One Year Results of the Randomized BiPOWR Trial Comparing the Spring Distraction System (SDS) and the One Way Self-Expanding Rod (OWSER) for the Correction of Neuromuscular and Syndromic Early Onset Scoliosis.

Justin V C Lemans, Casper S Tabeling, Agnita Stadhouder, Jeroen J M Renkens, E Pauline Scholten, Hilde W Stempels, Lotfi Miladi, René M Castelein, Moyo C Kruyt
{"title":"One Year Results of the Randomized BiPOWR Trial Comparing the Spring Distraction System (SDS) and the One Way Self-Expanding Rod (OWSER) for the Correction of Neuromuscular and Syndromic Early Onset Scoliosis.","authors":"Justin V C Lemans, Casper S Tabeling, Agnita Stadhouder, Jeroen J M Renkens, E Pauline Scholten, Hilde W Stempels, Lotfi Miladi, René M Castelein, Moyo C Kruyt","doi":"10.1016/j.jposna.2025.100180","DOIUrl":null,"url":null,"abstract":"<p><strong>Background: </strong>Current \"growth-friendly\" implants for treatment of Early Onset Scoliosis (EOS) have limitations that reduce their efficacy and cost-effectiveness. Recently, two systems have been developed that mitigate many of these limitations, the Spring Distraction System (SDS) and the One Way Self-Expanding Rod (OWSER). The purpose of the multicenter BiPOWR trial was to compare 1-year efficacy and -safety of both strategies in the treatment of neuromuscular or syndromic EOS.</p><p><strong>Methods: </strong>Non-ambulant, neuromuscular/syndromic EOS patients were included in three academic hospitals. They were randomized to treatment with SDS or OWSER and were blinded until after surgery. Outcomes were coronal curve, spinal growth and the occurrence of (serious) adverse events ((S)AEs). In addition, spinal growth and implant lengthening were calculated. Data were collected pre-operatively, immediately post-operatively, and at 1-, 3-, 6-, and 12-month follow-up.</p><p><strong>Results: </strong>Thirty patients were included. Two patients passed away during follow-up, and these patients were replaced. All collected data were used for analysis. Mean age at surgery was 9.0 years, and 20/30 patients were male. Mean coronal curve decreased from 74.9° pre-operatively, to 37.6° post-operatively, remaining stable at 37.7° at the 1-year follow-up, with no group differences. T1-T12 length increased by 18 mm/year for SDS and 9 mm/year for OWSER. For T1-S1 length, this was 26 mm/year (SDS) and 18 mm/year (OWSER). Five (S)AEs occurred in the SDS group and 11 (S)AEs in the OWSER group. Two SDS patients passed away, unrelated to the surgery or implant. One (S)AE in the SDS group and 6 (S)AEs in the OWSER group were implant-related.</p><p><strong>Conclusions: </strong>The SDS and the OWSER achieved coronal curve correction of 50%, which was maintained at 1-year follow-up. Spinal length increase was excellent for both systems. The (S)AE rate was 30%/patient/year for SDS and 78%/patient/year for OWSER.</p><p><strong>Key concepts: </strong>(1) The current study is the first RCT that compares two \"growth-friendly\" implants in a neuromuscular early onset scoliosis (EOS) population.(2) The Spring Distraction System (SDS) and the One Way Self-Expanding Rod (OWSER) both achieve around 50% curve correction which is maintained at 1 year follow-up.(3) Both systems achieve excellent T1-T12- and T1-S1 height increase, without the need for repetitive lengthenings.(4) The (S)AE rate of SDS was 30%/patient/year. For OWSER, the (S)AE rate was 78%/patient/year.</p><p><strong>Study design: </strong>RCT.</p><p><strong>Level of evidence: </strong>Level 1.</p>","PeriodicalId":520850,"journal":{"name":"Journal of the Pediatric Orthopaedic Society of North America","volume":"11 ","pages":"100180"},"PeriodicalIF":0.0000,"publicationDate":"2025-03-27","publicationTypes":"Journal Article","fieldsOfStudy":null,"isOpenAccess":false,"openAccessPdf":"https://www.ncbi.nlm.nih.gov/pmc/articles/PMC12088330/pdf/","citationCount":"0","resultStr":null,"platform":"Semanticscholar","paperid":null,"PeriodicalName":"Journal of the Pediatric Orthopaedic Society of North America","FirstCategoryId":"1085","ListUrlMain":"https://doi.org/10.1016/j.jposna.2025.100180","RegionNum":0,"RegionCategory":null,"ArticlePicture":[],"TitleCN":null,"AbstractTextCN":null,"PMCID":null,"EPubDate":"2025/5/1 0:00:00","PubModel":"eCollection","JCR":"","JCRName":"","Score":null,"Total":0}
引用次数: 0

Abstract

Background: Current "growth-friendly" implants for treatment of Early Onset Scoliosis (EOS) have limitations that reduce their efficacy and cost-effectiveness. Recently, two systems have been developed that mitigate many of these limitations, the Spring Distraction System (SDS) and the One Way Self-Expanding Rod (OWSER). The purpose of the multicenter BiPOWR trial was to compare 1-year efficacy and -safety of both strategies in the treatment of neuromuscular or syndromic EOS.

Methods: Non-ambulant, neuromuscular/syndromic EOS patients were included in three academic hospitals. They were randomized to treatment with SDS or OWSER and were blinded until after surgery. Outcomes were coronal curve, spinal growth and the occurrence of (serious) adverse events ((S)AEs). In addition, spinal growth and implant lengthening were calculated. Data were collected pre-operatively, immediately post-operatively, and at 1-, 3-, 6-, and 12-month follow-up.

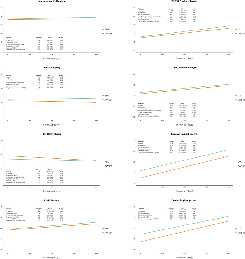
Results: Thirty patients were included. Two patients passed away during follow-up, and these patients were replaced. All collected data were used for analysis. Mean age at surgery was 9.0 years, and 20/30 patients were male. Mean coronal curve decreased from 74.9° pre-operatively, to 37.6° post-operatively, remaining stable at 37.7° at the 1-year follow-up, with no group differences. T1-T12 length increased by 18 mm/year for SDS and 9 mm/year for OWSER. For T1-S1 length, this was 26 mm/year (SDS) and 18 mm/year (OWSER). Five (S)AEs occurred in the SDS group and 11 (S)AEs in the OWSER group. Two SDS patients passed away, unrelated to the surgery or implant. One (S)AE in the SDS group and 6 (S)AEs in the OWSER group were implant-related.

Conclusions: The SDS and the OWSER achieved coronal curve correction of 50%, which was maintained at 1-year follow-up. Spinal length increase was excellent for both systems. The (S)AE rate was 30%/patient/year for SDS and 78%/patient/year for OWSER.

Key concepts: (1) The current study is the first RCT that compares two "growth-friendly" implants in a neuromuscular early onset scoliosis (EOS) population.(2) The Spring Distraction System (SDS) and the One Way Self-Expanding Rod (OWSER) both achieve around 50% curve correction which is maintained at 1 year follow-up.(3) Both systems achieve excellent T1-T12- and T1-S1 height increase, without the need for repetitive lengthenings.(4) The (S)AE rate of SDS was 30%/patient/year. For OWSER, the (S)AE rate was 78%/patient/year.

Study design: RCT.

Level of evidence: Level 1.

Abstract Image

Abstract Image

Abstract Image

比较弹簧撑开系统(SDS)和单向自扩杆(OWSER)矫正神经肌肉和综合征性早发性脊柱侧凸的一年随机BiPOWR试验结果
背景:目前用于治疗早发性脊柱侧凸(EOS)的“生长友好型”植入物存在局限性,降低了其疗效和成本效益。最近,有两种系统被开发出来,它们是弹簧分散系统(SDS)和单向自膨胀杆(OWSER)。多中心BiPOWR试验的目的是比较两种策略治疗神经肌肉或综合征性EOS的1年疗效和安全性。方法:选取三所学术医院的非卧床、神经肌肉/综合征性EOS患者。他们随机接受SDS或OWSER治疗,直到手术后才进行盲法治疗。结果为冠状曲线、脊柱生长和(严重)不良事件(S) ae的发生。此外,计算脊柱生长和种植体延长。收集术前、术后、1、3、6、12个月随访数据。结果:纳入30例患者。2例患者在随访期间死亡,这些患者被替换。所有收集的数据用于分析。平均手术年龄9.0岁,20/30患者为男性。平均冠状曲线从术前的74.9°下降到术后的37.6°,1年随访时稳定在37.7°,无组间差异。T1-T12长度SDS增加18 mm/年,OWSER增加9 mm/年。T1-S1长度分别为26mm /年(SDS)和18mm /年(OWSER)。SDS组发生5例ae, OWSER组发生11例ae。2例SDS患者死亡,与手术或植入物无关。SDS组1例(S)AE, OWSER组6例(S)AE与种植体相关。结论:SDS和OWSER实现了50%的冠状曲线矫正,并在1年的随访中保持。脊柱长度的增加对两个系统都是很好的。SDS的AE发生率为30%/患者/年,OWSER的AE发生率为78%/患者/年。关键概念:(1)本研究是第一个比较神经肌肉早发性脊柱侧凸(EOS)人群中两种“生长友好型”植入物的随机对照试验(RCT)。(2)弹簧牵引系统(SDS)和单向自扩杆(OWSER)均可实现约50%的曲线矫正,并在1年随访后保持不变。(3)两种系统均可实现出色的T1-T12-和T1-S1高度增加,无需重复延长。(4)SDS的AE率为30%/患者/年。对于OWSER, (S)AE率为78%/患者/年。研究设计:随机对照试验。证据等级:一级。
本文章由计算机程序翻译,如有差异,请以英文原文为准。
求助全文
约1分钟内获得全文 求助全文
来源期刊
自引率
0.00%
发文量
0
×
引用
GB/T 7714-2015
复制
MLA
复制
APA
复制
导出至
BibTeX EndNote RefMan NoteFirst NoteExpress
×
提示
您的信息不完整,为了账户安全,请先补充。
现在去补充
×
提示
您因"违规操作"
具体请查看互助需知
我知道了
×
提示
确定
请完成安全验证×
copy
已复制链接
快去分享给好友吧!
我知道了
右上角分享
点击右上角分享
0
联系我们:info@booksci.cn Book学术提供免费学术资源搜索服务,方便国内外学者检索中英文文献。致力于提供最便捷和优质的服务体验。 Copyright © 2023 布克学术 All rights reserved.
京ICP备2023020795号-1
ghs 京公网安备 11010802042870号
Book学术文献互助
Book学术文献互助群
群 号:604180095
Book学术官方微信