Urinary albumin-to-creatinine ratio in patients with hypertension and risk of major cardiovascular events.

IF 2.8 Q2 CARDIAC & CARDIOVASCULAR SYSTEMS
Casper Binding, Mariam Elmegaard, Deewa Zahir Anjum, Nicholas Carlson, Morten Schou, Anders Nissen Bonde
{"title":"Urinary albumin-to-creatinine ratio in patients with hypertension and risk of major cardiovascular events.","authors":"Casper Binding, Mariam Elmegaard, Deewa Zahir Anjum, Nicholas Carlson, Morten Schou, Anders Nissen Bonde","doi":"10.1136/openhrt-2025-003270","DOIUrl":null,"url":null,"abstract":"<p><strong>Introduction/aims: </strong>Evaluation of urinary albumin-to-creatinine ratio (uACR) is a key component in the management of hypertension, yet there is a lack of data on the association between uACR and major cardiovascular events (MACEs) in large hypertensive cohorts, and it is also unknown how often uACR is measured among these patients.We aimed to evaluate the usage of uACR in a nationwide population of patients with hypertension. Furthermore, we sought to assess the risk of cardiorenal events according to uACR, among patients with hypertension.</p><p><strong>Methods: </strong>We used Danish nationwide registries to identify patients who initiated antihypertensive treatment. The patients were grouped at treatment initiation according to uACR: normoalbuminuria, microalbuminuria, macroalbuminuria and no uACR measurement, and followed for 2 years, to evaluate the risk of a MACE, hospitalisation for heart failure (HF), 40% decline in estimated glomerular filtration rate (eGFR) and end-stage kidney disease (ESKD) according to uACR.</p><p><strong>Results: </strong>We included 144 644 patients, of whom 116 039 (80%) did not have their uACR evaluated at treatment initiation. Patients with macroalbuminuria comprised the greatest 2 year absolute risk of MACE (5.3%, 95% CI: 4.0% to 6.6%) and had a greater risk of MACE (HR: 2.02, 95% CI: 1.54 to 2.66), HF (HR: 1.99, 95% CI: 1.35 to 2.95), 40% decline in eGFR (HR: 4.81, 95% CI: 3.78 to 6.10) and ESKD (HR: 4.52, 95% CI: 3.00 to 6.82) compared with patients with normoalbuminuria. Increased risk of MACE, HF and 40% decline in eGFR among patients with macroalbuminuria was persistent across subgroups of eGFR 120-30 mL/min/1.73 m².</p><p><strong>Conclusions: </strong>In this real-world cohort, uACR was not regularly measured among patients initiating antihypertensive treatment. Nonetheless, the 2-year risks of cardiorenal events were considerably higher among patients with albuminuria compared with patients without.</p>","PeriodicalId":19505,"journal":{"name":"Open Heart","volume":"12 1","pages":""},"PeriodicalIF":2.8000,"publicationDate":"2025-05-21","publicationTypes":"Journal Article","fieldsOfStudy":null,"isOpenAccess":false,"openAccessPdf":"https://www.ncbi.nlm.nih.gov/pmc/articles/PMC12097050/pdf/","citationCount":"0","resultStr":null,"platform":"Semanticscholar","paperid":null,"PeriodicalName":"Open Heart","FirstCategoryId":"1085","ListUrlMain":"https://doi.org/10.1136/openhrt-2025-003270","RegionNum":0,"RegionCategory":null,"ArticlePicture":[],"TitleCN":null,"AbstractTextCN":null,"PMCID":null,"EPubDate":"","PubModel":"","JCR":"Q2","JCRName":"CARDIAC & CARDIOVASCULAR SYSTEMS","Score":null,"Total":0}
引用次数: 0

Abstract

Introduction/aims: Evaluation of urinary albumin-to-creatinine ratio (uACR) is a key component in the management of hypertension, yet there is a lack of data on the association between uACR and major cardiovascular events (MACEs) in large hypertensive cohorts, and it is also unknown how often uACR is measured among these patients.We aimed to evaluate the usage of uACR in a nationwide population of patients with hypertension. Furthermore, we sought to assess the risk of cardiorenal events according to uACR, among patients with hypertension.

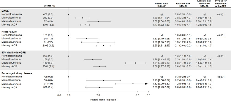
Methods: We used Danish nationwide registries to identify patients who initiated antihypertensive treatment. The patients were grouped at treatment initiation according to uACR: normoalbuminuria, microalbuminuria, macroalbuminuria and no uACR measurement, and followed for 2 years, to evaluate the risk of a MACE, hospitalisation for heart failure (HF), 40% decline in estimated glomerular filtration rate (eGFR) and end-stage kidney disease (ESKD) according to uACR.

Results: We included 144 644 patients, of whom 116 039 (80%) did not have their uACR evaluated at treatment initiation. Patients with macroalbuminuria comprised the greatest 2 year absolute risk of MACE (5.3%, 95% CI: 4.0% to 6.6%) and had a greater risk of MACE (HR: 2.02, 95% CI: 1.54 to 2.66), HF (HR: 1.99, 95% CI: 1.35 to 2.95), 40% decline in eGFR (HR: 4.81, 95% CI: 3.78 to 6.10) and ESKD (HR: 4.52, 95% CI: 3.00 to 6.82) compared with patients with normoalbuminuria. Increased risk of MACE, HF and 40% decline in eGFR among patients with macroalbuminuria was persistent across subgroups of eGFR 120-30 mL/min/1.73 m².

Conclusions: In this real-world cohort, uACR was not regularly measured among patients initiating antihypertensive treatment. Nonetheless, the 2-year risks of cardiorenal events were considerably higher among patients with albuminuria compared with patients without.

Abstract Image

Abstract Image

Abstract Image

高血压患者尿白蛋白与肌酐比值与主要心血管事件风险的关系
简介/目的:尿白蛋白与肌酐比值(uACR)的评估是高血压治疗的关键组成部分,但在大型高血压队列中,缺乏uACR与主要心血管事件(mace)之间的关联数据,也不清楚在这些患者中测量uACR的频率。我们的目的是评估uACR在全国高血压患者中的使用情况。此外,我们试图根据uACR评估高血压患者的心肾事件风险。方法:我们使用丹麦全国登记来确定开始抗高血压治疗的患者。患者在治疗开始时根据uACR分组:正常蛋白尿、微量蛋白尿、大量蛋白尿和无uACR测量,并随访2年,以评估MACE的风险、心力衰竭(HF)住院、肾小球滤过率(eGFR)估计下降40%和终末期肾脏疾病(ESKD)。结果:我们纳入了144 644例患者,其中116 039例(80%)在治疗开始时未进行uACR评估。与正常白蛋白尿患者相比,大量白蛋白尿患者2年MACE绝对风险最高(5.3%,95% CI: 4.0%至6.6%),MACE (HR: 2.02, 95% CI: 1.54至2.66)、HF (HR: 1.99, 95% CI: 1.35至2.95)、eGFR下降40% (HR: 4.81, 95% CI: 3.78至6.10)和ESKD (HR: 4.52, 95% CI: 3.00至6.82)的风险更高。在eGFR为120-30 mL/min/1.73 m²的亚组中,大量白蛋白尿患者MACE、HF和eGFR下降40%的风险持续增加。结论:在这个真实世界的队列中,在开始抗高血压治疗的患者中没有定期测量uACR。尽管如此,与没有蛋白尿的患者相比,蛋白尿患者的2年心肾事件风险要高得多。
本文章由计算机程序翻译,如有差异,请以英文原文为准。
求助全文
约1分钟内获得全文 求助全文
来源期刊
Open Heart
Open Heart CARDIAC & CARDIOVASCULAR SYSTEMS-
CiteScore
4.60
自引率
3.70%
发文量
145
审稿时长
20 weeks
期刊介绍: Open Heart is an online-only, open access cardiology journal that aims to be “open” in many ways: open access (free access for all readers), open peer review (unblinded peer review) and open data (data sharing is encouraged). The goal is to ensure maximum transparency and maximum impact on research progress and patient care. The journal is dedicated to publishing high quality, peer reviewed medical research in all disciplines and therapeutic areas of cardiovascular medicine. Research is published across all study phases and designs, from study protocols to phase I trials to meta-analyses, including small or specialist studies. Opinionated discussions on controversial topics are welcomed. Open Heart aims to operate a fast submission and review process with continuous publication online, to ensure timely, up-to-date research is available worldwide. The journal adheres to a rigorous and transparent peer review process, and all articles go through a statistical assessment to ensure robustness of the analyses. Open Heart is an official journal of the British Cardiovascular Society.
×
引用
GB/T 7714-2015
复制
MLA
复制
APA
复制
导出至
BibTeX EndNote RefMan NoteFirst NoteExpress
×
提示
您的信息不完整,为了账户安全,请先补充。
现在去补充
×
提示
您因"违规操作"
具体请查看互助需知
我知道了
×
提示
确定
请完成安全验证×
copy
已复制链接
快去分享给好友吧!
我知道了
右上角分享
点击右上角分享
0
联系我们:info@booksci.cn Book学术提供免费学术资源搜索服务,方便国内外学者检索中英文文献。致力于提供最便捷和优质的服务体验。 Copyright © 2023 布克学术 All rights reserved.
京ICP备2023020795号-1
ghs 京公网安备 11010802042870号
Book学术文献互助
Book学术文献互助群
群 号:604180095
Book学术官方微信