A Pilot Study Examining If the Additional Use of a Continuous Glucose Monitoring Is Helpful for Glucose Control in Older Adults.

IF 2.8 4区 医学 Q1 MEDICINE, GENERAL & INTERNAL
Kwang Joon Kim, Yang Sun Park, Eunseo Sun, Euna Jo, Jiwon Shinn, Hyeon Woo Yim, Chang Oh Kim, Hun-Sung Kim
{"title":"A Pilot Study Examining If the Additional Use of a Continuous Glucose Monitoring Is Helpful for Glucose Control in Older Adults.","authors":"Kwang Joon Kim, Yang Sun Park, Eunseo Sun, Euna Jo, Jiwon Shinn, Hyeon Woo Yim, Chang Oh Kim, Hun-Sung Kim","doi":"10.3349/ymj.2024.0261","DOIUrl":null,"url":null,"abstract":"<p><strong>Purpose: </strong>To investigate whether using a continuous glucose monitoring (CGM) for the second time (2nd_CGM) would be effective after using it for the first time (1st_CGM), depending on age.</p><p><strong>Materials and methods: </strong>This study included patients aged ≥40 years who were diagnosed with type 2 diabetes and had used a CGM at least twice between 2017 and 2021. Participants were divided into two groups based on their age: those aged <60 years and those aged ≥60 years. We assessed the glycemic control status of the 1st_CGM and 2nd_CGM, along with the glycemic variability.</p><p><strong>Results: </strong>Overall, 15 patients were included in the study. The mean glucose level in users aged <60 years significantly decreased (<i>p</i><0.001) owing to the CGM use, while it did not increase in those aged ≥60 years. In users aged ≥60 years, the 1st_CGM group showed a significant decrease in blood glucose levels over time (<i>p</i><0.05), whereas the 2nd_CGM group only showed a non-significant decreasing trend. The time in range tended to increase in those aged <60 years but decreased in those aged ≥60 years. In those aged <60 years, the mean amplitude of glycemic excursions (<i>p</i><0.001), standard deviation (<i>p</i><0.05), and coefficient of variation (<i>p</i><0.001) significantly decreased. In those aged ≥60 years, these parameters exhibited a non-significant decreasing trend.</p><p><strong>Conclusion: </strong>Glycemic effect and variability improved as expected with 1st_CGM use. However, 2nd_CGM did not significantly improve glycemic effect or variability in users aged ≥60 years, contrary to expectations. To address this issue, further investigation is needed to understand why, compared to 1st_CGM, 2nd_CGM fails to achieve better glycemic control in individuals aged ≥60 years.</p>","PeriodicalId":23765,"journal":{"name":"Yonsei Medical Journal","volume":"66 6","pages":"346-353"},"PeriodicalIF":2.8000,"publicationDate":"2025-06-01","publicationTypes":"Journal Article","fieldsOfStudy":null,"isOpenAccess":false,"openAccessPdf":"https://www.ncbi.nlm.nih.gov/pmc/articles/PMC12116873/pdf/","citationCount":"0","resultStr":null,"platform":"Semanticscholar","paperid":null,"PeriodicalName":"Yonsei Medical Journal","FirstCategoryId":"3","ListUrlMain":"https://doi.org/10.3349/ymj.2024.0261","RegionNum":4,"RegionCategory":"医学","ArticlePicture":[],"TitleCN":null,"AbstractTextCN":null,"PMCID":null,"EPubDate":"","PubModel":"","JCR":"Q1","JCRName":"MEDICINE, GENERAL & INTERNAL","Score":null,"Total":0}
引用次数: 0

Abstract

Purpose: To investigate whether using a continuous glucose monitoring (CGM) for the second time (2nd_CGM) would be effective after using it for the first time (1st_CGM), depending on age.

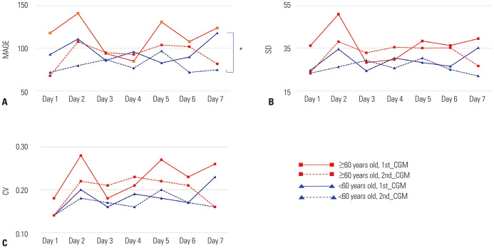
Materials and methods: This study included patients aged ≥40 years who were diagnosed with type 2 diabetes and had used a CGM at least twice between 2017 and 2021. Participants were divided into two groups based on their age: those aged <60 years and those aged ≥60 years. We assessed the glycemic control status of the 1st_CGM and 2nd_CGM, along with the glycemic variability.

Results: Overall, 15 patients were included in the study. The mean glucose level in users aged <60 years significantly decreased (p<0.001) owing to the CGM use, while it did not increase in those aged ≥60 years. In users aged ≥60 years, the 1st_CGM group showed a significant decrease in blood glucose levels over time (p<0.05), whereas the 2nd_CGM group only showed a non-significant decreasing trend. The time in range tended to increase in those aged <60 years but decreased in those aged ≥60 years. In those aged <60 years, the mean amplitude of glycemic excursions (p<0.001), standard deviation (p<0.05), and coefficient of variation (p<0.001) significantly decreased. In those aged ≥60 years, these parameters exhibited a non-significant decreasing trend.

Conclusion: Glycemic effect and variability improved as expected with 1st_CGM use. However, 2nd_CGM did not significantly improve glycemic effect or variability in users aged ≥60 years, contrary to expectations. To address this issue, further investigation is needed to understand why, compared to 1st_CGM, 2nd_CGM fails to achieve better glycemic control in individuals aged ≥60 years.

Abstract Image

Abstract Image

Abstract Image

一项试点研究,检查额外使用连续血糖监测是否有助于老年人血糖控制。
目的:探讨第一次连续血糖监测(CGM) (2nd_CGM)后第二次连续血糖监测(CGM) (1st_CGM)是否有效,取决于年龄。材料和方法:本研究纳入年龄≥40岁、诊断为2型糖尿病且在2017年至2021年期间至少使用过两次CGM的患者。参与者根据年龄分为两组:老年人结果:总共有15名患者纳入研究。结论:使用1st_CGM后,血糖效果和变异性如预期的那样得到改善。然而,与预期相反,2nd_CGM并没有显著改善≥60岁使用者的血糖效果或变异性。为了解决这个问题,需要进一步的研究来理解为什么与1st_CGM相比,2nd_CGM在≥60岁的个体中未能达到更好的血糖控制。
本文章由计算机程序翻译,如有差异,请以英文原文为准。
求助全文
约1分钟内获得全文 求助全文
来源期刊
Yonsei Medical Journal
Yonsei Medical Journal 医学-医学:内科
CiteScore
4.50
自引率
0.00%
发文量
167
审稿时长
3 months
期刊介绍: The goal of the Yonsei Medical Journal (YMJ) is to publish high quality manuscripts dedicated to clinical or basic research. Any authors affiliated with an accredited biomedical institution may submit manuscripts of original articles, review articles, case reports, brief communications, and letters to the Editor.
×
引用
GB/T 7714-2015
复制
MLA
复制
APA
复制
导出至
BibTeX EndNote RefMan NoteFirst NoteExpress
×
提示
您的信息不完整,为了账户安全,请先补充。
现在去补充
×
提示
您因"违规操作"
具体请查看互助需知
我知道了
×
提示
确定
请完成安全验证×
copy
已复制链接
快去分享给好友吧!
我知道了
右上角分享
点击右上角分享
0
联系我们:info@booksci.cn Book学术提供免费学术资源搜索服务,方便国内外学者检索中英文文献。致力于提供最便捷和优质的服务体验。 Copyright © 2023 布克学术 All rights reserved.
京ICP备2023020795号-1
ghs 京公网安备 11010802042870号
Book学术文献互助
Book学术文献互助群
群 号:604180095
Book学术官方微信