Worsening asthma at school is associated with poor psychosocial well-being.

IF 1.4 Q3 RESPIRATORY SYSTEM
European Clinical Respiratory Journal Pub Date : 2025-05-22 eCollection Date: 2025-01-01 DOI:10.1080/20018525.2025.2509395
Eerika Finell, Asko Tolvanen, Caroline Stridsman, Helena Backman, Linnéa Hedman
{"title":"Worsening asthma at school is associated with poor psychosocial well-being.","authors":"Eerika Finell, Asko Tolvanen, Caroline Stridsman, Helena Backman, Linnéa Hedman","doi":"10.1080/20018525.2025.2509395","DOIUrl":null,"url":null,"abstract":"<p><strong>Objective: </strong>To study whether worsening asthma at school was related to generic health-related quality of life (HRQoL) and asthma-related impact and worry among 15-year-olds with current asthma in Sweden. In addition, we studied the association between worsening asthma at school at age 15 and the change in the degree to which asthma interfered with daily activities between ages 15 and 19 years.</p><p><strong>Methods: </strong>Within the Obstructive Lung Disease in Northern Sweden (OLIN) studies, a cohort of schoolchildren has been followed from age 8 years until 19 years of age. In the current study, the sample included 266 adolescents with physician-diagnosed asthma, and either wheeze or use of asthma medication during the last 12 months at age 15 years.</p><p><strong>Results: </strong>At age 15, HRQoL scores were lower among those who reported worsening asthma at school (standardised beta (β) =  -0.18, <i>p</i> = 0.003), they had more asthma-related worries (β =  -0.33, <i>p</i> < 0.001) and asthma impacted their life during activities more (β =  -0.46, <i>p</i> < 0.001) than those whose asthma did not worsen. Furthermore, the more adolescents reported that asthma worsened at school at age 15, the more it was associated with the increase in the degree to which asthma interfered with their activities between 15 and 19 years (β = 0.14, <i>p</i> = 0.038).</p><p><strong>Conclusions: </strong>Worsening asthma at school was associated with lower generic health-related quality of life, higher asthma-related worry and impact on daily activities among teenagers with asthma.</p>","PeriodicalId":11872,"journal":{"name":"European Clinical Respiratory Journal","volume":"12 1","pages":"2509395"},"PeriodicalIF":1.4000,"publicationDate":"2025-05-22","publicationTypes":"Journal Article","fieldsOfStudy":null,"isOpenAccess":false,"openAccessPdf":"https://www.ncbi.nlm.nih.gov/pmc/articles/PMC12100951/pdf/","citationCount":"0","resultStr":null,"platform":"Semanticscholar","paperid":null,"PeriodicalName":"European Clinical Respiratory Journal","FirstCategoryId":"1085","ListUrlMain":"https://doi.org/10.1080/20018525.2025.2509395","RegionNum":0,"RegionCategory":null,"ArticlePicture":[],"TitleCN":null,"AbstractTextCN":null,"PMCID":null,"EPubDate":"2025/1/1 0:00:00","PubModel":"eCollection","JCR":"Q3","JCRName":"RESPIRATORY SYSTEM","Score":null,"Total":0}
引用次数: 0

Abstract

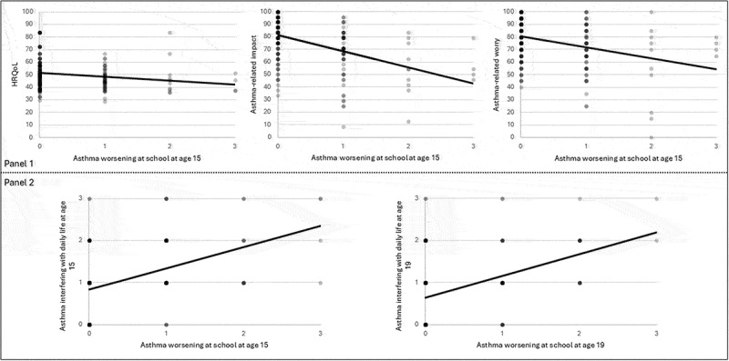
Objective: To study whether worsening asthma at school was related to generic health-related quality of life (HRQoL) and asthma-related impact and worry among 15-year-olds with current asthma in Sweden. In addition, we studied the association between worsening asthma at school at age 15 and the change in the degree to which asthma interfered with daily activities between ages 15 and 19 years.

Methods: Within the Obstructive Lung Disease in Northern Sweden (OLIN) studies, a cohort of schoolchildren has been followed from age 8 years until 19 years of age. In the current study, the sample included 266 adolescents with physician-diagnosed asthma, and either wheeze or use of asthma medication during the last 12 months at age 15 years.

Results: At age 15, HRQoL scores were lower among those who reported worsening asthma at school (standardised beta (β) =  -0.18, p = 0.003), they had more asthma-related worries (β =  -0.33, p < 0.001) and asthma impacted their life during activities more (β =  -0.46, p < 0.001) than those whose asthma did not worsen. Furthermore, the more adolescents reported that asthma worsened at school at age 15, the more it was associated with the increase in the degree to which asthma interfered with their activities between 15 and 19 years (β = 0.14, p = 0.038).

Conclusions: Worsening asthma at school was associated with lower generic health-related quality of life, higher asthma-related worry and impact on daily activities among teenagers with asthma.

Abstract Image

Abstract Image

Abstract Image

在学校哮喘病的恶化与不良的社会心理健康有关。
目的:研究瑞典15岁哮喘患者在校期间哮喘恶化是否与一般健康相关生活质量(HRQoL)以及哮喘相关影响和担忧相关。此外,我们研究了15岁时学校哮喘恶化与15至19岁期间哮喘干扰日常活动程度的变化之间的关系。方法:在瑞典北部的阻塞性肺病(OLIN)研究中,一组学童从8岁到19岁被跟踪。在目前的研究中,样本包括266名被医生诊断为哮喘的青少年,他们在过去的12个月里患有喘息或使用哮喘药物,年龄在15岁。结果:15岁时,报告学校哮喘恶化的儿童HRQoL得分较低(标准化β (β) = -0.18, p = 0.003),他们有更多的哮喘相关担忧(β = -0.33, p = 0.038)。结论:学校哮喘恶化与哮喘青少年总体健康相关生活质量降低、哮喘相关担忧增加以及对日常活动的影响相关。
本文章由计算机程序翻译,如有差异,请以英文原文为准。
求助全文
约1分钟内获得全文 求助全文
来源期刊
CiteScore
3.80
自引率
0.00%
发文量
15
审稿时长
16 weeks
×
引用
GB/T 7714-2015
复制
MLA
复制
APA
复制
导出至
BibTeX EndNote RefMan NoteFirst NoteExpress
×
提示
您的信息不完整,为了账户安全,请先补充。
现在去补充
×
提示
您因"违规操作"
具体请查看互助需知
我知道了
×
提示
确定
请完成安全验证×
copy
已复制链接
快去分享给好友吧!
我知道了
右上角分享
点击右上角分享
0
联系我们:info@booksci.cn Book学术提供免费学术资源搜索服务,方便国内外学者检索中英文文献。致力于提供最便捷和优质的服务体验。 Copyright © 2023 布克学术 All rights reserved.
京ICP备2023020795号-1
ghs 京公网安备 11010802042870号
Book学术文献互助
Book学术文献互助群
群 号:604180095
Book学术官方微信