Assessing the Association of Physician and Specialist Maldistribution with Out-of-hospital Cardiac Arrest Outcomes: Implications for Regulatory Policy.

IF 1.8 Q2 MEDICINE, GENERAL & INTERNAL
JMA journal Pub Date : 2025-04-28 Epub Date: 2025-02-28 DOI:10.31662/jmaj.2024-0241
Atsushi Takayama, Hemant Poudyal
{"title":"Assessing the Association of Physician and Specialist Maldistribution with Out-of-hospital Cardiac Arrest Outcomes: Implications for Regulatory Policy.","authors":"Atsushi Takayama, Hemant Poudyal","doi":"10.31662/jmaj.2024-0241","DOIUrl":null,"url":null,"abstract":"<p><strong>Introduction: </strong>Because regional physician maldistribution is considered a potential contributor to disparities in healthcare outcomes, several countries regulate the number of physicians and specialists per region to ameliorate health disparities. However, the association between regional physician maldistribution and specific outcomes, such as out-of-hospital cardiac arrest (OHCA) at the regional level, remains unclear. This study aims to evaluate the association between regional physician and specialist maldistribution and OHCA outcomes.</p><p><strong>Methods: </strong>This ecological study used 12 years of longitudinal public open datasets in Japan. We examined the disparity trends of indices of physician and specialist (emergency physicians, cardiologists, and cardiac surgeons) distribution using the Gini index. We also examined the physician uneven distribution index, a newly introduced policy index incorporating local demand and supply of medical services. Next, we analyzed the association between these distributions and OHCA-related outcomes (30-day survival rate and 30-day favorable neurological outcome).</p><p><strong>Results: </strong>The overall number of physicians and each specialist steadily increased throughout all regions and the observation period, but the trends in the regional distribution of specialists for each region were not always synchronized with the distribution of overall physicians. Although the disparity within each index has gradually decreased, the disparity of specialists remained high compared with overall physicians. Moreover, regional physician distributions, which showed the lowest level of disparity across regions, were consistently associated with OHCA-related outcomes, whereas the regional disparity of specialists, which consistently exhibited a higher level of disparity, was not associated with the outcomes.</p><p><strong>Conclusions: </strong>Paradoxically, the unevenly distributed specialist distribution indices did not reflect their relevant outcomes, despite their direct involvement in the specific outcomes. Therefore, our findings call into question the validity of policies aimed at correcting the total number of physicians without considering the impact of specialists on healthcare outcomes.</p>","PeriodicalId":73550,"journal":{"name":"JMA journal","volume":"8 2","pages":"506-516"},"PeriodicalIF":1.8000,"publicationDate":"2025-04-28","publicationTypes":"Journal Article","fieldsOfStudy":null,"isOpenAccess":false,"openAccessPdf":"https://www.ncbi.nlm.nih.gov/pmc/articles/PMC12095126/pdf/","citationCount":"0","resultStr":null,"platform":"Semanticscholar","paperid":null,"PeriodicalName":"JMA journal","FirstCategoryId":"1085","ListUrlMain":"https://doi.org/10.31662/jmaj.2024-0241","RegionNum":0,"RegionCategory":null,"ArticlePicture":[],"TitleCN":null,"AbstractTextCN":null,"PMCID":null,"EPubDate":"2025/2/28 0:00:00","PubModel":"Epub","JCR":"Q2","JCRName":"MEDICINE, GENERAL & INTERNAL","Score":null,"Total":0}
引用次数: 0

Abstract

Introduction: Because regional physician maldistribution is considered a potential contributor to disparities in healthcare outcomes, several countries regulate the number of physicians and specialists per region to ameliorate health disparities. However, the association between regional physician maldistribution and specific outcomes, such as out-of-hospital cardiac arrest (OHCA) at the regional level, remains unclear. This study aims to evaluate the association between regional physician and specialist maldistribution and OHCA outcomes.

Methods: This ecological study used 12 years of longitudinal public open datasets in Japan. We examined the disparity trends of indices of physician and specialist (emergency physicians, cardiologists, and cardiac surgeons) distribution using the Gini index. We also examined the physician uneven distribution index, a newly introduced policy index incorporating local demand and supply of medical services. Next, we analyzed the association between these distributions and OHCA-related outcomes (30-day survival rate and 30-day favorable neurological outcome).

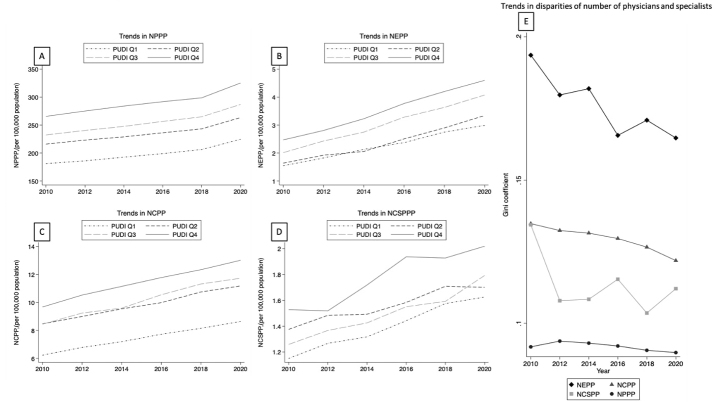
Results: The overall number of physicians and each specialist steadily increased throughout all regions and the observation period, but the trends in the regional distribution of specialists for each region were not always synchronized with the distribution of overall physicians. Although the disparity within each index has gradually decreased, the disparity of specialists remained high compared with overall physicians. Moreover, regional physician distributions, which showed the lowest level of disparity across regions, were consistently associated with OHCA-related outcomes, whereas the regional disparity of specialists, which consistently exhibited a higher level of disparity, was not associated with the outcomes.

Conclusions: Paradoxically, the unevenly distributed specialist distribution indices did not reflect their relevant outcomes, despite their direct involvement in the specific outcomes. Therefore, our findings call into question the validity of policies aimed at correcting the total number of physicians without considering the impact of specialists on healthcare outcomes.

Abstract Image

Abstract Image

评估医师和专科医师的不均匀分布与院外心脏骤停结果的关系:对监管政策的影响。
由于地区医生分布不均被认为是医疗保健结果差异的潜在因素,一些国家规定了每个地区的医生和专家的数量,以改善健康差异。然而,区域医生分布不均与特定结果之间的关系,如院外心脏骤停(OHCA)在区域一级,仍不清楚。本研究旨在评估区域医师和专科医师分布不均与OHCA结果之间的关系。方法:这项生态学研究使用了日本12年的纵向公共开放数据集。我们使用基尼指数检验了内科医生和专科医生(急诊医生、心脏病专家和心脏外科医生)分布指数的差异趋势。我们还研究了医生不均匀分布指数,这是一个新引入的政策指数,结合了当地医疗服务的需求和供应。接下来,我们分析了这些分布与ohca相关结果(30天生存率和30天良好神经预后)之间的关系。结果:各地区和观察期医师总数和专科数均稳步增长,但各地区专科数区域分布趋势与医师总数分布并不同步。虽然各指标内的差距逐渐缩小,但专科医生与整体医生的差距仍然很大。此外,区域医师分布与ohca相关的结果一致,而区域医师分布与ohca相关的结果一致,区域医师分布与ohca相关的结果一致,区域医师分布与ohca相关的结果一致,区域医师分布与ohca相关的结果一致。结论:矛盾的是,不均匀分布的专家分布指数并没有反映他们的相关结果,尽管他们直接参与具体的结果。因此,我们的研究结果对旨在纠正医生总数而不考虑专家对医疗保健结果的影响的政策的有效性提出了质疑。
本文章由计算机程序翻译,如有差异,请以英文原文为准。
求助全文
约1分钟内获得全文 求助全文
来源期刊
自引率
0.00%
发文量
0
×
引用
GB/T 7714-2015
复制
MLA
复制
APA
复制
导出至
BibTeX EndNote RefMan NoteFirst NoteExpress
×
提示
您的信息不完整,为了账户安全,请先补充。
现在去补充
×
提示
您因"违规操作"
具体请查看互助需知
我知道了
×
提示
确定
请完成安全验证×
copy
已复制链接
快去分享给好友吧!
我知道了
右上角分享
点击右上角分享
0
联系我们:info@booksci.cn Book学术提供免费学术资源搜索服务,方便国内外学者检索中英文文献。致力于提供最便捷和优质的服务体验。 Copyright © 2023 布克学术 All rights reserved.
京ICP备2023020795号-1
ghs 京公网安备 11010802042870号
Book学术文献互助
Book学术文献互助群
群 号:604180095
Book学术官方微信