Association Between Metabolic Dysfunction and Gallstone Disease in U.S. Adults: An Analysis of the National Health and Nutrition Examination Survey

IF 2.3 3区 医学 Q3 GASTROENTEROLOGY & HEPATOLOGY
Yong Feng Tang, Yong Tian Su, Li Juan Liang, Yong Feng, Xiang Jiao Huang, Xue Lian Xiang, Zhi Hai Liang
{"title":"Association Between Metabolic Dysfunction and Gallstone Disease in U.S. Adults: An Analysis of the National Health and Nutrition Examination Survey","authors":"Yong Feng Tang,&nbsp;Yong Tian Su,&nbsp;Li Juan Liang,&nbsp;Yong Feng,&nbsp;Xiang Jiao Huang,&nbsp;Xue Lian Xiang,&nbsp;Zhi Hai Liang","doi":"10.1111/1751-2980.13349","DOIUrl":null,"url":null,"abstract":"<div>\n \n \n <section>\n \n <h3> Objectives</h3>\n \n <p>Gallstones affect a significant proportion of U.S. adults and can cause serious complications. We aimed to investigate the association between gallstone disease and common metabolic disorders in a nationally representative sample in the United States.</p>\n </section>\n \n <section>\n \n <h3> Methods</h3>\n \n <p>We analyzed data from the National Health and Nutrition Examination Survey (NHANES) collected from 2017 to 2020. We included 6164 participants meeting the eligibility criteria, which represented 171 407 370 participants. The associations between gallstone disease and six metabolic disorders were analyzed using multivariate logistic regression analyses, accounting for potential confounding factors. Subgroup analyses were conducted by age, gender, and race.</p>\n </section>\n \n <section>\n \n <h3> Results</h3>\n \n <p>Altogether 10.9% of participants had gallstone disease, with prevalence increasing with age (mean age with vs. without gallstones: 56.435 years vs. 46.896 years, <i>p</i> &lt; 0.001) and a female predominance (75.1% vs. 24.9%, <i>p</i> &lt; 0.001). Non-alcoholic fatty liver disease (NAFLD), obesity, hypertension, and diabetes mellitus were significantly associated with an increased risk of gallstone formation, with adjusted odds ratios (OR) of 1.523 (95% confidence interval [CI] 1.180–1.965, <i>p</i> = 0.002), 1.733 (95% CI 1.265–2.374, <i>p</i> = 0.001), 1.466 (95% CI 1.203–1.785, <i>p</i> = 0.001), and 1.522 (95% CI 1.165–1.989, <i>p</i> = 0.003), respectively. These associations were more pronounced in individuals under 60 years of age and in females. No significant associations were observed with hyperlipidemia or hyperuricemia.</p>\n </section>\n \n <section>\n \n <h3> Conclusions</h3>\n \n <p>Gallstone disease is significantly associated with obesity, NAFLD, diabetes mellitus, and hypertension, with stronger associations found in younger individuals and females. Sensitivity analyses confirmed the robustness of these findings.</p>\n </section>\n </div>","PeriodicalId":15564,"journal":{"name":"Journal of Digestive Diseases","volume":"26 3-4","pages":"158-169"},"PeriodicalIF":2.3000,"publicationDate":"2025-05-27","publicationTypes":"Journal Article","fieldsOfStudy":null,"isOpenAccess":false,"openAccessPdf":"https://onlinelibrary.wiley.com/doi/epdf/10.1111/1751-2980.13349","citationCount":"0","resultStr":null,"platform":"Semanticscholar","paperid":null,"PeriodicalName":"Journal of Digestive Diseases","FirstCategoryId":"3","ListUrlMain":"https://onlinelibrary.wiley.com/doi/10.1111/1751-2980.13349","RegionNum":3,"RegionCategory":"医学","ArticlePicture":[],"TitleCN":null,"AbstractTextCN":null,"PMCID":null,"EPubDate":"","PubModel":"","JCR":"Q3","JCRName":"GASTROENTEROLOGY & HEPATOLOGY","Score":null,"Total":0}
引用次数: 0

Abstract

Objectives

Gallstones affect a significant proportion of U.S. adults and can cause serious complications. We aimed to investigate the association between gallstone disease and common metabolic disorders in a nationally representative sample in the United States.

Methods

We analyzed data from the National Health and Nutrition Examination Survey (NHANES) collected from 2017 to 2020. We included 6164 participants meeting the eligibility criteria, which represented 171 407 370 participants. The associations between gallstone disease and six metabolic disorders were analyzed using multivariate logistic regression analyses, accounting for potential confounding factors. Subgroup analyses were conducted by age, gender, and race.

Results

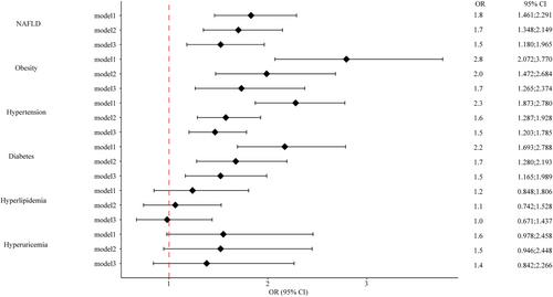
Altogether 10.9% of participants had gallstone disease, with prevalence increasing with age (mean age with vs. without gallstones: 56.435 years vs. 46.896 years, p < 0.001) and a female predominance (75.1% vs. 24.9%, p < 0.001). Non-alcoholic fatty liver disease (NAFLD), obesity, hypertension, and diabetes mellitus were significantly associated with an increased risk of gallstone formation, with adjusted odds ratios (OR) of 1.523 (95% confidence interval [CI] 1.180–1.965, p = 0.002), 1.733 (95% CI 1.265–2.374, p = 0.001), 1.466 (95% CI 1.203–1.785, p = 0.001), and 1.522 (95% CI 1.165–1.989, p = 0.003), respectively. These associations were more pronounced in individuals under 60 years of age and in females. No significant associations were observed with hyperlipidemia or hyperuricemia.

Conclusions

Gallstone disease is significantly associated with obesity, NAFLD, diabetes mellitus, and hypertension, with stronger associations found in younger individuals and females. Sensitivity analyses confirmed the robustness of these findings.

Abstract Image

美国成年人代谢功能障碍与胆结石疾病之间的关系:国家健康和营养检查调查的分析
目的:胆结石影响很大比例的美国成年人,并可引起严重的并发症。我们的目的是在美国一个具有全国代表性的样本中调查胆结石疾病和常见代谢紊乱之间的关系。方法:分析2017 - 2020年国家健康与营养检查调查(NHANES)的数据。我们纳入了6164名符合资格标准的参与者,即171 407 370名参与者。采用多变量logistic回归分析分析了胆结石疾病与六种代谢性疾病之间的关系,并考虑了潜在的混杂因素。按年龄、性别和种族进行亚组分析。结果:共有10.9%的参与者患有胆结石疾病,患病率随着年龄的增长而增加(患有胆结石和未患有胆结石的平均年龄:56.435岁对46.896岁)。结论:胆结石疾病与肥胖、NAFLD、糖尿病和高血压显著相关,在年轻人和女性中发现的相关性更强。敏感性分析证实了这些发现的稳健性。
本文章由计算机程序翻译,如有差异,请以英文原文为准。
求助全文
约1分钟内获得全文 求助全文
来源期刊
Journal of Digestive Diseases
Journal of Digestive Diseases 医学-胃肠肝病学
CiteScore
5.40
自引率
2.90%
发文量
81
审稿时长
6-12 weeks
期刊介绍: The Journal of Digestive Diseases is the official English-language journal of the Chinese Society of Gastroenterology. The journal is published twelve times per year and includes peer-reviewed original papers, review articles and commentaries concerned with research relating to the esophagus, stomach, small intestine, colon, liver, biliary tract and pancreas.
×
引用
GB/T 7714-2015
复制
MLA
复制
APA
复制
导出至
BibTeX EndNote RefMan NoteFirst NoteExpress
×
提示
您的信息不完整,为了账户安全,请先补充。
现在去补充
×
提示
您因"违规操作"
具体请查看互助需知
我知道了
×
提示
确定
请完成安全验证×
copy
已复制链接
快去分享给好友吧!
我知道了
右上角分享
点击右上角分享
0
联系我们:info@booksci.cn Book学术提供免费学术资源搜索服务,方便国内外学者检索中英文文献。致力于提供最便捷和优质的服务体验。 Copyright © 2023 布克学术 All rights reserved.
京ICP备2023020795号-1
ghs 京公网安备 11010802042870号
Book学术文献互助
Book学术文献互助群
群 号:604180095
Book学术官方微信