A comprehensive evaluation of candidate genetic polymorphisms in a large histologically characterized MASLD cohort using a novel framework.

IF 5.6 2区 医学 Q1 GASTROENTEROLOGY & HEPATOLOGY
Hepatology Communications Pub Date : 2025-05-29 eCollection Date: 2025-06-01 DOI:10.1097/HC9.0000000000000728
Aaron Hakim, Kung-Hung Lin, Tae-Hwi Schwantes-An, Marco Abreu, Jingyi Tan, Xiuqing Guo, Katherine P Yates, Luca Lotta, Niek Verweij, Rohit Loomba, David E Kleiner, Jeffrey B Schwimmer, Jerome I Rotter, Naga P Chalasani
{"title":"A comprehensive evaluation of candidate genetic polymorphisms in a large histologically characterized MASLD cohort using a novel framework.","authors":"Aaron Hakim, Kung-Hung Lin, Tae-Hwi Schwantes-An, Marco Abreu, Jingyi Tan, Xiuqing Guo, Katherine P Yates, Luca Lotta, Niek Verweij, Rohit Loomba, David E Kleiner, Jeffrey B Schwimmer, Jerome I Rotter, Naga P Chalasani","doi":"10.1097/HC9.0000000000000728","DOIUrl":null,"url":null,"abstract":"<p><strong>Background: </strong>There is a substantial heritable component to metabolic dysfunction-associated steatotic liver disease (MASLD), and several genetic variants that promote MASLD development or associate with its severity have been reported. These associations vary in terms of their effect size and degree of replication.</p><p><strong>Methods: </strong>We developed a framework to classify previously identified MASLD genetic polymorphisms into 4 tiers based on effect size and extent of replication in the literature. We tested the association between \"tier 1\" single-nucleotide polymorphisms (OR ≥1.5, replicated in >2 independent studies) and biopsy measures of MASLD severity in a large, well-characterized histologic cohort of MASLD patients (n=3094).</p><p><strong>Results: </strong>Across 19 \"tier 1\" variants reflecting 11 genetic loci, only those in the PNPLA3-SAMM50-PARVB locus showed significant associations with biopsy-proven fibrosis severity and NAFLD activity score; the highest risk was for the rs738409 p.I148M variant in PNPLA3. A genetic risk score based on \"tier 1\" variants, as well as a previously developed genetic risk score based on variants in PNPLA3, TM6SF2, and HSD17B13, were both associated with fibrosis and NAFLD activity score, but these results were driven entirely by PNPLA3 rs738409.</p><p><strong>Conclusions: </strong>Our study provides a framework to prioritize evaluation of genetic polymorphisms for future replication efforts and demonstrates that in a large case-only cohort, histologic severity of MASLD is only robustly associated with the presence of variation in PNPLA3 among known candidate genes. These findings may have implications for patient risk stratification based on the presence of PNPLA3 rs738409.</p>","PeriodicalId":12978,"journal":{"name":"Hepatology Communications","volume":"9 6","pages":""},"PeriodicalIF":5.6000,"publicationDate":"2025-05-29","publicationTypes":"Journal Article","fieldsOfStudy":null,"isOpenAccess":false,"openAccessPdf":"https://www.ncbi.nlm.nih.gov/pmc/articles/PMC12122170/pdf/","citationCount":"0","resultStr":null,"platform":"Semanticscholar","paperid":null,"PeriodicalName":"Hepatology Communications","FirstCategoryId":"3","ListUrlMain":"https://doi.org/10.1097/HC9.0000000000000728","RegionNum":2,"RegionCategory":"医学","ArticlePicture":[],"TitleCN":null,"AbstractTextCN":null,"PMCID":null,"EPubDate":"2025/6/1 0:00:00","PubModel":"eCollection","JCR":"Q1","JCRName":"GASTROENTEROLOGY & HEPATOLOGY","Score":null,"Total":0}
引用次数: 0

Abstract

Background: There is a substantial heritable component to metabolic dysfunction-associated steatotic liver disease (MASLD), and several genetic variants that promote MASLD development or associate with its severity have been reported. These associations vary in terms of their effect size and degree of replication.

Methods: We developed a framework to classify previously identified MASLD genetic polymorphisms into 4 tiers based on effect size and extent of replication in the literature. We tested the association between "tier 1" single-nucleotide polymorphisms (OR ≥1.5, replicated in >2 independent studies) and biopsy measures of MASLD severity in a large, well-characterized histologic cohort of MASLD patients (n=3094).

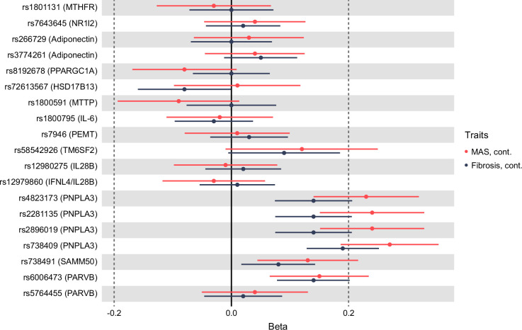
Results: Across 19 "tier 1" variants reflecting 11 genetic loci, only those in the PNPLA3-SAMM50-PARVB locus showed significant associations with biopsy-proven fibrosis severity and NAFLD activity score; the highest risk was for the rs738409 p.I148M variant in PNPLA3. A genetic risk score based on "tier 1" variants, as well as a previously developed genetic risk score based on variants in PNPLA3, TM6SF2, and HSD17B13, were both associated with fibrosis and NAFLD activity score, but these results were driven entirely by PNPLA3 rs738409.

Conclusions: Our study provides a framework to prioritize evaluation of genetic polymorphisms for future replication efforts and demonstrates that in a large case-only cohort, histologic severity of MASLD is only robustly associated with the presence of variation in PNPLA3 among known candidate genes. These findings may have implications for patient risk stratification based on the presence of PNPLA3 rs738409.

Abstract Image

Abstract Image

综合评估候选遗传多态性在一个大的组织学特征MASLD队列使用一个新的框架。
背景:代谢功能障碍相关的脂肪变性肝病(MASLD)存在大量的遗传成分,并且已经报道了几种促进MASLD发展或与其严重程度相关的遗传变异。这些关联在其效应大小和复制程度方面各不相同。方法:我们开发了一个框架,根据文献中的效应大小和复制程度,将先前确定的MASLD遗传多态性分为4层。我们测试了“1级”单核苷酸多态性(OR≥1.5,在bbbb2独立研究中重复)与MASLD严重程度的活检测量之间的关系,在一个大型的、特征明确的MASLD患者组织学队列中(n=3094)。结果:在反映11个遗传位点的19个“一级”变异中,只有PNPLA3-SAMM50-PARVB位点的变异与活检证实的纤维化严重程度和NAFLD活动评分有显著关联;PNPLA3的rs738409 p.I148M变异风险最高。基于“一级”变异的遗传风险评分,以及先前开发的基于PNPLA3、TM6SF2和HSD17B13变异的遗传风险评分,都与纤维化和NAFLD活动评分相关,但这些结果完全由PNPLA3 rs738409驱动。结论:我们的研究为未来的复制工作提供了一个优先评估遗传多态性的框架,并证明在一个大型病例队列中,MASLD的组织学严重程度仅与已知候选基因中PNPLA3变异的存在密切相关。这些发现可能对基于PNPLA3 rs738409存在的患者风险分层具有启示意义。
本文章由计算机程序翻译,如有差异,请以英文原文为准。
求助全文
约1分钟内获得全文 求助全文
来源期刊
Hepatology Communications
Hepatology Communications GASTROENTEROLOGY & HEPATOLOGY-
CiteScore
8.00
自引率
2.00%
发文量
248
审稿时长
8 weeks
期刊介绍: Hepatology Communications is a peer-reviewed, online-only, open access journal for fast dissemination of high quality basic, translational, and clinical research in hepatology. Hepatology Communications maintains high standard and rigorous peer review. Because of its open access nature, authors retain the copyright to their works, all articles are immediately available and free to read and share, and it is fully compliant with funder and institutional mandates. The journal is committed to fast publication and author satisfaction. ​
×
引用
GB/T 7714-2015
复制
MLA
复制
APA
复制
导出至
BibTeX EndNote RefMan NoteFirst NoteExpress
×
提示
您的信息不完整,为了账户安全,请先补充。
现在去补充
×
提示
您因"违规操作"
具体请查看互助需知
我知道了
×
提示
确定
请完成安全验证×
copy
已复制链接
快去分享给好友吧!
我知道了
右上角分享
点击右上角分享
0
联系我们:info@booksci.cn Book学术提供免费学术资源搜索服务,方便国内外学者检索中英文文献。致力于提供最便捷和优质的服务体验。 Copyright © 2023 布克学术 All rights reserved.
京ICP备2023020795号-1
ghs 京公网安备 11010802042870号
Book学术文献互助
Book学术文献互助群
群 号:604180095
Book学术官方微信