ρ=0.77) and showed good overall agreement according to the Bland-Altman plots. In HCM, EQ-5D values showed a slightly biased pattern with EQ-5D values scoring higher than the KCCQ. The KCCQ discriminated more nuances between relevant groups.</p><p><strong>Conclusions: </strong>Due to its simplicity and good overall agreement with the KCCQ-which showed slightly better discrimination-we propose from our data that the EQ-5D-5L is a suitable instrument for the HRQoL assessment in clinical practice in patients with HCM.</p>","PeriodicalId":19505,"journal":{"name":"Open Heart","volume":"12 1","pages":""},"PeriodicalIF":2.8000,"publicationDate":"2025-05-27","publicationTypes":"Journal Article","fieldsOfStudy":null,"isOpenAccess":false,"openAccessPdf":"https://www.ncbi.nlm.nih.gov/pmc/articles/PMC12121577/pdf/","citationCount":"0","resultStr":null,"platform":"Semanticscholar","paperid":null,"PeriodicalName":"Open Heart","FirstCategoryId":"1085","ListUrlMain":"https://doi.org/10.1136/openhrt-2024-003143","RegionNum":0,"RegionCategory":null,"ArticlePicture":[],"TitleCN":null,"AbstractTextCN":null,"PMCID":null,"EPubDate":"","PubModel":"","JCR":"Q2","JCRName":"CARDIAC & CARDIOVASCULAR SYSTEMS","Score":null,"Total":0}
引用次数: 0

Abstract

Background: To assess the psychometric properties (content validity, reliability and construct validity) of generic and disease-specific health-related quality of life (HRQoL) instruments in patients with hypertrophic cardiomyopathy (HCM) and genotype-positive, phenotype-negative (G+/P-) individuals.

Methods: As part of the multicentre, observational AFFECT-HCM study, HRQoL was measured using the generic EuroQoL-5 Dimension-5 Level (EQ-5D-5L) questionnaire, the Visual Analogue Scale (EQ VAS) and the disease-specific Kansas City Cardiomyopathy Questionnaire (KCCQ). The study included G+/P- individuals and HCM patients. EQ-5D-5L profiles were translated into EQ-5D values (utilities) using the Dutch value set. All instruments were evaluated regarding their general characteristics and health dimensions (content validity). Reliability was assessed using internal consistency (Cronbach's alpha), response rate, floor/ceiling effects (percentage scoring highest/lowest), correlation and level of agreement between instruments (using Bland-Altman plots). Construct validity was assessed using the known-groups method to identify expected differences between relevant groups.

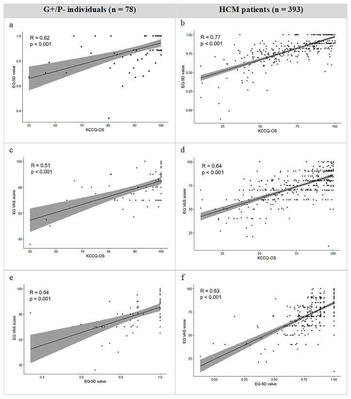
Results: A total of 393 HCM patients and 78 G+/P- individuals were included in the psychometric assessment. Mean EQ-5D value in G+/P- individuals was 0.90 (81 EQ VAS, 93 KCCQ) and in HCM patients 0.84 (75 EQ VAS, 78 KCCQ). Ceiling effects were highest for EQ-5D values (51% in G+P; 32% in HCM), followed by the KCCQ (38% in G+P-; 12% in HCM) and the EQ VAS (8% in G+P-; 5% in HCM). KCCQ and EQ-5D values had the highest correlation (Spearman's ρ=0.77) and showed good overall agreement according to the Bland-Altman plots. In HCM, EQ-5D values showed a slightly biased pattern with EQ-5D values scoring higher than the KCCQ. The KCCQ discriminated more nuances between relevant groups.

Conclusions: Due to its simplicity and good overall agreement with the KCCQ-which showed slightly better discrimination-we propose from our data that the EQ-5D-5L is a suitable instrument for the HRQoL assessment in clinical practice in patients with HCM.

Abstract Image

Abstract Image

在AFFECT-HCM研究中评估肥厚性心肌病患者的通用(EQ-5D-5L)和疾病特异性(KCCQ)生活质量的心理测量特性
背景:评估肥厚性心肌病(HCM)患者和基因型阳性、表型阴性(G+/P-)个体的通用和疾病特异性健康相关生活质量(HRQoL)工具的心理测量特性(内容效度、信度和结构效度)。方法:作为多中心观察性AFFECT-HCM研究的一部分,HRQoL采用通用EuroQoL-5维数-5水平(EQ- 5d - 5l)问卷、视觉模拟量表(EQ VAS)和疾病特异性堪萨斯城心肌病问卷(KCCQ)进行测量。该研究包括G+/P-个体和HCM患者。EQ-5D- 5l剖面使用荷兰值集转换为EQ-5D值(效用)。对所有工具的一般特征和健康维度(内容效度)进行评估。使用内部一致性(Cronbach’s alpha)、反应率、下限/上限效应(得分最高/最低的百分比)、相关性和工具之间的一致性水平(使用Bland-Altman图)来评估可靠性。建构效度评估采用已知群体法,以确定相关群体之间的预期差异。结果:共有393例HCM患者和78例G+/P-个体被纳入心理测量评估。G+/P-患者平均EQ- 5d值为0.90 (81 EQ VAS, 93 KCCQ), HCM患者平均EQ- 5d值为0.84 (75 EQ VAS, 78 KCCQ)。EQ-5D值的天花板效应最高(G+P为51%;HCM 32%),其次是KCCQ (G+P- 38%;HCM组12%)和EQ VAS (G+P-组8%;HCM为5%)。根据Bland-Altman图,KCCQ和EQ-5D值具有最高的相关性(Spearman ρ=0.77),并显示出良好的总体一致性。在HCM中,EQ-5D值表现出轻微的偏倚,EQ-5D值得分高于KCCQ。KCCQ对相关群体的区别对待更为细微。结论:由于EQ-5D-5L的简单性和与kccq的总体一致性较好,并表现出稍好的鉴别性,我们从我们的数据中提出EQ-5D-5L是HCM患者临床实践中HRQoL评估的合适工具。
本文章由计算机程序翻译,如有差异,请以英文原文为准。
求助全文
约1分钟内获得全文 求助全文
来源期刊
Open Heart
Open Heart CARDIAC & CARDIOVASCULAR SYSTEMS-
CiteScore
4.60
自引率
3.70%
发文量
145
审稿时长
20 weeks
期刊介绍: Open Heart is an online-only, open access cardiology journal that aims to be “open” in many ways: open access (free access for all readers), open peer review (unblinded peer review) and open data (data sharing is encouraged). The goal is to ensure maximum transparency and maximum impact on research progress and patient care. The journal is dedicated to publishing high quality, peer reviewed medical research in all disciplines and therapeutic areas of cardiovascular medicine. Research is published across all study phases and designs, from study protocols to phase I trials to meta-analyses, including small or specialist studies. Opinionated discussions on controversial topics are welcomed. Open Heart aims to operate a fast submission and review process with continuous publication online, to ensure timely, up-to-date research is available worldwide. The journal adheres to a rigorous and transparent peer review process, and all articles go through a statistical assessment to ensure robustness of the analyses. Open Heart is an official journal of the British Cardiovascular Society.
×
引用
GB/T 7714-2015
复制
MLA
复制
APA
复制
导出至
BibTeX EndNote RefMan NoteFirst NoteExpress
×
提示
您的信息不完整,为了账户安全,请先补充。
现在去补充
×
提示
您因"违规操作"
具体请查看互助需知
我知道了
×
提示
确定
请完成安全验证×
copy
已复制链接
快去分享给好友吧!
我知道了
右上角分享
点击右上角分享
0
联系我们:info@booksci.cn Book学术提供免费学术资源搜索服务,方便国内外学者检索中英文文献。致力于提供最便捷和优质的服务体验。 Copyright © 2023 布克学术 All rights reserved.
京ICP备2023020795号-1
ghs 京公网安备 11010802042870号
Book学术文献互助
Book学术文献互助群
群 号:604180095
Book学术官方微信