The development and validation of biomarkers-based scoring systems for predicting early recurrence in patients with borderline resectable pancreatic cancer undergoing resection after neoadjuvant therapy.

IF 1.6 3区 医学 Q3 SURGERY
Gland surgery Pub Date : 2025-04-30 Epub Date: 2025-04-25 DOI:10.21037/gs-2024-500
Hang He, Cai-Feng Zou, Yong-Jian Jiang, Feng Yang, Yang Di, Ji Li, Chen Jin, De-Liang Fu
{"title":"The development and validation of biomarkers-based scoring systems for predicting early recurrence in patients with borderline resectable pancreatic cancer undergoing resection after neoadjuvant therapy.","authors":"Hang He, Cai-Feng Zou, Yong-Jian Jiang, Feng Yang, Yang Di, Ji Li, Chen Jin, De-Liang Fu","doi":"10.21037/gs-2024-500","DOIUrl":null,"url":null,"abstract":"<p><strong>Background: </strong>Neoadjuvant therapy (NAT) is a key component of the treatment strategy for borderline resectable pancreatic cancer (BRPC). However, early recurrence (ER) frequently occurs, leading to a poor prognosis. Effective approaches for ER risk stratification in patients with BRPC undergoing NAT have not been well established currently. This study aimed to develop biomarker-based perioperative scoring systems to predict ER in patients with BRPC who underwent resection after NAT.</p><p><strong>Methods: </strong>Patients with BRPC who underwent radical resection following NAT at our institute between 2018 and 2023 were retrospectively enrolled. Serum biochemical marker tests and imaging examinations were performed to evaluate recurrence. Perioperative biochemical and clinicopathological parameters were analyzed. Univariate and multivariate Cox regression analyses were performed to identify independent risk factors for recurrence and to construct nomograms for ER prediction. Internal validation was conducted using the bootstrapping method. The accuracy in predicting ER was evaluated using receiver operating characteristic curve analysis. Survival analysis was performed using the Kaplan-Meier survival plots and log-rank test.</p><p><strong>Results: </strong>A total of 194 patients were enrolled. Recurrence occurred in 69.0% of all patients, and 61.1% of all recurrences were found within 6 months postoperatively. A preoperative scoring system was developed based on preoperative carbohydrate antigen 19-9 (CA19-9) and CA125 levels to predict ER [area under the curve (AUC), 0.700; 95% confidence interval (95% CI): 0.614-0.786] with 86.4% specificity and 48.7% sensitivity (cut-off value was 0.35886). Patients with a post-NAT prognostic score (PNPS) ≥0.35886 exhibited significantly poorer recurrence-free survival (RFS) (P<0.001) and overall survival (OS) (P<0.001) than those with a PNPS <0.35886. A postoperative scoring system based on the postoperative CA19-9 response was established to predict ER (AUC, 0.785; 95% CI: 0.705-0.866) with 65.4% specificity and 80.8% sensitivity (cut-off value was 0.43949). Patients with a postoperative prognostic score (PPS) ≥0.43949 exhibited poorer RFS (P<0.001) and OS (P<0.001) than those with a PPS <0.43949. For patients with normal CA19-9 levels after NAT, PNPS ≥0.35886 or PPS ≥0.43949 indicated a poor prognosis after surgery. For patients without normal CA19-9 levels after NAT, PNPS <0.35886 or PPS <0.43949 was associated with a favorable prognosis after surgery.</p><p><strong>Conclusions: </strong>The preoperative and postoperative scoring systems provide risk stratification for ER in patients with BRPC undergoing NAT. This may provide references to clinicians in identifying suitable candidates and optimal timing for surgery during NAT, and administering tailored adjuvant therapy (AT) after surgery.</p>","PeriodicalId":12760,"journal":{"name":"Gland surgery","volume":"14 4","pages":"670-686"},"PeriodicalIF":1.6000,"publicationDate":"2025-04-30","publicationTypes":"Journal Article","fieldsOfStudy":null,"isOpenAccess":false,"openAccessPdf":"https://www.ncbi.nlm.nih.gov/pmc/articles/PMC12093163/pdf/","citationCount":"0","resultStr":null,"platform":"Semanticscholar","paperid":null,"PeriodicalName":"Gland surgery","FirstCategoryId":"3","ListUrlMain":"https://doi.org/10.21037/gs-2024-500","RegionNum":3,"RegionCategory":"医学","ArticlePicture":[],"TitleCN":null,"AbstractTextCN":null,"PMCID":null,"EPubDate":"2025/4/25 0:00:00","PubModel":"Epub","JCR":"Q3","JCRName":"SURGERY","Score":null,"Total":0}
引用次数: 0

Abstract

Background: Neoadjuvant therapy (NAT) is a key component of the treatment strategy for borderline resectable pancreatic cancer (BRPC). However, early recurrence (ER) frequently occurs, leading to a poor prognosis. Effective approaches for ER risk stratification in patients with BRPC undergoing NAT have not been well established currently. This study aimed to develop biomarker-based perioperative scoring systems to predict ER in patients with BRPC who underwent resection after NAT.

Methods: Patients with BRPC who underwent radical resection following NAT at our institute between 2018 and 2023 were retrospectively enrolled. Serum biochemical marker tests and imaging examinations were performed to evaluate recurrence. Perioperative biochemical and clinicopathological parameters were analyzed. Univariate and multivariate Cox regression analyses were performed to identify independent risk factors for recurrence and to construct nomograms for ER prediction. Internal validation was conducted using the bootstrapping method. The accuracy in predicting ER was evaluated using receiver operating characteristic curve analysis. Survival analysis was performed using the Kaplan-Meier survival plots and log-rank test.

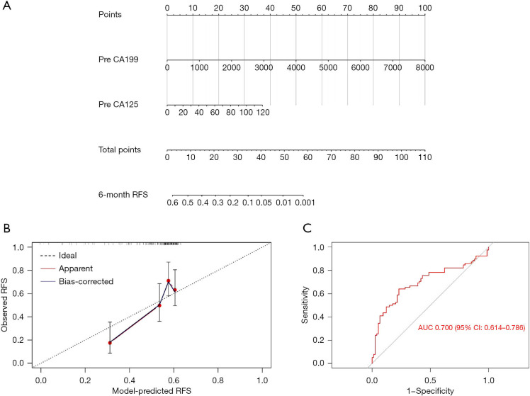
Results: A total of 194 patients were enrolled. Recurrence occurred in 69.0% of all patients, and 61.1% of all recurrences were found within 6 months postoperatively. A preoperative scoring system was developed based on preoperative carbohydrate antigen 19-9 (CA19-9) and CA125 levels to predict ER [area under the curve (AUC), 0.700; 95% confidence interval (95% CI): 0.614-0.786] with 86.4% specificity and 48.7% sensitivity (cut-off value was 0.35886). Patients with a post-NAT prognostic score (PNPS) ≥0.35886 exhibited significantly poorer recurrence-free survival (RFS) (P<0.001) and overall survival (OS) (P<0.001) than those with a PNPS <0.35886. A postoperative scoring system based on the postoperative CA19-9 response was established to predict ER (AUC, 0.785; 95% CI: 0.705-0.866) with 65.4% specificity and 80.8% sensitivity (cut-off value was 0.43949). Patients with a postoperative prognostic score (PPS) ≥0.43949 exhibited poorer RFS (P<0.001) and OS (P<0.001) than those with a PPS <0.43949. For patients with normal CA19-9 levels after NAT, PNPS ≥0.35886 or PPS ≥0.43949 indicated a poor prognosis after surgery. For patients without normal CA19-9 levels after NAT, PNPS <0.35886 or PPS <0.43949 was associated with a favorable prognosis after surgery.

Conclusions: The preoperative and postoperative scoring systems provide risk stratification for ER in patients with BRPC undergoing NAT. This may provide references to clinicians in identifying suitable candidates and optimal timing for surgery during NAT, and administering tailored adjuvant therapy (AT) after surgery.

Abstract Image

Abstract Image

Abstract Image

基于生物标志物的评分系统的开发和验证,用于预测边缘性可切除胰腺癌患者在新辅助治疗后的早期复发。
背景:新辅助治疗(NAT)是边缘性可切除胰腺癌(BRPC)治疗策略的关键组成部分。然而,早期复发(ER)经常发生,导致预后不良。目前,BRPC患者行NAT的ER风险分层的有效方法尚未建立。本研究旨在开发基于生物标志物的围手术期评分系统,以预测手术后切除的BRPC患者的ER。方法:回顾性纳入2018年至2023年在我院接受手术后根治性切除的BRPC患者。通过血清生化标志物试验和影像学检查评估复发。分析围手术期生化及临床病理参数。进行单因素和多因素Cox回归分析,以确定复发的独立危险因素,并构建ER预测的norm图。采用自举法进行内部验证。采用受试者工作特征曲线分析评价预测内窥镜的准确性。采用Kaplan-Meier生存图和log-rank检验进行生存分析。结果:共纳入194例患者。69.0%的患者复发,61.1%的患者在术后6个月内复发。基于术前碳水化合物抗原19-9 (CA19-9)和CA125水平建立术前评分系统预测ER[曲线下面积(AUC) 0.700;95%可信区间(95% CI): 0.614-0.786],特异性为86.4%,敏感性为48.7%(临界值为0.35886)。术后预后评分(PNPS)≥0.35886的患者表现出明显较差的无复发生存率(RFS)。结论:术前和术后评分系统为BRPC行NAT手术患者的ER提供了风险分层。这可能为临床医生在NAT期间确定合适的候选人和最佳手术时间以及术后给予量身定制的辅助治疗(AT)提供参考。
本文章由计算机程序翻译,如有差异,请以英文原文为准。
求助全文
约1分钟内获得全文 求助全文
来源期刊
Gland surgery
Gland surgery Medicine-Surgery
CiteScore
3.60
自引率
0.00%
发文量
113
期刊介绍: Gland Surgery (Gland Surg; GS, Print ISSN 2227-684X; Online ISSN 2227-8575) being indexed by PubMed/PubMed Central, is an open access, peer-review journal launched at May of 2012, published bio-monthly since February 2015.
×
引用
GB/T 7714-2015
复制
MLA
复制
APA
复制
导出至
BibTeX EndNote RefMan NoteFirst NoteExpress
×
提示
您的信息不完整,为了账户安全,请先补充。
现在去补充
×
提示
您因"违规操作"
具体请查看互助需知
我知道了
×
提示
确定
请完成安全验证×
copy
已复制链接
快去分享给好友吧!
我知道了
右上角分享
点击右上角分享
0
联系我们:info@booksci.cn Book学术提供免费学术资源搜索服务,方便国内外学者检索中英文文献。致力于提供最便捷和优质的服务体验。 Copyright © 2023 布克学术 All rights reserved.
京ICP备2023020795号-1
ghs 京公网安备 11010802042870号
Book学术文献互助
Book学术文献互助群
群 号:604180095
Book学术官方微信