Association between Acute Care Accessibility and in-Hospital Mortality among Patients with Acute Ischemic Stroke.

IF 1.8 Q2 MEDICINE, GENERAL & INTERNAL
JMA journal Pub Date : 2025-04-28 Epub Date: 2025-02-21 DOI:10.31662/jmaj.2024-0249
Yusuke Sasahara, Yasufumi Gon, Eisuke Hida
{"title":"Association between Acute Care Accessibility and in-Hospital Mortality among Patients with Acute Ischemic Stroke.","authors":"Yusuke Sasahara, Yasufumi Gon, Eisuke Hida","doi":"10.31662/jmaj.2024-0249","DOIUrl":null,"url":null,"abstract":"<p><strong>Introduction: </strong>Acute ischemic stroke (AIS) can lead to sequelae or death if not treated promptly. Patients residing in areas with limited acute care access may not receive prompt treatment; however, the association between accessibility to acute care and discharge outcomes in patients with AIS remains controversial. This study aimed to clarify the association between acute care density index (ACDI) and home-to-hospital distance and in-hospital mortality in patients with AIS.</p><p><strong>Methods: </strong>Using the Japanese registry of all cardiac and vascular diseases-diagnosis procedure combination database, we examined 525,689 patients (from April 2015 to March 2020). Hospital accessibility was assessed using ACDI and home-to-hospital distance. The patient residences were classified as urban, rural, or depopulated.</p><p><strong>Results: </strong>In urban areas, ACDI was associated with in-hospital mortality, with adjusted odds ratios for Q2, Q3, and Q4 compared with Q1 of 1.16 (95% confidence interval: 1.02-1.31), 1.23 (1.10-1.39), and 1.35 (1.19-1.53), respectively. Similar trends were observed in rural areas. In depopulated areas, home-to-hospital distance exceeding the median was associated with a reduction in in-hospital mortality, with adjusted odds ratios for Q3 and Q4 compared with Q1 of 0.84 (0.74-0.95) and 0.78 (0.68-0.89), respectively.</p><p><strong>Conclusions: </strong>A lower ACDI was associated with higher in-hospital mortality in both urban and rural areas, whereas longer home-to-hospital distance was not necessarily associated with higher in-hospital mortality.</p>","PeriodicalId":73550,"journal":{"name":"JMA journal","volume":"8 2","pages":"417-429"},"PeriodicalIF":1.8000,"publicationDate":"2025-04-28","publicationTypes":"Journal Article","fieldsOfStudy":null,"isOpenAccess":false,"openAccessPdf":"https://www.ncbi.nlm.nih.gov/pmc/articles/PMC12095654/pdf/","citationCount":"0","resultStr":null,"platform":"Semanticscholar","paperid":null,"PeriodicalName":"JMA journal","FirstCategoryId":"1085","ListUrlMain":"https://doi.org/10.31662/jmaj.2024-0249","RegionNum":0,"RegionCategory":null,"ArticlePicture":[],"TitleCN":null,"AbstractTextCN":null,"PMCID":null,"EPubDate":"2025/2/21 0:00:00","PubModel":"Epub","JCR":"Q2","JCRName":"MEDICINE, GENERAL & INTERNAL","Score":null,"Total":0}
引用次数: 0

Abstract

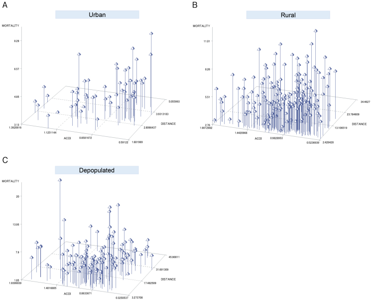
Introduction: Acute ischemic stroke (AIS) can lead to sequelae or death if not treated promptly. Patients residing in areas with limited acute care access may not receive prompt treatment; however, the association between accessibility to acute care and discharge outcomes in patients with AIS remains controversial. This study aimed to clarify the association between acute care density index (ACDI) and home-to-hospital distance and in-hospital mortality in patients with AIS.

Methods: Using the Japanese registry of all cardiac and vascular diseases-diagnosis procedure combination database, we examined 525,689 patients (from April 2015 to March 2020). Hospital accessibility was assessed using ACDI and home-to-hospital distance. The patient residences were classified as urban, rural, or depopulated.

Results: In urban areas, ACDI was associated with in-hospital mortality, with adjusted odds ratios for Q2, Q3, and Q4 compared with Q1 of 1.16 (95% confidence interval: 1.02-1.31), 1.23 (1.10-1.39), and 1.35 (1.19-1.53), respectively. Similar trends were observed in rural areas. In depopulated areas, home-to-hospital distance exceeding the median was associated with a reduction in in-hospital mortality, with adjusted odds ratios for Q3 and Q4 compared with Q1 of 0.84 (0.74-0.95) and 0.78 (0.68-0.89), respectively.

Conclusions: A lower ACDI was associated with higher in-hospital mortality in both urban and rural areas, whereas longer home-to-hospital distance was not necessarily associated with higher in-hospital mortality.

Abstract Image

Abstract Image

Abstract Image

急性缺血性脑卒中患者急性护理可及性与住院死亡率的关系
简介:急性缺血性中风(AIS)可导致后遗症或死亡,如果不及时治疗。居住在急诊护理有限地区的患者可能无法得到及时治疗;然而,AIS患者获得急性护理与出院结果之间的关系仍存在争议。本研究旨在阐明急性护理密度指数(ACDI)与AIS患者家到医院的距离和住院死亡率之间的关系。方法:使用日本所有心血管疾病注册-诊断程序组合数据库,我们检查了525,689例患者(2015年4月至2020年3月)。使用ACDI和家到医院的距离评估医院可达性。患者居住地分为城市、农村和人口稀少地区。结果:在城市地区,ACDI与住院死亡率相关,第二季度、第三季度和第四季度与第一季度的校正优势比分别为1.16(95%可信区间:1.02-1.31)、1.23(1.10-1.39)和1.35(1.19-1.53)。农村地区也出现了类似的趋势。在人口稀少的地区,家到医院的距离超过中位数与院内死亡率的降低有关,第三季度和第四季度与第一季度的调整优势比分别为0.84(0.74-0.95)和0.78(0.68-0.89)。结论:在城市和农村地区,较低的ACDI与较高的住院死亡率相关,而较长的家到医院的距离并不一定与较高的住院死亡率相关。
本文章由计算机程序翻译,如有差异,请以英文原文为准。
求助全文
约1分钟内获得全文 求助全文
来源期刊
自引率
0.00%
发文量
0
×
引用
GB/T 7714-2015
复制
MLA
复制
APA
复制
导出至
BibTeX EndNote RefMan NoteFirst NoteExpress
×
提示
您的信息不完整,为了账户安全,请先补充。
现在去补充
×
提示
您因"违规操作"
具体请查看互助需知
我知道了
×
提示
确定
请完成安全验证×
copy
已复制链接
快去分享给好友吧!
我知道了
右上角分享
点击右上角分享
0
联系我们:info@booksci.cn Book学术提供免费学术资源搜索服务,方便国内外学者检索中英文文献。致力于提供最便捷和优质的服务体验。 Copyright © 2023 布克学术 All rights reserved.
京ICP备2023020795号-1
ghs 京公网安备 11010802042870号
Book学术文献互助
Book学术文献互助群
群 号:604180095
Book学术官方微信