Comparison of the Real-world Performance of Henson 9000 Perimeter and Humphrey Field Analyzer in Glaucoma Patients.

Q3 Medicine
Journal of Current Glaucoma Practice Pub Date : 2025-01-01 Epub Date: 2025-03-24 DOI:10.5005/jp-journals-10078-1470
Muriel Poli
{"title":"Comparison of the Real-world Performance of Henson 9000 Perimeter and Humphrey Field Analyzer in Glaucoma Patients.","authors":"Muriel Poli","doi":"10.5005/jp-journals-10078-1470","DOIUrl":null,"url":null,"abstract":"<p><strong>Purpose: </strong>To compare real-world outcomes of Henson 9000 perimeter and Humphrey field analyzer (HFA) in glaucoma patients.</p><p><strong>Materials and methods: </strong>This retrospective study recruited patients diagnosed with glaucoma who underwent Swedish interactive thresholding algorithm (SITA) Standard perimetry (HFA, Carl Zeiss Meditec), followed by Zippy Adaptive Threshold Algorithm (ZATA) Standard perimetry (Henson 9000, Topcon Healthcare). Test durations, global indices, and reliability indices were compared. A subgroup analysis was done for patients classed as early [mean deviation (MD) ≥ -6 dB] and moderate-severe (MD < -6 dB) glaucoma. Fatigue-adjusted subgroup analysis was done, including right eyes only.</p><p><strong>Results: </strong>76 eyes of 44 patients were included. Henson 9000 results were within normal reliability limits, although they showed higher false positives (FP) (by 6.79%; <i>p</i> < 0.001), false negatives (FN) (by 23.17%; <i>p</i> < 0.001), and fixation losses (FL) (by 9.5%; <i>p</i> = 0.018). Overall, Henson tests showed a slight increase in MD (+1.01 dB, <i>p</i> = 0.004), with no significant differences in duration (<i>p</i> = 0.083) or pattern standard deviation (PSD) (<i>p</i> = 0.742). A strong positive correlation between devices was observed for MD (<i>r</i> = 0.903; <i>p</i> < 0.001) and PSD (<i>r</i> = 0.850; <i>p</i> < 0.001). In early glaucoma (<i>n</i> = 57), mean Henson test duration was shorter by 1.06 minutes (<i>p</i> < 0.001) with no significant difference in MD results (<i>p</i> = 0.083). In all right eyes (<i>n</i> = 38), there were no statistically significant differences in mean duration, MD, and PSD between both devices (<i>p</i> = 0.369, 0.168, 0.537, respectively).</p><p><strong>Conclusion: </strong>Outcomes with the Henson 9000 were reliable, with measured global indices strongly correlated with HFA results. In early glaucoma, outcomes were comparable to HFA with shorter tests, suggesting the potential of the Henson 9000 as a screening tool for early glaucoma.</p><p><strong>How to cite this article: </strong>Poli M. Comparison of the Real-world Performance of Henson 9000 Perimeter and Humphrey Field Analyzer in Glaucoma Patients. J Curr Glaucoma Pract 2025;19(1):55-63.</p>","PeriodicalId":15419,"journal":{"name":"Journal of Current Glaucoma Practice","volume":"19 1","pages":"55-63"},"PeriodicalIF":0.0000,"publicationDate":"2025-01-01","publicationTypes":"Journal Article","fieldsOfStudy":null,"isOpenAccess":false,"openAccessPdf":"https://www.ncbi.nlm.nih.gov/pmc/articles/PMC12096863/pdf/","citationCount":"0","resultStr":null,"platform":"Semanticscholar","paperid":null,"PeriodicalName":"Journal of Current Glaucoma Practice","FirstCategoryId":"1085","ListUrlMain":"https://doi.org/10.5005/jp-journals-10078-1470","RegionNum":0,"RegionCategory":null,"ArticlePicture":[],"TitleCN":null,"AbstractTextCN":null,"PMCID":null,"EPubDate":"2025/3/24 0:00:00","PubModel":"Epub","JCR":"Q3","JCRName":"Medicine","Score":null,"Total":0}
引用次数: 0

Abstract

Purpose: To compare real-world outcomes of Henson 9000 perimeter and Humphrey field analyzer (HFA) in glaucoma patients.

Materials and methods: This retrospective study recruited patients diagnosed with glaucoma who underwent Swedish interactive thresholding algorithm (SITA) Standard perimetry (HFA, Carl Zeiss Meditec), followed by Zippy Adaptive Threshold Algorithm (ZATA) Standard perimetry (Henson 9000, Topcon Healthcare). Test durations, global indices, and reliability indices were compared. A subgroup analysis was done for patients classed as early [mean deviation (MD) ≥ -6 dB] and moderate-severe (MD < -6 dB) glaucoma. Fatigue-adjusted subgroup analysis was done, including right eyes only.

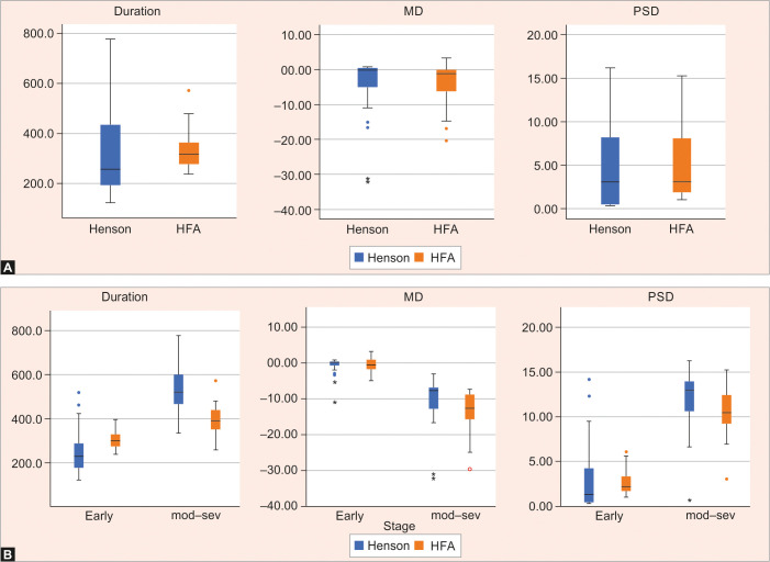
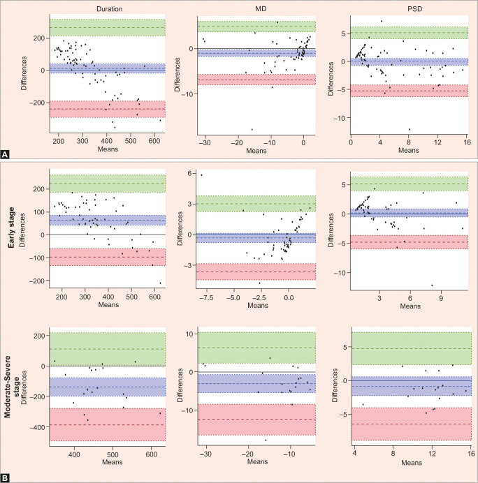
Results: 76 eyes of 44 patients were included. Henson 9000 results were within normal reliability limits, although they showed higher false positives (FP) (by 6.79%; p < 0.001), false negatives (FN) (by 23.17%; p < 0.001), and fixation losses (FL) (by 9.5%; p = 0.018). Overall, Henson tests showed a slight increase in MD (+1.01 dB, p = 0.004), with no significant differences in duration (p = 0.083) or pattern standard deviation (PSD) (p = 0.742). A strong positive correlation between devices was observed for MD (r = 0.903; p < 0.001) and PSD (r = 0.850; p < 0.001). In early glaucoma (n = 57), mean Henson test duration was shorter by 1.06 minutes (p < 0.001) with no significant difference in MD results (p = 0.083). In all right eyes (n = 38), there were no statistically significant differences in mean duration, MD, and PSD between both devices (p = 0.369, 0.168, 0.537, respectively).

Conclusion: Outcomes with the Henson 9000 were reliable, with measured global indices strongly correlated with HFA results. In early glaucoma, outcomes were comparable to HFA with shorter tests, suggesting the potential of the Henson 9000 as a screening tool for early glaucoma.

How to cite this article: Poli M. Comparison of the Real-world Performance of Henson 9000 Perimeter and Humphrey Field Analyzer in Glaucoma Patients. J Curr Glaucoma Pract 2025;19(1):55-63.

Abstract Image

Abstract Image

Abstract Image

亨森9000周长分析仪与汉弗莱场分析仪在青光眼患者中的实际性能比较。
目的:比较Henson 9000周长和Humphrey视野分析仪(HFA)在青光眼患者中的实际疗效。材料和方法:本回顾性研究招募了诊断为青光眼的患者,他们接受了瑞典交互式阈值算法(SITA)标准视界检查(HFA,卡尔蔡司Meditec),然后进行了Zippy自适应阈值算法(ZATA)标准视界检查(Henson 9000, Topcon Healthcare)。比较测试持续时间、全局指标和可靠性指标。对早期[平均偏差(MD)≥-6 dB]和中重度(MD < -6 dB)青光眼患者进行亚组分析。进行疲劳调整亚组分析,仅包括右眼。结果:纳入44例患者76只眼。Henson 9000的结果在正常的信度范围内,尽管它们显示出较高的假阳性(FP) (6.79%;p < 0.001),假阴性(FN) (23.17%;p < 0.001)和固定损失(FL) (9.5%;P = 0.018)。总体而言,Henson试验显示MD略有增加(+1.01 dB, p = 0.004),持续时间(p = 0.083)或模式标准偏差(PSD) (p = 0.742)无显著差异。器械与MD呈正相关(r = 0.903;p < 0.001)和PSD (r = 0.850;P < 0.001)。在早期青光眼(n = 57)中,平均Henson测试时间缩短了1.06分钟(p < 0.001),而MD结果无显著差异(p = 0.083)。在所有右眼(n = 38)中,两种装置的平均持续时间、MD和PSD差异均无统计学意义(p分别为0.369、0.168、0.537)。结论:Henson 9000的结果是可靠的,测量的整体指数与HFA结果密切相关。在早期青光眼中,结果与HFA相当,但测试时间较短,这表明Henson 9000作为早期青光眼筛查工具的潜力。在青光眼患者中,Henson 9000周长分析仪与Humphrey Field分析仪的实际性能比较。中华青光眼杂志;2009;19(1):55-63。
本文章由计算机程序翻译,如有差异,请以英文原文为准。
求助全文
约1分钟内获得全文 求助全文
来源期刊
Journal of Current Glaucoma Practice
Journal of Current Glaucoma Practice Medicine-Ophthalmology
CiteScore
1.00
自引率
0.00%
发文量
38
×
引用
GB/T 7714-2015
复制
MLA
复制
APA
复制
导出至
BibTeX EndNote RefMan NoteFirst NoteExpress
×
提示
您的信息不完整,为了账户安全,请先补充。
现在去补充
×
提示
您因"违规操作"
具体请查看互助需知
我知道了
×
提示
确定
请完成安全验证×
copy
已复制链接
快去分享给好友吧!
我知道了
右上角分享
点击右上角分享
0
联系我们:info@booksci.cn Book学术提供免费学术资源搜索服务,方便国内外学者检索中英文文献。致力于提供最便捷和优质的服务体验。 Copyright © 2023 布克学术 All rights reserved.
京ICP备2023020795号-1
ghs 京公网安备 11010802042870号
Book学术文献互助
Book学术文献互助群
群 号:604180095
Book学术官方微信