Performance of the GRACE and the ACTION risk model in the prediction of in-hospital mortality: external validation, model revision and updating in the Thai Percutaneous Coronary Intervention Registry.

IF 2.8 Q2 CARDIAC & CARDIOVASCULAR SYSTEMS
Songsak Kiatchoosakun, Noppadol Chamnarnphol, Chaiyasith Wongwipaporn, Burabha Pussadhamma, Worawut Roongsangmanoon, Sukanya Siriyotha, Ammarin Thakkinstian, Nakarin Sansanayudh
{"title":"Performance of the GRACE and the ACTION risk model in the prediction of in-hospital mortality: external validation, model revision and updating in the Thai Percutaneous Coronary Intervention Registry.","authors":"Songsak Kiatchoosakun, Noppadol Chamnarnphol, Chaiyasith Wongwipaporn, Burabha Pussadhamma, Worawut Roongsangmanoon, Sukanya Siriyotha, Ammarin Thakkinstian, Nakarin Sansanayudh","doi":"10.1136/openhrt-2024-003027","DOIUrl":null,"url":null,"abstract":"<p><strong>Background: </strong>External validation is crucial before implementing a risk score model in clinical practice. This study examined the performance of Global Registry of Acute Coronary Events (GRACE) and Acute Coronary Treatment and Intervention Outcomes Network (ACTION) Registry-Get With The Guidelines (GWTG) (ACTION Registry-GWTG) Risk Score (AR-G RS) using the Thai Percutaneous Coronary Intervention Registry (TPCIR).</p><p><strong>Methods: </strong>Included in this study were 11 455 patients with acute coronary syndrome (ACS) undergoing percutaneous coronary intervention (PCI) between November 2015 and May 2018. GRACE and AR-G RS models were externally validated, revised and updated using discrimination (C-statistic score) and calibration (Hosmer-Lemeshow (HL) indexes). Clinical predictors were selected stepwise from the multivariate analysis to evaluate the performance of each risk score in the revised and updated model.</p><p><strong>Results: </strong>In-hospital mortality was 4.4%. GRACE and AR-G RS demonstrated good discrimination for in-hospital mortality (C-statistics 0.8957 and 0.8823, respectively) with optimal calibration (HL, p=0.036 and 0.006, respectively) and penalty rates of 0.005 and 0.006, respectively. The updated model significantly improved the discrimination performance compared with the original GRACE and AR-G RS models, with a C-statistic of 0.9118 and a penalty of 0.006.</p><p><strong>Conclusion: </strong>GRACE and AR-G RS maintained a good performance in TPCIR. Based on routine PCI practice, we demonstrated that the updated model could improve the accuracy of GRACE and AR-G RS in predicting in-hospital mortality among patients with ACS who underwent PCI.</p>","PeriodicalId":19505,"journal":{"name":"Open Heart","volume":"12 1","pages":""},"PeriodicalIF":2.8000,"publicationDate":"2025-05-21","publicationTypes":"Journal Article","fieldsOfStudy":null,"isOpenAccess":false,"openAccessPdf":"https://www.ncbi.nlm.nih.gov/pmc/articles/PMC12097003/pdf/","citationCount":"0","resultStr":null,"platform":"Semanticscholar","paperid":null,"PeriodicalName":"Open Heart","FirstCategoryId":"1085","ListUrlMain":"https://doi.org/10.1136/openhrt-2024-003027","RegionNum":0,"RegionCategory":null,"ArticlePicture":[],"TitleCN":null,"AbstractTextCN":null,"PMCID":null,"EPubDate":"","PubModel":"","JCR":"Q2","JCRName":"CARDIAC & CARDIOVASCULAR SYSTEMS","Score":null,"Total":0}
引用次数: 0

Abstract

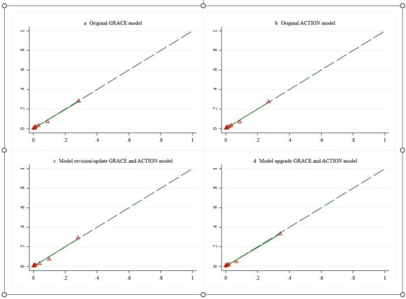
Background: External validation is crucial before implementing a risk score model in clinical practice. This study examined the performance of Global Registry of Acute Coronary Events (GRACE) and Acute Coronary Treatment and Intervention Outcomes Network (ACTION) Registry-Get With The Guidelines (GWTG) (ACTION Registry-GWTG) Risk Score (AR-G RS) using the Thai Percutaneous Coronary Intervention Registry (TPCIR).

Methods: Included in this study were 11 455 patients with acute coronary syndrome (ACS) undergoing percutaneous coronary intervention (PCI) between November 2015 and May 2018. GRACE and AR-G RS models were externally validated, revised and updated using discrimination (C-statistic score) and calibration (Hosmer-Lemeshow (HL) indexes). Clinical predictors were selected stepwise from the multivariate analysis to evaluate the performance of each risk score in the revised and updated model.

Results: In-hospital mortality was 4.4%. GRACE and AR-G RS demonstrated good discrimination for in-hospital mortality (C-statistics 0.8957 and 0.8823, respectively) with optimal calibration (HL, p=0.036 and 0.006, respectively) and penalty rates of 0.005 and 0.006, respectively. The updated model significantly improved the discrimination performance compared with the original GRACE and AR-G RS models, with a C-statistic of 0.9118 and a penalty of 0.006.

Conclusion: GRACE and AR-G RS maintained a good performance in TPCIR. Based on routine PCI practice, we demonstrated that the updated model could improve the accuracy of GRACE and AR-G RS in predicting in-hospital mortality among patients with ACS who underwent PCI.

Abstract Image

Abstract Image

Abstract Image

GRACE和ACTION风险模型在预测院内死亡率中的表现:泰国经皮冠状动脉介入登记的外部验证、模型修订和更新
背景:在临床实践中实施风险评分模型之前,外部验证至关重要。本研究使用泰国经皮冠状动脉介入登记(TPCIR)检查急性冠状动脉事件全球登记(GRACE)和急性冠状动脉治疗和干预结果网络(ACTION)登记-获得指南(GWTG) (ACTION Registry-GWTG)风险评分(AR-G RS)的表现。方法:本研究纳入2015年11月至2018年5月接受经皮冠状动脉介入治疗(PCI)的急性冠脉综合征(ACS)患者11455例。GRACE和AR-G RS模型采用判别(c -统计评分)和校准(Hosmer-Lemeshow (HL)指数)进行外部验证、修订和更新。从多变量分析中逐步选择临床预测因子,以评估修订和更新模型中每个风险评分的表现。结果:住院死亡率为4.4%。GRACE和AR-G RS对住院死亡率具有良好的判别性(c统计量分别为0.8957和0.8823),最佳校准(HL, p分别为0.036和0.006),惩罚率分别为0.005和0.006。与原有的GRACE和AR-G RS模型相比,更新后的模型显著提高了识别性能,c统计量为0.9118,惩罚值为0.006。结论:GRACE和AR-G RS在TPCIR中保持良好的疗效。基于常规PCI实践,我们证明了更新的模型可以提高GRACE和AR-G RS预测ACS行PCI患者住院死亡率的准确性。
本文章由计算机程序翻译,如有差异,请以英文原文为准。
求助全文
约1分钟内获得全文 求助全文
来源期刊
Open Heart
Open Heart CARDIAC & CARDIOVASCULAR SYSTEMS-
CiteScore
4.60
自引率
3.70%
发文量
145
审稿时长
20 weeks
期刊介绍: Open Heart is an online-only, open access cardiology journal that aims to be “open” in many ways: open access (free access for all readers), open peer review (unblinded peer review) and open data (data sharing is encouraged). The goal is to ensure maximum transparency and maximum impact on research progress and patient care. The journal is dedicated to publishing high quality, peer reviewed medical research in all disciplines and therapeutic areas of cardiovascular medicine. Research is published across all study phases and designs, from study protocols to phase I trials to meta-analyses, including small or specialist studies. Opinionated discussions on controversial topics are welcomed. Open Heart aims to operate a fast submission and review process with continuous publication online, to ensure timely, up-to-date research is available worldwide. The journal adheres to a rigorous and transparent peer review process, and all articles go through a statistical assessment to ensure robustness of the analyses. Open Heart is an official journal of the British Cardiovascular Society.
×
引用
GB/T 7714-2015
复制
MLA
复制
APA
复制
导出至
BibTeX EndNote RefMan NoteFirst NoteExpress
×
提示
您的信息不完整,为了账户安全,请先补充。
现在去补充
×
提示
您因"违规操作"
具体请查看互助需知
我知道了
×
提示
确定
请完成安全验证×
copy
已复制链接
快去分享给好友吧!
我知道了
右上角分享
点击右上角分享
0
联系我们:info@booksci.cn Book学术提供免费学术资源搜索服务,方便国内外学者检索中英文文献。致力于提供最便捷和优质的服务体验。 Copyright © 2023 布克学术 All rights reserved.
京ICP备2023020795号-1
ghs 京公网安备 11010802042870号
Book学术文献互助
Book学术文献互助群
群 号:604180095
Book学术官方微信