Peptide YY fragment PYY1-36 disrupts mitochondrial biogenesis via RBM43-dependent PGC-1α translation inhibition.

IF 2.7 3区 医学 Q2 ONCOLOGY
Investigational New Drugs Pub Date : 2025-06-01 Epub Date: 2025-05-22 DOI:10.1007/s10637-025-01545-4
Benkun Liu, Fucheng Zhou, Bowen Shi, Yubo Yan, Yanbo Wang, Junfeng Wang, Yaoguo Lang, Shidong Xu
{"title":"Peptide YY fragment PYY1-36 disrupts mitochondrial biogenesis via RBM43-dependent PGC-1α translation inhibition.","authors":"Benkun Liu, Fucheng Zhou, Bowen Shi, Yubo Yan, Yanbo Wang, Junfeng Wang, Yaoguo Lang, Shidong Xu","doi":"10.1007/s10637-025-01545-4","DOIUrl":null,"url":null,"abstract":"<p><p>Mitochondrial dysfunction is a key driver of cancer progression, with therapies increasingly targeting metabolic weaknesses. Peptide YY (PYY), a gastrointestinal hormone, regulates cellular activity, but its influence on mitochondrial health in lung cancer remains poorly understood. We explored how PYY1-36, a bioactive fragment of PYY, affects mitochondrial stability in NCI-H1581 lung cancer cells. Using dose-response experiments, we measured oxidative stress by tracking lactate dehydrogenase (LDH) release, mitochondrial ROS levels, and oxidative DNA damage (8-OHdG). Energy production was evaluated through ATP levels, oxygen consumption rates (OCR), and Complex I activity. We also analyzed mitochondrial biogenesis markers (NRF1, TFAM, PGC-1α) and the RNA-binding protein RBM43 via qPCR and immunoblotting. Dose-dependent tests showed that PYY1-36 triggers mitochondrial oxidative damage, marked by higher LDH release and ROS spikes. These changes aligned with sharp drops in ATP production and disrupted respiratory function. Notably, PYY1-36 reduced mitochondrial mass and biogenesis, supported by weaker MitoTracker Red signals and lower mtDNA/nDNA ratios. Key regulators NRF1 and TFAM were strongly suppressed, pointing to widespread mitochondrial failure. Intriguingly, PYY1-36 blocked PGC-1α protein synthesis without altering mRNA levels, suggesting a post-transcriptional control mechanism. PYY1-36 also boosted RBM43 levels. Knocking down RBM43 reversed PYY1-36's effects on PGC-1α and mitochondrial health. Our findings reveal RBM43 as a central player in PYY1-36-induced mitochondrial dysfunction through its suppression of PGC-1α translation. Targeting RBM43 could unlock new strategies to tackle metabolic chaos in lung cancer.</p>","PeriodicalId":14513,"journal":{"name":"Investigational New Drugs","volume":" ","pages":"669-678"},"PeriodicalIF":2.7000,"publicationDate":"2025-06-01","publicationTypes":"Journal Article","fieldsOfStudy":null,"isOpenAccess":false,"openAccessPdf":"https://www.ncbi.nlm.nih.gov/pmc/articles/PMC12310810/pdf/","citationCount":"0","resultStr":null,"platform":"Semanticscholar","paperid":null,"PeriodicalName":"Investigational New Drugs","FirstCategoryId":"3","ListUrlMain":"https://doi.org/10.1007/s10637-025-01545-4","RegionNum":3,"RegionCategory":"医学","ArticlePicture":[],"TitleCN":null,"AbstractTextCN":null,"PMCID":null,"EPubDate":"2025/5/22 0:00:00","PubModel":"Epub","JCR":"Q2","JCRName":"ONCOLOGY","Score":null,"Total":0}
引用次数: 0

Abstract

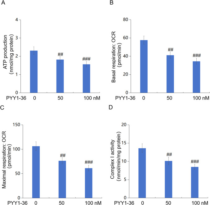
Mitochondrial dysfunction is a key driver of cancer progression, with therapies increasingly targeting metabolic weaknesses. Peptide YY (PYY), a gastrointestinal hormone, regulates cellular activity, but its influence on mitochondrial health in lung cancer remains poorly understood. We explored how PYY1-36, a bioactive fragment of PYY, affects mitochondrial stability in NCI-H1581 lung cancer cells. Using dose-response experiments, we measured oxidative stress by tracking lactate dehydrogenase (LDH) release, mitochondrial ROS levels, and oxidative DNA damage (8-OHdG). Energy production was evaluated through ATP levels, oxygen consumption rates (OCR), and Complex I activity. We also analyzed mitochondrial biogenesis markers (NRF1, TFAM, PGC-1α) and the RNA-binding protein RBM43 via qPCR and immunoblotting. Dose-dependent tests showed that PYY1-36 triggers mitochondrial oxidative damage, marked by higher LDH release and ROS spikes. These changes aligned with sharp drops in ATP production and disrupted respiratory function. Notably, PYY1-36 reduced mitochondrial mass and biogenesis, supported by weaker MitoTracker Red signals and lower mtDNA/nDNA ratios. Key regulators NRF1 and TFAM were strongly suppressed, pointing to widespread mitochondrial failure. Intriguingly, PYY1-36 blocked PGC-1α protein synthesis without altering mRNA levels, suggesting a post-transcriptional control mechanism. PYY1-36 also boosted RBM43 levels. Knocking down RBM43 reversed PYY1-36's effects on PGC-1α and mitochondrial health. Our findings reveal RBM43 as a central player in PYY1-36-induced mitochondrial dysfunction through its suppression of PGC-1α translation. Targeting RBM43 could unlock new strategies to tackle metabolic chaos in lung cancer.

Abstract Image

Abstract Image

Abstract Image

肽YY片段PYY1-36通过rbm43依赖性PGC-1α翻译抑制破坏线粒体生物发生。
线粒体功能障碍是癌症进展的关键驱动因素,越来越多的治疗针对代谢缺陷。肽YY (PYY)是一种胃肠激素,调节细胞活动,但其对肺癌线粒体健康的影响尚不清楚。我们探索PYY的生物活性片段PYY1-36如何影响NCI-H1581肺癌细胞的线粒体稳定性。通过剂量反应实验,我们通过跟踪乳酸脱氢酶(LDH)释放、线粒体ROS水平和氧化DNA损伤(8-OHdG)来测量氧化应激。通过ATP水平、耗氧量(OCR)和复合体I活性来评估能量产生。我们还通过qPCR和免疫印迹分析了线粒体生物发生标记(NRF1、TFAM、PGC-1α)和rna结合蛋白RBM43。剂量依赖性试验表明,PYY1-36触发线粒体氧化损伤,以更高的LDH释放和ROS峰值为标志。这些变化与ATP产生的急剧下降和呼吸功能的破坏一致。值得注意的是,PYY1-36减少了线粒体质量和生物发生,这与MitoTracker Red信号减弱和mtDNA/nDNA比率降低有关。关键调节因子NRF1和TFAM被强烈抑制,这表明线粒体功能衰竭广泛存在。有趣的是,PYY1-36在不改变mRNA水平的情况下阻断了PGC-1α蛋白的合成,提示其转录后调控机制。PYY1-36也提高了RBM43水平。敲除RBM43逆转PYY1-36对PGC-1α和线粒体健康的影响。我们的研究结果表明,RBM43通过抑制PGC-1α翻译,在pyy1 -36诱导的线粒体功能障碍中发挥了核心作用。靶向RBM43可能开启解决肺癌代谢混乱的新策略。
本文章由计算机程序翻译,如有差异,请以英文原文为准。
求助全文
约1分钟内获得全文 求助全文
来源期刊
CiteScore
7.60
自引率
0.00%
发文量
121
审稿时长
1 months
期刊介绍: The development of new anticancer agents is one of the most rapidly changing aspects of cancer research. Investigational New Drugs provides a forum for the rapid dissemination of information on new anticancer agents. The papers published are of interest to the medical chemist, toxicologist, pharmacist, pharmacologist, biostatistician and clinical oncologist. Investigational New Drugs provides the fastest possible publication of new discoveries and results for the whole community of scientists developing anticancer agents.
×
引用
GB/T 7714-2015
复制
MLA
复制
APA
复制
导出至
BibTeX EndNote RefMan NoteFirst NoteExpress
×
提示
您的信息不完整,为了账户安全,请先补充。
现在去补充
×
提示
您因"违规操作"
具体请查看互助需知
我知道了
×
提示
确定
请完成安全验证×
copy
已复制链接
快去分享给好友吧!
我知道了
右上角分享
点击右上角分享
0
联系我们:info@booksci.cn Book学术提供免费学术资源搜索服务,方便国内外学者检索中英文文献。致力于提供最便捷和优质的服务体验。 Copyright © 2023 布克学术 All rights reserved.
京ICP备2023020795号-1
ghs 京公网安备 11010802042870号
Book学术文献互助
Book学术文献互助群
群 号:604180095
Book学术官方微信