Adjusted Global Antiphospholipid Syndrome Score Is Associated with End-Stage Kidney Disease in Patients with ANCA-Associated Vasculitis: A Single-Centre Pilot Study.

IF 2.8 4区 医学 Q1 MEDICINE, GENERAL & INTERNAL
Pil Gyu Park, Hyun Joon Choi, Yong-Beom Park, Sang-Won Lee
{"title":"Adjusted Global Antiphospholipid Syndrome Score Is Associated with End-Stage Kidney Disease in Patients with ANCA-Associated Vasculitis: A Single-Centre Pilot Study.","authors":"Pil Gyu Park, Hyun Joon Choi, Yong-Beom Park, Sang-Won Lee","doi":"10.3349/ymj.2024.0170","DOIUrl":null,"url":null,"abstract":"<p><strong>Purpose: </strong>The adjusted Global Antiphospholipid Syndrome (APS) Score (aGAPSS) was developed for assessing the probability of thrombotic events in APS patients. This study investigated whether the aGAPSS at diagnosis was associated with poor outcomes during follow-up in patients with antineutrophil cytoplasmic antibody (ANCA)-associated vasculitis (AAV).</p><p><strong>Materials and methods: </strong>This study included 170 AAV patients who had the results of APS-related antibodies at diagnosis but were not diagnosed with APS. All-cause mortality, end-stage kidney disease (ESKD), cerebrovascular accident, and acute coronary syndrome were considered poor AAV outcomes. The aGAPSS comprises five items, with 5, 4, 4, 3, and 1 points assigned to anticardiolipin antibodies, anti-β2-glycoprotein 1 antibodies, lupus anticoagulants, hyperlipidaemia, and arterial hypertension at AAV diagnosis, respectively.</p><p><strong>Results: </strong>The median age of the 170 patients [93 microscopic polyangiitis (MPA), 44 granulomatosis with polyangiitis (GPA), and 33 eosinophilic GPA (EGPA)] was 63.0 years. The optimal cut-off of the aGAPSS at diagnosis for ESKD during follow-up was set as two using the receiver operating characteristic curve. AAV patients with an aGAPSS ≥2 at diagnosis exhibited a significantly reduced ESKD-free survival rate compared to those with an aGAPSS <2 at diagnosis (<i>p</i>=0.045). Additionally, MPA and GPA patients, excluding EGPA patients for whom the median aGAPSS at diagnosis was close to 0, also showed similar patterns to the results among the 170 patients with AAV (<i>p</i>=0.021).</p><p><strong>Conclusion: </strong>This study is the first to demonstrate that the aGAPSS at diagnosis was significantly associated with ESKD during follow-up in AAV patients without APS.</p>","PeriodicalId":23765,"journal":{"name":"Yonsei Medical Journal","volume":"66 6","pages":"337-345"},"PeriodicalIF":2.8000,"publicationDate":"2025-06-01","publicationTypes":"Journal Article","fieldsOfStudy":null,"isOpenAccess":false,"openAccessPdf":"https://www.ncbi.nlm.nih.gov/pmc/articles/PMC12116866/pdf/","citationCount":"0","resultStr":null,"platform":"Semanticscholar","paperid":null,"PeriodicalName":"Yonsei Medical Journal","FirstCategoryId":"3","ListUrlMain":"https://doi.org/10.3349/ymj.2024.0170","RegionNum":4,"RegionCategory":"医学","ArticlePicture":[],"TitleCN":null,"AbstractTextCN":null,"PMCID":null,"EPubDate":"","PubModel":"","JCR":"Q1","JCRName":"MEDICINE, GENERAL & INTERNAL","Score":null,"Total":0}
引用次数: 0

Abstract

Purpose: The adjusted Global Antiphospholipid Syndrome (APS) Score (aGAPSS) was developed for assessing the probability of thrombotic events in APS patients. This study investigated whether the aGAPSS at diagnosis was associated with poor outcomes during follow-up in patients with antineutrophil cytoplasmic antibody (ANCA)-associated vasculitis (AAV).

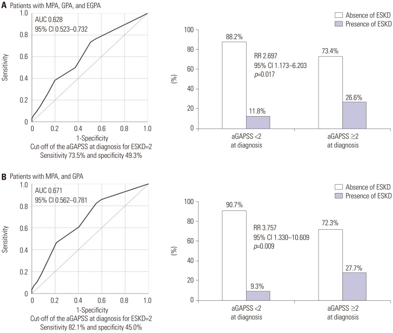
Materials and methods: This study included 170 AAV patients who had the results of APS-related antibodies at diagnosis but were not diagnosed with APS. All-cause mortality, end-stage kidney disease (ESKD), cerebrovascular accident, and acute coronary syndrome were considered poor AAV outcomes. The aGAPSS comprises five items, with 5, 4, 4, 3, and 1 points assigned to anticardiolipin antibodies, anti-β2-glycoprotein 1 antibodies, lupus anticoagulants, hyperlipidaemia, and arterial hypertension at AAV diagnosis, respectively.

Results: The median age of the 170 patients [93 microscopic polyangiitis (MPA), 44 granulomatosis with polyangiitis (GPA), and 33 eosinophilic GPA (EGPA)] was 63.0 years. The optimal cut-off of the aGAPSS at diagnosis for ESKD during follow-up was set as two using the receiver operating characteristic curve. AAV patients with an aGAPSS ≥2 at diagnosis exhibited a significantly reduced ESKD-free survival rate compared to those with an aGAPSS <2 at diagnosis (p=0.045). Additionally, MPA and GPA patients, excluding EGPA patients for whom the median aGAPSS at diagnosis was close to 0, also showed similar patterns to the results among the 170 patients with AAV (p=0.021).

Conclusion: This study is the first to demonstrate that the aGAPSS at diagnosis was significantly associated with ESKD during follow-up in AAV patients without APS.

Abstract Image

Abstract Image

Abstract Image

调整后的抗磷脂综合征评分与anca相关血管炎患者终末期肾病相关:一项单中心试点研究
目的:制定调整后的全球抗磷脂综合征(APS)评分(aGAPSS),用于评估APS患者血栓形成事件的可能性。本研究探讨了抗中性粒细胞细胞质抗体(ANCA)相关性血管炎(AAV)患者诊断时的aGAPSS是否与随访期间的不良预后相关。材料与方法:本研究纳入170例诊断时检测APS相关抗体但未诊断为APS的AAV患者。全因死亡率、终末期肾病(ESKD)、脑血管意外和急性冠状动脉综合征被认为是AAV的不良结局。aGAPSS包括5个项目,分别为抗心磷脂抗体、抗β2-糖蛋白1抗体、狼疮抗凝剂、高脂血症和动脉高血压在AAV诊断中的5分、4分、4分、3分和1分。结果:170例患者[镜下多血管炎(MPA) 93例,肉芽肿伴多血管炎(GPA) 44例,嗜酸性GPA (EGPA) 33例]的中位年龄为63.0岁。根据受试者工作特征曲线,将随访中诊断ESKD时aGAPSS的最佳截止值设为2。诊断时aGAPSS≥2的AAV患者与aGAPSS患者相比,无eskd生存率显著降低(p=0.045)。此外,MPA和GPA患者,排除诊断时aGAPSS中位数接近0的EGPA患者,也与170例AAV患者的结果相似(p=0.021)。结论:本研究首次证实诊断时的aGAPSS与无APS的AAV患者随访期间的ESKD显著相关。
本文章由计算机程序翻译,如有差异,请以英文原文为准。
求助全文
约1分钟内获得全文 求助全文
来源期刊
Yonsei Medical Journal
Yonsei Medical Journal 医学-医学:内科
CiteScore
4.50
自引率
0.00%
发文量
167
审稿时长
3 months
期刊介绍: The goal of the Yonsei Medical Journal (YMJ) is to publish high quality manuscripts dedicated to clinical or basic research. Any authors affiliated with an accredited biomedical institution may submit manuscripts of original articles, review articles, case reports, brief communications, and letters to the Editor.
×
引用
GB/T 7714-2015
复制
MLA
复制
APA
复制
导出至
BibTeX EndNote RefMan NoteFirst NoteExpress
×
提示
您的信息不完整,为了账户安全,请先补充。
现在去补充
×
提示
您因"违规操作"
具体请查看互助需知
我知道了
×
提示
确定
请完成安全验证×
copy
已复制链接
快去分享给好友吧!
我知道了
右上角分享
点击右上角分享
0
联系我们:info@booksci.cn Book学术提供免费学术资源搜索服务,方便国内外学者检索中英文文献。致力于提供最便捷和优质的服务体验。 Copyright © 2023 布克学术 All rights reserved.
京ICP备2023020795号-1
ghs 京公网安备 11010802042870号
Book学术文献互助
Book学术文献互助群
群 号:604180095
Book学术官方微信