Excellent survival benefit achieved in patients with advanced-stage non-small cell lung cancer harboring the epidermal growth factor receptor-G719X mutation treated by afatinib: the real-world data from a multicenter study in Vietnam.

IF 3 3区 医学 Q2 RESPIRATORY SYSTEM
Van Luan Pham, Cam Phuong Pham, Thi Thai Hoa Nguyen, Tuan Khoi Nguyen, Minh Hai Nguyen, Thi Anh Thu Hoang, Tuan Anh Le, Dinh Thy Hao Vuong, Dac Nhan Tam Nguyen, Van Khiem Dang, Thi Oanh Nguyen, Hung Kien Do, Ha Thanh Vu, Thi Thuy Hang Nguyen, Van Thai Pham, Le Huy Trinh, Hoang Gia Nguyen, Cong Minh Truong, Tran Minh Chau Pham, Thi Bich Phuong Nguyen
{"title":"Excellent survival benefit achieved in patients with advanced-stage non-small cell lung cancer harboring the epidermal growth factor receptor-G719X mutation treated by afatinib: the real-world data from a multicenter study in Vietnam.","authors":"Van Luan Pham, Cam Phuong Pham, Thi Thai Hoa Nguyen, Tuan Khoi Nguyen, Minh Hai Nguyen, Thi Anh Thu Hoang, Tuan Anh Le, Dinh Thy Hao Vuong, Dac Nhan Tam Nguyen, Van Khiem Dang, Thi Oanh Nguyen, Hung Kien Do, Ha Thanh Vu, Thi Thuy Hang Nguyen, Van Thai Pham, Le Huy Trinh, Hoang Gia Nguyen, Cong Minh Truong, Tran Minh Chau Pham, Thi Bich Phuong Nguyen","doi":"10.1177/17534666251341747","DOIUrl":null,"url":null,"abstract":"<p><strong>Background: </strong>Afatinib is indicated for patients with advanced-stage non-small cell lung cancer (NSCLC) with epidermal growth factor receptor (EGFR) mutations, including uncommon mutations. However, the differences in survival benefits between patients with different types of EGFR mutations remain unclear.</p><p><strong>Objectives: </strong>This study aimed to compare the effectiveness of afatinib treatment in patients harboring the EGFR-G719X mutation with that in patients carrying other uncommon EGFR mutations.</p><p><strong>Design: </strong>This was a retrospective study.</p><p><strong>Methods: </strong>Ninety-two patients with locally advanced and metastatic NSCLC, of whom 49 patients with EGFR-G719X mutations that were both single and compound, and 43 patients harbored other uncommon EGFR mutations, who were treated with afatinib as first-line treatment. The patients were followed up and evaluated every 3 months or when there were symptoms of progressive disease. The endpoints were the objective response rate (ORR), time-to-treatment failure (TTF), and overall survival (OS).</p><p><strong>Results: </strong>The average ages of patients with the EGFR-G719X and uncommon EGFR mutations were 62.7 years and 63.1 years, respectively. There were no significant differences in sex or smoking history between the two groups. In total, 28.6% of patients with the G719X mutation and 23.3% of patients with other mutations had brain metastases. The ORR of patients with the G719X mutation was 79.6%, which was 10% higher than that of patients with other EGFR mutations. Patients harboring the EGFR-G719X mutation had median TTF and median OS periods of 19.3 months and 31.4 months, respectively, which were significantly higher than those of patients carrying other mutations at 11.2 months. Subgroup analysis showed that TTF and OS benefits were observed in female patients, patients without brain metastasis, and patients with good performance status who harbored the G719X mutation.</p><p><strong>Conclusion: </strong>Patients with the EGFR-G719X mutation achieve significantly better TTF and OS benefits than those with other uncommon EGFR mutations.</p>","PeriodicalId":22884,"journal":{"name":"Therapeutic Advances in Respiratory Disease","volume":"19 ","pages":"17534666251341747"},"PeriodicalIF":3.0000,"publicationDate":"2025-01-01","publicationTypes":"Journal Article","fieldsOfStudy":null,"isOpenAccess":false,"openAccessPdf":"https://www.ncbi.nlm.nih.gov/pmc/articles/PMC12104603/pdf/","citationCount":"0","resultStr":null,"platform":"Semanticscholar","paperid":null,"PeriodicalName":"Therapeutic Advances in Respiratory Disease","FirstCategoryId":"3","ListUrlMain":"https://doi.org/10.1177/17534666251341747","RegionNum":3,"RegionCategory":"医学","ArticlePicture":[],"TitleCN":null,"AbstractTextCN":null,"PMCID":null,"EPubDate":"2025/5/24 0:00:00","PubModel":"Epub","JCR":"Q2","JCRName":"RESPIRATORY SYSTEM","Score":null,"Total":0}
引用次数: 0

Abstract

Background: Afatinib is indicated for patients with advanced-stage non-small cell lung cancer (NSCLC) with epidermal growth factor receptor (EGFR) mutations, including uncommon mutations. However, the differences in survival benefits between patients with different types of EGFR mutations remain unclear.

Objectives: This study aimed to compare the effectiveness of afatinib treatment in patients harboring the EGFR-G719X mutation with that in patients carrying other uncommon EGFR mutations.

Design: This was a retrospective study.

Methods: Ninety-two patients with locally advanced and metastatic NSCLC, of whom 49 patients with EGFR-G719X mutations that were both single and compound, and 43 patients harbored other uncommon EGFR mutations, who were treated with afatinib as first-line treatment. The patients were followed up and evaluated every 3 months or when there were symptoms of progressive disease. The endpoints were the objective response rate (ORR), time-to-treatment failure (TTF), and overall survival (OS).

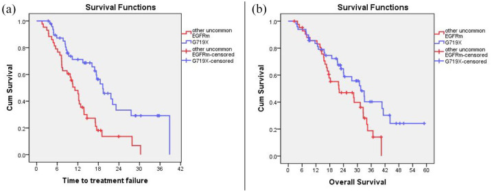
Results: The average ages of patients with the EGFR-G719X and uncommon EGFR mutations were 62.7 years and 63.1 years, respectively. There were no significant differences in sex or smoking history between the two groups. In total, 28.6% of patients with the G719X mutation and 23.3% of patients with other mutations had brain metastases. The ORR of patients with the G719X mutation was 79.6%, which was 10% higher than that of patients with other EGFR mutations. Patients harboring the EGFR-G719X mutation had median TTF and median OS periods of 19.3 months and 31.4 months, respectively, which were significantly higher than those of patients carrying other mutations at 11.2 months. Subgroup analysis showed that TTF and OS benefits were observed in female patients, patients without brain metastasis, and patients with good performance status who harbored the G719X mutation.

Conclusion: Patients with the EGFR-G719X mutation achieve significantly better TTF and OS benefits than those with other uncommon EGFR mutations.

Abstract Image

Abstract Image

Abstract Image

阿法替尼治疗表皮生长因子受体- g719x突变的晚期非小细胞肺癌患者获得了极好的生存期:来自越南多中心研究的真实数据
背景:阿法替尼适用于伴有表皮生长因子受体(EGFR)突变的晚期非小细胞肺癌(NSCLC)患者,包括罕见突变。然而,不同类型EGFR突变患者的生存获益差异尚不清楚。目的:本研究旨在比较阿法替尼治疗EGFR- g719x突变患者与其他罕见EGFR突变患者的疗效。设计:这是一项回顾性研究。方法:92例局部晚期和转移性NSCLC患者,其中49例EGFR- g719x单一和复合突变,43例其他罕见EGFR突变,采用阿法替尼作为一线治疗。每3个月或出现疾病进展症状时对患者进行随访和评估。终点是客观缓解率(ORR)、治疗失败时间(TTF)和总生存期(OS)。结果:EGFR- g719x和罕见EGFR突变患者的平均年龄分别为62.7岁和63.1岁。两组在性别和吸烟史上没有显著差异。总的来说,G719X突变患者中有28.6%发生脑转移,其他突变患者中有23.3%发生脑转移。G719X突变患者的ORR为79.6%,比其他EGFR突变患者的ORR高10%。携带EGFR-G719X突变的患者的中位TTF和中位OS期分别为19.3个月和31.4个月,显著高于携带其他突变的患者的11.2个月。亚组分析显示,携带G719X突变的女性患者、无脑转移患者和运动状态良好的患者均可观察到TTF和OS的益处。结论:EGFR- g719x突变患者的TTF和OS获益明显优于其他罕见的EGFR突变患者。
本文章由计算机程序翻译,如有差异,请以英文原文为准。
求助全文
约1分钟内获得全文 求助全文
来源期刊
CiteScore
6.90
自引率
0.00%
发文量
57
审稿时长
15 weeks
期刊介绍: Therapeutic Advances in Respiratory Disease delivers the highest quality peer-reviewed articles, reviews, and scholarly comment on pioneering efforts and innovative studies across all areas of respiratory disease.
×
引用
GB/T 7714-2015
复制
MLA
复制
APA
复制
导出至
BibTeX EndNote RefMan NoteFirst NoteExpress
×
提示
您的信息不完整,为了账户安全,请先补充。
现在去补充
×
提示
您因"违规操作"
具体请查看互助需知
我知道了
×
提示
确定
请完成安全验证×
copy
已复制链接
快去分享给好友吧!
我知道了
右上角分享
点击右上角分享
0
联系我们:info@booksci.cn Book学术提供免费学术资源搜索服务,方便国内外学者检索中英文文献。致力于提供最便捷和优质的服务体验。 Copyright © 2023 布克学术 All rights reserved.
京ICP备2023020795号-1
ghs 京公网安备 11010802042870号
Book学术文献互助
Book学术文献互助群
群 号:604180095
Book学术官方微信