Air Pollution Increases Healthcare Utilization Below Safe Thresholds in Individuals With Asthma.

IF 4.3 2区 医学 Q2 ALLERGY
Hyun Lee, Sang Hyuk Kim, Sun-Kyung Lee, Ji-Yong Moon, Kyung Hoon Min, Ho Joo Yoon, Sang-Heon Kim
{"title":"Air Pollution Increases Healthcare Utilization Below Safe Thresholds in Individuals With Asthma.","authors":"Hyun Lee, Sang Hyuk Kim, Sun-Kyung Lee, Ji-Yong Moon, Kyung Hoon Min, Ho Joo Yoon, Sang-Heon Kim","doi":"10.4168/aair.2025.17.3.349","DOIUrl":null,"url":null,"abstract":"<p><strong>Purpose: </strong>Safety thresholds for air quality levels have been proposed to protect people from the harmful effects of air pollutants. However, the impacts of air pollutants on asthma, particularly at levels below these safe thresholds, remain unclear.</p><p><strong>Methods: </strong>We analyzed the associations between air pollutants (particulate matter of 10 μm or less in diameter [PM₁₀], particulate matter of 2.5 μm or less in diameter, sulfur dioxide [SO₂], carbon monoxide, ozone [O₃], and nitrogen dioxide) and healthcare utilization in 23,498 individuals with asthma in Seoul during the 2015-2017 season. The relative risk for healthcare utilization was assessed based on quantitative comparison (upper quartile vs. lower quartile) and non-linear concentration-response curves. Safety thresholds for air quality levels were determined according to the World Health Organization and Korean standards.</p><p><strong>Results: </strong>In quantitative analysis, healthcare utilization risk decreased for PM₁₀ and SO₂ but increased for O₃ on lag day 0, with no significant associations observed for other air pollutants. Non-linear analyses revealed significant concentration-response associations for all air pollutants, indicating increased risks of healthcare utilization on lag day 0. Notably, these increased risks occurred below proposed safety thresholds, with a steeper rise observed for asthma-related healthcare utilization within these ranges.</p><p><strong>Conclusions: </strong>Exposure to 6 air pollutants was associated with an increased risk of healthcare utilization among individuals with asthma, with no safe exposure levels identified. The impact was more pronounced below current safety thresholds.</p>","PeriodicalId":7547,"journal":{"name":"Allergy, Asthma & Immunology Research","volume":"17 3","pages":"349-358"},"PeriodicalIF":4.3000,"publicationDate":"2025-05-01","publicationTypes":"Journal Article","fieldsOfStudy":null,"isOpenAccess":false,"openAccessPdf":"https://www.ncbi.nlm.nih.gov/pmc/articles/PMC12117489/pdf/","citationCount":"0","resultStr":null,"platform":"Semanticscholar","paperid":null,"PeriodicalName":"Allergy, Asthma & Immunology Research","FirstCategoryId":"3","ListUrlMain":"https://doi.org/10.4168/aair.2025.17.3.349","RegionNum":2,"RegionCategory":"医学","ArticlePicture":[],"TitleCN":null,"AbstractTextCN":null,"PMCID":null,"EPubDate":"","PubModel":"","JCR":"Q2","JCRName":"ALLERGY","Score":null,"Total":0}
引用次数: 0

Abstract

Purpose: Safety thresholds for air quality levels have been proposed to protect people from the harmful effects of air pollutants. However, the impacts of air pollutants on asthma, particularly at levels below these safe thresholds, remain unclear.

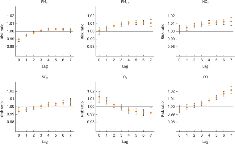
Methods: We analyzed the associations between air pollutants (particulate matter of 10 μm or less in diameter [PM₁₀], particulate matter of 2.5 μm or less in diameter, sulfur dioxide [SO₂], carbon monoxide, ozone [O₃], and nitrogen dioxide) and healthcare utilization in 23,498 individuals with asthma in Seoul during the 2015-2017 season. The relative risk for healthcare utilization was assessed based on quantitative comparison (upper quartile vs. lower quartile) and non-linear concentration-response curves. Safety thresholds for air quality levels were determined according to the World Health Organization and Korean standards.

Results: In quantitative analysis, healthcare utilization risk decreased for PM₁₀ and SO₂ but increased for O₃ on lag day 0, with no significant associations observed for other air pollutants. Non-linear analyses revealed significant concentration-response associations for all air pollutants, indicating increased risks of healthcare utilization on lag day 0. Notably, these increased risks occurred below proposed safety thresholds, with a steeper rise observed for asthma-related healthcare utilization within these ranges.

Conclusions: Exposure to 6 air pollutants was associated with an increased risk of healthcare utilization among individuals with asthma, with no safe exposure levels identified. The impact was more pronounced below current safety thresholds.

Abstract Image

Abstract Image

Abstract Image

空气污染使哮喘患者的医疗保健利用率低于安全阈值。
目的:提出了空气质量水平的安全阈值,以保护人们免受空气污染物的有害影响。然而,空气污染物对哮喘的影响,特别是低于这些安全阈值的空气污染物对哮喘的影响仍不清楚。方法:我们分析了2015-2017年期间首尔23,498名哮喘患者的空气污染物(直径10 μm或以下的颗粒物[PM₁₀],直径2.5 μm或以下的颗粒物,二氧化硫[SO₂],一氧化碳,臭氧[O₃]和二氧化氮)与医疗保健利用之间的关系。根据定量比较(上四分位数vs下四分位数)和非线性浓度-反应曲线评估医疗保健利用的相对风险。空气质量安全阈值是根据世界卫生组织和韩国标准确定的。结果:在定量分析中,在滞后第0天,PM₁₀和SO₂的医疗保健利用风险降低,但O₃的医疗保健利用风险增加,与其他空气污染物没有显著关联。非线性分析揭示了所有空气污染物的显著浓度-响应关联,表明滞后第0天医疗保健利用的风险增加。值得注意的是,这些增加的风险发生在建议的安全阈值以下,在这些范围内观察到与哮喘相关的医疗保健利用率的急剧上升。结论:暴露于6种空气污染物与哮喘患者医疗保健利用风险增加有关,但没有确定安全暴露水平。在目前的安全阈值之下,影响更为明显。
本文章由计算机程序翻译,如有差异,请以英文原文为准。
求助全文
约1分钟内获得全文 求助全文
来源期刊
CiteScore
6.10
自引率
6.80%
发文量
53
审稿时长
>12 weeks
期刊介绍: The journal features cutting-edge original research, brief communications, and state-of-the-art reviews in the specialties of allergy, asthma, and immunology, including clinical and experimental studies and instructive case reports. Contemporary reviews summarize information on topics for researchers and physicians in the fields of allergy and immunology. As of January 2017, AAIR do not accept case reports. However, if it is a clinically important case, authors can submit it in the form of letter to the Editor. Editorials and letters to the Editor explore controversial issues and encourage further discussion among physicians dealing with allergy, immunology, pediatric respirology, and related medical fields. AAIR also features topics in practice and management and recent advances in equipment and techniques for clinicians concerned with clinical manifestations of allergies and pediatric respiratory diseases.
×
引用
GB/T 7714-2015
复制
MLA
复制
APA
复制
导出至
BibTeX EndNote RefMan NoteFirst NoteExpress
×
提示
您的信息不完整,为了账户安全,请先补充。
现在去补充
×
提示
您因"违规操作"
具体请查看互助需知
我知道了
×
提示
确定
请完成安全验证×
copy
已复制链接
快去分享给好友吧!
我知道了
右上角分享
点击右上角分享
0
联系我们:info@booksci.cn Book学术提供免费学术资源搜索服务,方便国内外学者检索中英文文献。致力于提供最便捷和优质的服务体验。 Copyright © 2023 布克学术 All rights reserved.
京ICP备2023020795号-1
ghs 京公网安备 11010802042870号
Book学术文献互助
Book学术文献互助群
群 号:604180095
Book学术官方微信