Dysregulation of Ceruloplasmin, α2-Macroglobulin, and Alpha-2-HS-Glycoprotein in Transfusion-Dependent Thalassemia.

Q3 Medicine
Advances in Hematology Pub Date : 2025-05-19 eCollection Date: 2025-01-01 DOI:10.1155/ah/2179600
Afshan Sumera, Ammu K Radhakrishnan, Soon Keng Cheong, Abdul Aziz Baba
{"title":"Dysregulation of Ceruloplasmin, α2-Macroglobulin, and Alpha-2-HS-Glycoprotein in Transfusion-Dependent Thalassemia.","authors":"Afshan Sumera, Ammu K Radhakrishnan, Soon Keng Cheong, Abdul Aziz Baba","doi":"10.1155/ah/2179600","DOIUrl":null,"url":null,"abstract":"<p><p>Transfusion-dependent thalassemia (TDT) is a severe inherited anemia characterized by impaired synthesis of hemoglobin chains. Disease progression and TDT severity are potentially linked to oxidative stress and protein damage. This study aimed to explore the expression patterns of ceruloplasmin (CP), α2-macroglobulin (A2M), and alpha-2-HS-glycoprotein (AHSG) in TDT serum through quantitative proteomic profiling. The results were validated using enzyme-linked immunosorbent assays (ELISA). The study participants were divided into three groups based on the duration of blood transfusion. Age and gender-matched normal individuals served as controls. The results revealed the downregulation of these proteins. The reduced levels of these proteins may contribute to tissue damage in TDT patients, primarily due to increased oxidative stress. For example, decreased CP levels can disrupt iron and copper metabolism, leading to heightened oxidative stress and rendering red blood cell membranes more susceptible to rupture due to active oxygen radicals. In summary, CP, A2M, and AHSG association with iron metabolism, inflammation, and oxidative stress underscores their potential relevance in understanding TDT's pathogenesis and progression. These findings may pave the way for improved diagnostic and therapeutic strategies for TDT patients.</p>","PeriodicalId":7325,"journal":{"name":"Advances in Hematology","volume":"2025 ","pages":"2179600"},"PeriodicalIF":0.0000,"publicationDate":"2025-05-19","publicationTypes":"Journal Article","fieldsOfStudy":null,"isOpenAccess":false,"openAccessPdf":"https://www.ncbi.nlm.nih.gov/pmc/articles/PMC12105889/pdf/","citationCount":"0","resultStr":null,"platform":"Semanticscholar","paperid":null,"PeriodicalName":"Advances in Hematology","FirstCategoryId":"1085","ListUrlMain":"https://doi.org/10.1155/ah/2179600","RegionNum":0,"RegionCategory":null,"ArticlePicture":[],"TitleCN":null,"AbstractTextCN":null,"PMCID":null,"EPubDate":"2025/1/1 0:00:00","PubModel":"eCollection","JCR":"Q3","JCRName":"Medicine","Score":null,"Total":0}
引用次数: 0

Abstract

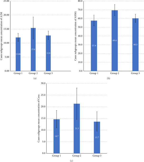
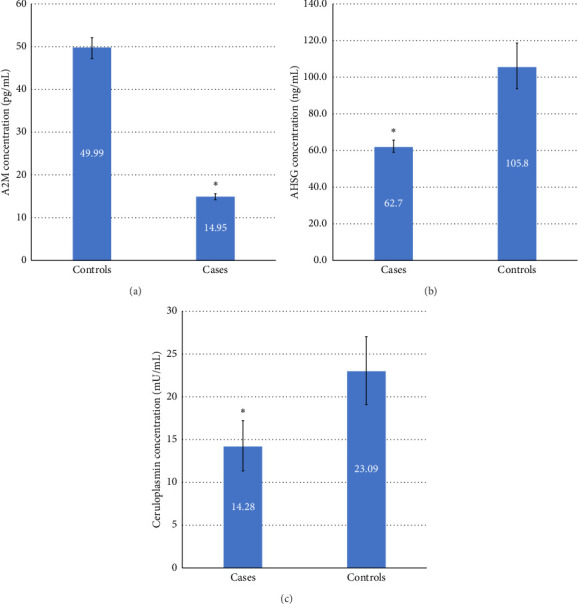
Transfusion-dependent thalassemia (TDT) is a severe inherited anemia characterized by impaired synthesis of hemoglobin chains. Disease progression and TDT severity are potentially linked to oxidative stress and protein damage. This study aimed to explore the expression patterns of ceruloplasmin (CP), α2-macroglobulin (A2M), and alpha-2-HS-glycoprotein (AHSG) in TDT serum through quantitative proteomic profiling. The results were validated using enzyme-linked immunosorbent assays (ELISA). The study participants were divided into three groups based on the duration of blood transfusion. Age and gender-matched normal individuals served as controls. The results revealed the downregulation of these proteins. The reduced levels of these proteins may contribute to tissue damage in TDT patients, primarily due to increased oxidative stress. For example, decreased CP levels can disrupt iron and copper metabolism, leading to heightened oxidative stress and rendering red blood cell membranes more susceptible to rupture due to active oxygen radicals. In summary, CP, A2M, and AHSG association with iron metabolism, inflammation, and oxidative stress underscores their potential relevance in understanding TDT's pathogenesis and progression. These findings may pave the way for improved diagnostic and therapeutic strategies for TDT patients.

Abstract Image

Abstract Image

Abstract Image

输血依赖性地中海贫血患者铜蓝蛋白、α2-巨球蛋白和α2- hs -糖蛋白的失调。
输血依赖性地中海贫血(TDT)是一种以血红蛋白链合成受损为特征的严重遗传性贫血。疾病进展和TDT严重程度可能与氧化应激和蛋白质损伤有关。本研究旨在通过定量蛋白质组学分析探讨铜蓝蛋白(CP)、α2-巨球蛋白(A2M)和α -2- hs -糖蛋白(AHSG)在TDT血清中的表达规律。采用酶联免疫吸附试验(ELISA)对结果进行验证。根据输血时间的长短,研究参与者被分为三组。年龄和性别匹配的正常人作为对照。结果显示这些蛋白下调。这些蛋白水平的降低可能导致TDT患者的组织损伤,主要是由于氧化应激的增加。例如,CP水平降低会破坏铁和铜的代谢,导致氧化应激加剧,使红细胞膜更容易因活性氧自由基而破裂。总之,CP、A2M和AHSG与铁代谢、炎症和氧化应激的关联强调了它们在理解TDT发病机制和进展中的潜在相关性。这些发现可能为改进TDT患者的诊断和治疗策略铺平道路。
本文章由计算机程序翻译,如有差异,请以英文原文为准。
求助全文
约1分钟内获得全文 求助全文
来源期刊
Advances in Hematology
Advances in Hematology Medicine-Hematology
CiteScore
3.30
自引率
0.00%
发文量
10
审稿时长
15 weeks
×
引用
GB/T 7714-2015
复制
MLA
复制
APA
复制
导出至
BibTeX EndNote RefMan NoteFirst NoteExpress
×
提示
您的信息不完整,为了账户安全,请先补充。
现在去补充
×
提示
您因"违规操作"
具体请查看互助需知
我知道了
×
提示
确定
请完成安全验证×
copy
已复制链接
快去分享给好友吧!
我知道了
右上角分享
点击右上角分享
0
联系我们:info@booksci.cn Book学术提供免费学术资源搜索服务,方便国内外学者检索中英文文献。致力于提供最便捷和优质的服务体验。 Copyright © 2023 布克学术 All rights reserved.
京ICP备2023020795号-1
ghs 京公网安备 11010802042870号
Book学术文献互助
Book学术文献互助群
群 号:604180095
Book学术官方微信