[Correlation between complement deposition levels on blood cells and clinical biomarkers in patients with paroxysmal nocturnal hemoglobinuria].

Q3 Medicine
M L Zhang, X Wang, C Yang, M Chen, B Han
{"title":"[Correlation between complement deposition levels on blood cells and clinical biomarkers in patients with paroxysmal nocturnal hemoglobinuria].","authors":"M L Zhang, X Wang, C Yang, M Chen, B Han","doi":"10.3760/cma.j.cn121090-20240717-00265","DOIUrl":null,"url":null,"abstract":"<p><p><b>Objective:</b> To explore the complement deposition levels on blood cell surfaces in patients with paroxysmal nocturnal hemoglobinuria (PNH) and evaluate their association with clinical manifestations. <b>Methods:</b> This study enrolled patients with PNH, who had not been treated with complement inhibitors and appeared at Peking Union Medical College Hospital from February 2021 to February 2023. The clinical information of participants was retrospectively recorded, and peripheral blood samples were collected. Gender- and age-matched normal controls (NC) were recruited accordingly. C5b-9, C3, C4b, and factor B (FB) deposition levels on peripheral red blood cells, white blood cells, and platelets were detected with flow cytometry. The correlation between complement deposition levels and clinical symptoms was analyzed. <b>Results:</b> This study involved 73 patients with PNH, including 42 (57.5%) males, with a median age of 36 (range: 14-76) years. 16 matched NC were collected. Among patients with PNH, 36 (49.3%) had classical PNH and 37 (50.7%) had aplastic anemia-PNH syndrome. Thromboembolic events (TEE) occurred in 18 (24.7%) patients. The median HGB, absolute reticulocyte count (Ret), and lactate dehydrogenase of PNH patients were 76 (37-116) g/L, 181.0 (45.9-495.8) ×10(9)/L, and 1 875 (377 - 5 509) U/L, respectively. The median number of Flaer-negative white blood cells was 94.0% (13.0% - 99.9%) ; the median CD59 negative red blood cells was 46.7% (9.0% - 93.0%). The deposition of C5b-9, C3, C4b, and FB on red blood cells, white blood cells, and platelets in patients with PNH was significantly higher than that in NC (all <i>P</i><0.05). C5b-9 deposition level was significantly higher than that of C3, C4b, and FB on all three blood cell lineages in PNH patients (all <i>P</i><0.01). The deposition of all complement fragments on red blood cells was significantly lower than that on white blood cells and platelets (all <i>P</i><0.01). C5b-9 deposition on red blood cells was positively correlated with Ret in PNH patients (<i>P</i>=0.005). C3 (<i>P</i>=0.001) and C4b (<i>P</i>=0.017) deposition levels on white blood cells and C3 deposition on platelets (<i>P</i>=0.002) in patients with TEE history were lower than those without. <b>Conclusions:</b> C5b-9, C3, C4b, and FB deposition levels on all three blood cells in patients with PNH were higher than NC. Increased C5b-9 on red blood cells may indicate active hemolysis. Reduced C3 and C4b levels on white blood cells and low C3 deposition on platelets may indicate TEE risk.</p>","PeriodicalId":24016,"journal":{"name":"Zhonghua xue ye xue za zhi = Zhonghua xueyexue zazhi","volume":"46 4","pages":"314-320"},"PeriodicalIF":0.0000,"publicationDate":"2025-04-14","publicationTypes":"Journal Article","fieldsOfStudy":null,"isOpenAccess":false,"openAccessPdf":"https://www.ncbi.nlm.nih.gov/pmc/articles/PMC12158814/pdf/","citationCount":"0","resultStr":null,"platform":"Semanticscholar","paperid":null,"PeriodicalName":"Zhonghua xue ye xue za zhi = Zhonghua xueyexue zazhi","FirstCategoryId":"1085","ListUrlMain":"https://doi.org/10.3760/cma.j.cn121090-20240717-00265","RegionNum":0,"RegionCategory":null,"ArticlePicture":[],"TitleCN":null,"AbstractTextCN":null,"PMCID":null,"EPubDate":"","PubModel":"","JCR":"Q3","JCRName":"Medicine","Score":null,"Total":0}
引用次数: 0

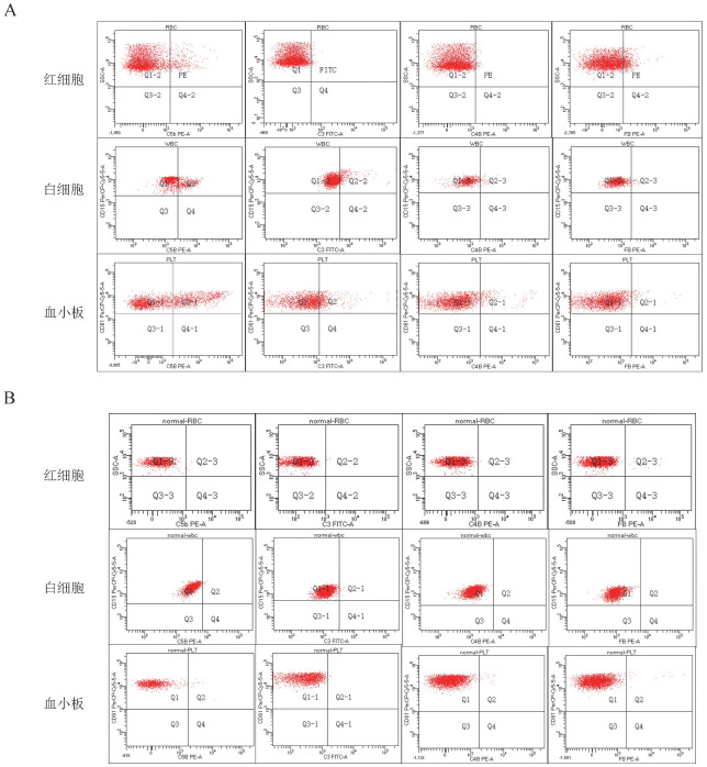
Abstract

Objective: To explore the complement deposition levels on blood cell surfaces in patients with paroxysmal nocturnal hemoglobinuria (PNH) and evaluate their association with clinical manifestations. Methods: This study enrolled patients with PNH, who had not been treated with complement inhibitors and appeared at Peking Union Medical College Hospital from February 2021 to February 2023. The clinical information of participants was retrospectively recorded, and peripheral blood samples were collected. Gender- and age-matched normal controls (NC) were recruited accordingly. C5b-9, C3, C4b, and factor B (FB) deposition levels on peripheral red blood cells, white blood cells, and platelets were detected with flow cytometry. The correlation between complement deposition levels and clinical symptoms was analyzed. Results: This study involved 73 patients with PNH, including 42 (57.5%) males, with a median age of 36 (range: 14-76) years. 16 matched NC were collected. Among patients with PNH, 36 (49.3%) had classical PNH and 37 (50.7%) had aplastic anemia-PNH syndrome. Thromboembolic events (TEE) occurred in 18 (24.7%) patients. The median HGB, absolute reticulocyte count (Ret), and lactate dehydrogenase of PNH patients were 76 (37-116) g/L, 181.0 (45.9-495.8) ×10(9)/L, and 1 875 (377 - 5 509) U/L, respectively. The median number of Flaer-negative white blood cells was 94.0% (13.0% - 99.9%) ; the median CD59 negative red blood cells was 46.7% (9.0% - 93.0%). The deposition of C5b-9, C3, C4b, and FB on red blood cells, white blood cells, and platelets in patients with PNH was significantly higher than that in NC (all P<0.05). C5b-9 deposition level was significantly higher than that of C3, C4b, and FB on all three blood cell lineages in PNH patients (all P<0.01). The deposition of all complement fragments on red blood cells was significantly lower than that on white blood cells and platelets (all P<0.01). C5b-9 deposition on red blood cells was positively correlated with Ret in PNH patients (P=0.005). C3 (P=0.001) and C4b (P=0.017) deposition levels on white blood cells and C3 deposition on platelets (P=0.002) in patients with TEE history were lower than those without. Conclusions: C5b-9, C3, C4b, and FB deposition levels on all three blood cells in patients with PNH were higher than NC. Increased C5b-9 on red blood cells may indicate active hemolysis. Reduced C3 and C4b levels on white blood cells and low C3 deposition on platelets may indicate TEE risk.

Abstract Image

Abstract Image

[阵发性夜间血红蛋白尿患者血细胞补体沉积水平与临床生物标志物的相关性]。
目的:探讨阵发性夜间血红蛋白尿(PNH)患者血细胞表面补体沉积水平及其与临床表现的关系。方法:本研究纳入了2021年2月至2023年2月在北京协和医院就诊的未接受补体抑制剂治疗的PNH患者。回顾性记录参与者的临床信息,并采集外周血样本。相应招募性别和年龄相匹配的正常对照(NC)。用流式细胞术检测外周血红细胞、白细胞和血小板上C5b-9、C3、C4b和因子B (FB)的沉积水平。分析补体沉积水平与临床症状的相关性。结果:本研究纳入73例PNH患者,其中男性42例(57.5%),中位年龄36岁(范围:14-76岁)。收集匹配NC 16例。在PNH患者中,典型PNH 36例(49.3%),再生障碍性贫血-PNH综合征37例(50.7%)。18例(24.7%)患者发生血栓栓塞事件(TEE)。PNH患者HGB、绝对网织红细胞计数(Ret)和乳酸脱氢酶的中位值分别为76 (37-116)g/L、181.0 (45.9-495.8)×10(9)/L和1875 (377 - 5 509)U/L。flaer阴性白细胞中位数为94.0% (13.0% ~ 99.9%);CD59阴性红细胞中位数为46.7%(9.0% ~ 93.0%)。PNH患者红细胞、白细胞、血小板上C5b-9、C3、C4b、FB的沉积明显高于NC(均PPPP=0.005)。有TEE病史的患者白细胞中C3 (P=0.001)、C4b (P=0.017)沉积水平和血小板中C3沉积水平均低于无TEE病史的患者(P=0.002)。结论:PNH患者三种血细胞中C5b-9、C3、C4b和FB的沉积水平均高于NC。红细胞C5b-9升高可能提示溶血活跃。白细胞中C3和C4b水平降低以及血小板中C3沉积低可能提示TEE风险。
本文章由计算机程序翻译,如有差异,请以英文原文为准。
求助全文
约1分钟内获得全文 求助全文
来源期刊
CiteScore
0.80
自引率
0.00%
发文量
100
×
引用
GB/T 7714-2015
复制
MLA
复制
APA
复制
导出至
BibTeX EndNote RefMan NoteFirst NoteExpress
×
提示
您的信息不完整,为了账户安全,请先补充。
现在去补充
×
提示
您因"违规操作"
具体请查看互助需知
我知道了
×
提示
确定
请完成安全验证×
copy
已复制链接
快去分享给好友吧!
我知道了
右上角分享
点击右上角分享
0
联系我们:info@booksci.cn Book学术提供免费学术资源搜索服务,方便国内外学者检索中英文文献。致力于提供最便捷和优质的服务体验。 Copyright © 2023 布克学术 All rights reserved.
京ICP备2023020795号-1
ghs 京公网安备 11010802042870号
Book学术文献互助
Book学术文献互助群
群 号:604180095
Book学术官方微信