Intraoperative Autologous Platelet-Rich Stroma Injection as Add-On to Fistula Curettage and Closure of the Internal Orifice Demonstrates a Favorable Outcome in Long-Term in Patients Suffering from Therapy-Refractory Perianal Fistulizing Crohn's Disease.

IF 4.3 3区 医学 Q1 GASTROENTEROLOGY & HEPATOLOGY
Michiel T J Bak, Annemarie C de Vries, Caroline D M Witjes, Jeanine H C Arkenbosch, Roy S Dwarkasing, Joris A van Dongen, Gwenny M Fuhler, Willem Rudolph Schouten, Christien Janneke van der Woude, Oddeke van Ruler
{"title":"Intraoperative Autologous Platelet-Rich Stroma Injection as Add-On to Fistula Curettage and Closure of the Internal Orifice Demonstrates a Favorable Outcome in Long-Term in Patients Suffering from Therapy-Refractory Perianal Fistulizing Crohn's Disease.","authors":"Michiel T J Bak, Annemarie C de Vries, Caroline D M Witjes, Jeanine H C Arkenbosch, Roy S Dwarkasing, Joris A van Dongen, Gwenny M Fuhler, Willem Rudolph Schouten, Christien Janneke van der Woude, Oddeke van Ruler","doi":"10.1093/ibd/izaf011","DOIUrl":null,"url":null,"abstract":"<p><strong>Background: </strong>An injection with autologous platelet-rich stroma (PRS), a combination of stromal vascular fraction and platelet-rich plasma, as an add-on to fistula curretage and closure of the internal orifice proved to be safe and feasible for the treatment of patients with treatment-refractory perianal fistulizing Crohn's disease (pCD). This study aimed to assess the long-term outcomes in patients with pCD treated with autologous PRS injection.</p><p><strong>Methods: </strong>Adult patients with therapy-refractory pCD (failure to anti-tumor necrosis factor [TNF] therapy and/or fistula surgery), who underwent fistula curettage, closure of the internal fistula orifice, and autologous PRS injection in a Dutch tertiary referral center were included in an earlier conducted pilot study (n = 25). The primary outcome was complete clinical closure at long-term follow-up (closure of all treated external opening[s]). Secondary outcomes were partial clinical closure (closure of ≥1 treated external opening[s]), radiologic healing (fibrotic fistula tract on magnetic resonance imaging), and recurrence.</p><p><strong>Results: </strong>The majority of the patients were female (56%) (mean age 34.4 years [standard deviation - SD: 0.9], and mean follow-up 3.7 years [SD: 0.6]). The treatment-refractory character of the study cohort was displayed by the high rate of patients with ≥1 external opening (60%), prior exposure to an anti-TNF agent (92%), TOpClass classification system ≥ class 2b (36%), and the low rate of patients who underwent prior surgical interventions aimed at fistula closure (12%). During long-term follow-up, complete clinical closure was achieved in 88%. Partial clinical closure was achieved in all patients. Radiologic healing was achieved in 75% of the patients. Recurrence was reported in 8% of the patients who achieved prior clinical closure. No recurrences were observed in patients with radiologic healing. Seventeen unplanned re-interventions were reported in nine patients (36%), predominantly for residual fistulizing disease and in patients with severe therapy-refractory pCD (TOpClass classification system ≥ class 2b) at the time of inclusion.</p><p><strong>Conclusion: </strong>Additional PRS injection, fistula curettage, and closure of the internal orifice is a promising therapy for patients with (treatment-refractory) pCD and could improve clinical and radiologic healing rates. In addition, low recurrence rates were observed. Future randomized research is warranted in order to assess the effectiveness and positioning of PRS in the field of pCD.</p><p><strong>Clinical trial registration: </strong>NL8417.</p>","PeriodicalId":13623,"journal":{"name":"Inflammatory Bowel Diseases","volume":" ","pages":"2390-2399"},"PeriodicalIF":4.3000,"publicationDate":"2025-09-01","publicationTypes":"Journal Article","fieldsOfStudy":null,"isOpenAccess":false,"openAccessPdf":"https://www.ncbi.nlm.nih.gov/pmc/articles/PMC12455595/pdf/","citationCount":"0","resultStr":null,"platform":"Semanticscholar","paperid":null,"PeriodicalName":"Inflammatory Bowel Diseases","FirstCategoryId":"3","ListUrlMain":"https://doi.org/10.1093/ibd/izaf011","RegionNum":3,"RegionCategory":"医学","ArticlePicture":[],"TitleCN":null,"AbstractTextCN":null,"PMCID":null,"EPubDate":"","PubModel":"","JCR":"Q1","JCRName":"GASTROENTEROLOGY & HEPATOLOGY","Score":null,"Total":0}
引用次数: 0

Abstract

Background: An injection with autologous platelet-rich stroma (PRS), a combination of stromal vascular fraction and platelet-rich plasma, as an add-on to fistula curretage and closure of the internal orifice proved to be safe and feasible for the treatment of patients with treatment-refractory perianal fistulizing Crohn's disease (pCD). This study aimed to assess the long-term outcomes in patients with pCD treated with autologous PRS injection.

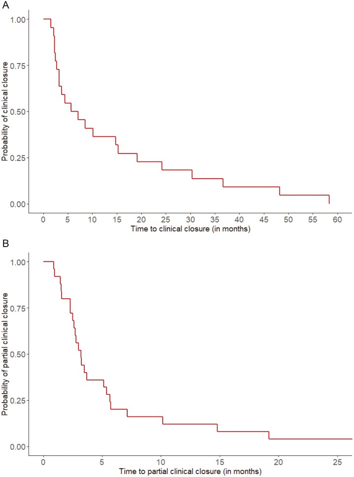
Methods: Adult patients with therapy-refractory pCD (failure to anti-tumor necrosis factor [TNF] therapy and/or fistula surgery), who underwent fistula curettage, closure of the internal fistula orifice, and autologous PRS injection in a Dutch tertiary referral center were included in an earlier conducted pilot study (n = 25). The primary outcome was complete clinical closure at long-term follow-up (closure of all treated external opening[s]). Secondary outcomes were partial clinical closure (closure of ≥1 treated external opening[s]), radiologic healing (fibrotic fistula tract on magnetic resonance imaging), and recurrence.

Results: The majority of the patients were female (56%) (mean age 34.4 years [standard deviation - SD: 0.9], and mean follow-up 3.7 years [SD: 0.6]). The treatment-refractory character of the study cohort was displayed by the high rate of patients with ≥1 external opening (60%), prior exposure to an anti-TNF agent (92%), TOpClass classification system ≥ class 2b (36%), and the low rate of patients who underwent prior surgical interventions aimed at fistula closure (12%). During long-term follow-up, complete clinical closure was achieved in 88%. Partial clinical closure was achieved in all patients. Radiologic healing was achieved in 75% of the patients. Recurrence was reported in 8% of the patients who achieved prior clinical closure. No recurrences were observed in patients with radiologic healing. Seventeen unplanned re-interventions were reported in nine patients (36%), predominantly for residual fistulizing disease and in patients with severe therapy-refractory pCD (TOpClass classification system ≥ class 2b) at the time of inclusion.

Conclusion: Additional PRS injection, fistula curettage, and closure of the internal orifice is a promising therapy for patients with (treatment-refractory) pCD and could improve clinical and radiologic healing rates. In addition, low recurrence rates were observed. Future randomized research is warranted in order to assess the effectiveness and positioning of PRS in the field of pCD.

Clinical trial registration: NL8417.

Abstract Image

Abstract Image

Abstract Image

术中自体富血小板间质注射作为瘘刮除和内孔关闭的补充,对治疗难治性肛周瘘管性克罗恩病患者的长期疗效有利。
背景:自体富血小板间质(PRS)注射,一种间质血管部分和富血小板血浆的组合,作为一种附加的瘘口修复和内孔关闭治疗难治性肛周瘘性克罗恩病(pCD)的方法被证明是安全可行的。本研究旨在评估自体PRS注射治疗pCD患者的长期预后。方法:在荷兰三级转诊中心进行的一项早期试点研究中,纳入了治疗难治性pCD(抗肿瘤坏死因子[TNF]治疗和/或瘘管手术失败)的成年患者,这些患者接受了瘘管刮除、内瘘口关闭和自体PRS注射。主要结局是在长期随访中临床完全闭合(闭合所有治疗的外部开口[s])。次要结果是临床部分闭合(闭合≥1个治疗后的外部开口[s])、放射学愈合(磁共振成像显示的纤维化瘘道)和复发。结果:患者以女性居多(56%),平均年龄34.4岁[标准差- SD: 0.9],平均随访3.7年[SD: 0.6]。该研究队列的治疗难治性表现为:≥1个外瘘口的患者比例高(60%),既往暴露于抗tnf药物(92%),TOpClass分类系统≥2b类(36%),既往接受过瘘口闭合手术干预的患者比例低(12%)。在长期随访中,88%的患者临床完全闭合。所有患者均实现部分临床闭合。75%的患者获得放射治疗。在获得临床治疗的患者中,有8%的患者复发。放射治疗后无复发。9例患者(36%)报告了17例计划外再干预,主要针对残留瘘管病和严重难治性pCD患者(TOpClass分类系统≥2b类)。结论:对于难治性pCD患者,额外的PRS注射、刮瘘和内孔关闭是一种很有希望的治疗方法,可以提高临床和放射学治愈率。此外,观察到复发率低。为了评估PRS在pCD领域的有效性和定位,未来的随机研究是必要的。临床试验注册:NL8417。
本文章由计算机程序翻译,如有差异,请以英文原文为准。
求助全文
约1分钟内获得全文 求助全文
来源期刊
Inflammatory Bowel Diseases
Inflammatory Bowel Diseases 医学-胃肠肝病学
CiteScore
9.70
自引率
6.10%
发文量
462
审稿时长
1 months
期刊介绍: Inflammatory Bowel Diseases® supports the mission of the Crohn''s & Colitis Foundation by bringing the most impactful and cutting edge clinical topics and research findings related to inflammatory bowel diseases to clinicians and researchers working in IBD and related fields. The Journal is committed to publishing on innovative topics that influence the future of clinical care, treatment, and research.
×
引用
GB/T 7714-2015
复制
MLA
复制
APA
复制
导出至
BibTeX EndNote RefMan NoteFirst NoteExpress
×
提示
您的信息不完整,为了账户安全,请先补充。
现在去补充
×
提示
您因"违规操作"
具体请查看互助需知
我知道了
×
提示
确定
请完成安全验证×
copy
已复制链接
快去分享给好友吧!
我知道了
右上角分享
点击右上角分享
0
联系我们:info@booksci.cn Book学术提供免费学术资源搜索服务,方便国内外学者检索中英文文献。致力于提供最便捷和优质的服务体验。 Copyright © 2023 布克学术 All rights reserved.
京ICP备2023020795号-1
ghs 京公网安备 11010802042870号
Book学术文献互助
Book学术文献互助群
群 号:604180095
Book学术官方微信