Population Pharmacokinetic Analysis of an Octreotide Depot (CAM2029) in the Treatment of Acromegaly.

IF 4 2区 医学 Q1 PHARMACOLOGY & PHARMACY
Clinical Pharmacokinetics Pub Date : 2025-07-01 Epub Date: 2025-05-26 DOI:10.1007/s40262-025-01522-3
Anaïs Glatard, Sofia Friberg-Hietala, Lina Keutzer, Anna Hansson, Markus Johnsson, Fredrik Tiberg
{"title":"Population Pharmacokinetic Analysis of an Octreotide Depot (CAM2029) in the Treatment of Acromegaly.","authors":"Anaïs Glatard, Sofia Friberg-Hietala, Lina Keutzer, Anna Hansson, Markus Johnsson, Fredrik Tiberg","doi":"10.1007/s40262-025-01522-3","DOIUrl":null,"url":null,"abstract":"<p><strong>Introduction: </strong>Octreotide is a first-generation somatostatin receptor ligand (SRL) approved for acromegaly treatment. CAM2029 is a sustained-release subcutaneous octreotide injection designed to improve treatment convenience for patients and bioavailability over alternative SRL treatments. The aim of this analysis was to characterise the pharmacokinetic (PK) properties of CAM2029.</p><p><strong>Methods: </strong>Using nonlinear mixed-effects modelling, 4098 observations from three trials, including 216 healthy participants and participants with acromegaly, were used to develop a population PK model of octreotide after administration of CAM2029 or immediate-release (IR) octreotide. Simulated octreotide plasma concentration profiles after administration of clinically justified dosing regimens of CAM2029 and octreotide IR were compared.</p><p><strong>Results: </strong>Octreotide disposition was best described by a two-compartmental distribution with a first-order elimination model. The rapid initial and slow subsequent drug release of CAM2029 was best characterised by two simultaneous first-order absorption processes, whereas octreotide IR absorption was described by a single first-order pathway. The model was qualified to describe octreotide concentrations and supported the robustness of dosing CAM2029 every 4 weeks (Q4W) ± 1 week. Simulations indicated that the average concentration during a dosing interval at steady state for 20 mg CAM2029 Q4W was similar to 0.25 mg octreotide IR every 8 h, but with reduced daily fluctuation.</p><p><strong>Conclusions: </strong>This population PK model supports the use of CAM2029 as a potential alternative treatment option to both octreotide IR and long-acting repeatable (LAR) for acromegaly treatment. The octreotide bioavailability for CAM2029 was similar to octreotide IR and approximately 5 to 6 fold higher than octreotide LAR, with a more rapid onset.</p><p><strong>Trial registrations: </strong>2020-002643-35 (EudraCT), NCT04076462 (date of registration: 3rd September 2019), NCT04125836 (date of registration: 14th October 2019).</p>","PeriodicalId":10405,"journal":{"name":"Clinical Pharmacokinetics","volume":" ","pages":"1079-1092"},"PeriodicalIF":4.0000,"publicationDate":"2025-07-01","publicationTypes":"Journal Article","fieldsOfStudy":null,"isOpenAccess":false,"openAccessPdf":"https://www.ncbi.nlm.nih.gov/pmc/articles/PMC12185581/pdf/","citationCount":"0","resultStr":null,"platform":"Semanticscholar","paperid":null,"PeriodicalName":"Clinical Pharmacokinetics","FirstCategoryId":"3","ListUrlMain":"https://doi.org/10.1007/s40262-025-01522-3","RegionNum":2,"RegionCategory":"医学","ArticlePicture":[],"TitleCN":null,"AbstractTextCN":null,"PMCID":null,"EPubDate":"2025/5/26 0:00:00","PubModel":"Epub","JCR":"Q1","JCRName":"PHARMACOLOGY & PHARMACY","Score":null,"Total":0}
引用次数: 0

Abstract

Introduction: Octreotide is a first-generation somatostatin receptor ligand (SRL) approved for acromegaly treatment. CAM2029 is a sustained-release subcutaneous octreotide injection designed to improve treatment convenience for patients and bioavailability over alternative SRL treatments. The aim of this analysis was to characterise the pharmacokinetic (PK) properties of CAM2029.

Methods: Using nonlinear mixed-effects modelling, 4098 observations from three trials, including 216 healthy participants and participants with acromegaly, were used to develop a population PK model of octreotide after administration of CAM2029 or immediate-release (IR) octreotide. Simulated octreotide plasma concentration profiles after administration of clinically justified dosing regimens of CAM2029 and octreotide IR were compared.

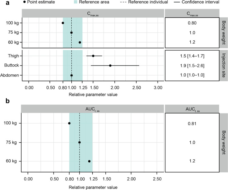
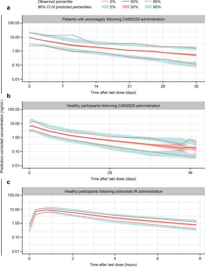
Results: Octreotide disposition was best described by a two-compartmental distribution with a first-order elimination model. The rapid initial and slow subsequent drug release of CAM2029 was best characterised by two simultaneous first-order absorption processes, whereas octreotide IR absorption was described by a single first-order pathway. The model was qualified to describe octreotide concentrations and supported the robustness of dosing CAM2029 every 4 weeks (Q4W) ± 1 week. Simulations indicated that the average concentration during a dosing interval at steady state for 20 mg CAM2029 Q4W was similar to 0.25 mg octreotide IR every 8 h, but with reduced daily fluctuation.

Conclusions: This population PK model supports the use of CAM2029 as a potential alternative treatment option to both octreotide IR and long-acting repeatable (LAR) for acromegaly treatment. The octreotide bioavailability for CAM2029 was similar to octreotide IR and approximately 5 to 6 fold higher than octreotide LAR, with a more rapid onset.

Trial registrations: 2020-002643-35 (EudraCT), NCT04076462 (date of registration: 3rd September 2019), NCT04125836 (date of registration: 14th October 2019).

Abstract Image

Abstract Image

Abstract Image

奥曲肽库(CAM2029)治疗肢端肥大症的群体药代动力学分析。
奥曲肽是被批准用于肢端肥大症治疗的第一代生长抑素受体配体(SRL)。CAM2029是一种缓释皮下注射奥曲肽,旨在改善患者的治疗便利性和替代SRL治疗的生物利用度。本分析的目的是表征CAM2029的药代动力学(PK)特性。方法:采用非线性混合效应模型,利用来自3个试验的4098个观察值,包括216名健康受试者和肢端肥大症患者,建立CAM2029或速释(IR)奥曲肽给药后奥曲肽的群体PK模型。比较临床合理的CAM2029给药方案和奥曲肽IR给药后的模拟奥曲肽血浆浓度谱。结果:奥曲肽的配置最好用一阶消除模型的双室分布来描述。CAM2029最初的快速释放和随后的缓慢释放的最佳特征是两个同时发生的一级吸收过程,而奥曲肽的红外吸收是通过一个单一的一级途径描述的。该模型能够描述奥曲肽浓度,并支持CAM2029每4周(Q4W)±1周给药的稳健性。模拟结果表明,CAM2029 Q4W 20 mg稳态给药间隔内的平均浓度与每8 h 0.25 mg奥曲肽IR相似,但日波动较小。结论:该人群PK模型支持使用CAM2029作为奥曲肽IR和长效可重复(LAR)治疗肢端肥大症的潜在替代治疗方案。CAM2029的奥曲肽生物利用度与奥曲肽IR相似,比奥曲肽LAR高约5 ~ 6倍,且起效更快。试验注册:2020-002643-35 (eudraft), NCT04076462(注册日期:2019年9月3日),NCT04125836(注册日期:2019年10月14日)。
本文章由计算机程序翻译,如有差异,请以英文原文为准。
求助全文
约1分钟内获得全文 求助全文
来源期刊
CiteScore
8.80
自引率
4.40%
发文量
86
审稿时长
6-12 weeks
期刊介绍: Clinical Pharmacokinetics promotes the continuing development of clinical pharmacokinetics and pharmacodynamics for the improvement of drug therapy, and for furthering postgraduate education in clinical pharmacology and therapeutics. Pharmacokinetics, the study of drug disposition in the body, is an integral part of drug development and rational use. Knowledge and application of pharmacokinetic principles leads to accelerated drug development, cost effective drug use and a reduced frequency of adverse effects and drug interactions.
×
引用
GB/T 7714-2015
复制
MLA
复制
APA
复制
导出至
BibTeX EndNote RefMan NoteFirst NoteExpress
×
提示
您的信息不完整,为了账户安全,请先补充。
现在去补充
×
提示
您因"违规操作"
具体请查看互助需知
我知道了
×
提示
确定
请完成安全验证×
copy
已复制链接
快去分享给好友吧!
我知道了
右上角分享
点击右上角分享
0
联系我们:info@booksci.cn Book学术提供免费学术资源搜索服务,方便国内外学者检索中英文文献。致力于提供最便捷和优质的服务体验。 Copyright © 2023 布克学术 All rights reserved.
京ICP备2023020795号-1
ghs 京公网安备 11010802042870号
Book学术文献互助
Book学术文献互助群
群 号:604180095
Book学术官方微信