Making Sense of Missense: Benchmarking MutScore for Variant Interpretation in Inherited Cardiac Diseases.

IF 4.4 3区 医学 Q1 GENETICS & HEREDITY
Molecular Diagnosis & Therapy Pub Date : 2025-07-01 Epub Date: 2025-05-21 DOI:10.1007/s40291-025-00784-8
Alessandra Pia Porretta, Véronique Fressart, Elodie Surget, Charles Morgat, Adrien Bloch, Anne Messali, Vincent Algalarrondo, Géraldine Vedrenne, Etienne Pruvot, Antoine Leenhardt, Isabelle Denjoy, Fabrice Extramiana
{"title":"Making Sense of Missense: Benchmarking MutScore for Variant Interpretation in Inherited Cardiac Diseases.","authors":"Alessandra Pia Porretta, Véronique Fressart, Elodie Surget, Charles Morgat, Adrien Bloch, Anne Messali, Vincent Algalarrondo, Géraldine Vedrenne, Etienne Pruvot, Antoine Leenhardt, Isabelle Denjoy, Fabrice Extramiana","doi":"10.1007/s40291-025-00784-8","DOIUrl":null,"url":null,"abstract":"<p><strong>Background: </strong>Accurate interpretation of genetic variants still represents a major challenge. According to current recommendations from the American College of Medical Genetics and Genomics (ACMG), variant interpretation relies on a comprehensive analysis including, among others, computational data for prediction of variant pathogenicity. However, the predictive accuracy of in silico tools is often limited, and results are frequently inconsistent. In the current study, we evaluated the predictive performance of a previously described innovative classifier (MutScore) for missense variants in our cohort of probands with inherited cardiac diseases (InCDs).</p><p><strong>Methods: </strong>We retrospectively reviewed missense variants detected in our cohort of probands with InCDs. Variants were analyzed with four in silico tools commonly used in our diagnostic pipelines (CADD, Polyphen-2, Alpha-missense and Revel) and with MutScore, a new meta-predictor combining data on variant location with the output of 16 existing predictors. For each variant, we recorded the original classification (established according to scientific evidence available at the time of molecular diagnosis) and the updated classification performed at the present time, according to ACMG standards.</p><p><strong>Results: </strong>We detected 252 missense variants in our cohort of 517 patients affected by InCDs. MutScore was the most proficient tool in classifying variants (0.89 maximum area under the curve [95% confidence interval (CI) 0.85-0.94]). Compared to Revel, the second-best predictor, MutScore showed superior sensitivity (73% vs 57%) at the maximum tolerated false-positive rate of 10%, higher specificity (0.83 vs 0.36) and a markedly lower false-positive rate (0.17 vs 0.64), supporting a more nuanced and accurate assessment, especially for benign or likely benign variants. MutScore also appeared to perform better for variants located in genes associated with channelopathies than for variants in cardiomyopathy-related genes. Notably, when comparing the original and updated classification, 27% (69/252) of missense variants underwent a change in classification over the 9-year follow-up period. Among these, reclassification had a significant impact on clinical management in one third of cases (i.e., variants of uncertain significance upgraded to pathogenic or likely pathogenic variants or vice versa), with a 4.8% increase in molecular diagnosis of InCDs over the 9-year period.</p><p><strong>Conclusion: </strong>Our study supports the excellent performance of MutScore in a real-life dataset of missense variants associated with the rare subset of InCDs. MutScore represents a promising application of artificial intelligence with major potential in cardiogenetics to improve diagnostic precision in clinical practice. In addition, our results highlight the importance of periodic reanalysis of variants, incorporating newly available scientific evidence, as attested by the significant implications for patient management and clinical decision-making.</p>","PeriodicalId":49797,"journal":{"name":"Molecular Diagnosis & Therapy","volume":" ","pages":"539-552"},"PeriodicalIF":4.4000,"publicationDate":"2025-07-01","publicationTypes":"Journal Article","fieldsOfStudy":null,"isOpenAccess":false,"openAccessPdf":"https://www.ncbi.nlm.nih.gov/pmc/articles/PMC12227508/pdf/","citationCount":"0","resultStr":null,"platform":"Semanticscholar","paperid":null,"PeriodicalName":"Molecular Diagnosis & Therapy","FirstCategoryId":"3","ListUrlMain":"https://doi.org/10.1007/s40291-025-00784-8","RegionNum":3,"RegionCategory":"医学","ArticlePicture":[],"TitleCN":null,"AbstractTextCN":null,"PMCID":null,"EPubDate":"2025/5/21 0:00:00","PubModel":"Epub","JCR":"Q1","JCRName":"GENETICS & HEREDITY","Score":null,"Total":0}
引用次数: 0

Abstract

Background: Accurate interpretation of genetic variants still represents a major challenge. According to current recommendations from the American College of Medical Genetics and Genomics (ACMG), variant interpretation relies on a comprehensive analysis including, among others, computational data for prediction of variant pathogenicity. However, the predictive accuracy of in silico tools is often limited, and results are frequently inconsistent. In the current study, we evaluated the predictive performance of a previously described innovative classifier (MutScore) for missense variants in our cohort of probands with inherited cardiac diseases (InCDs).

Methods: We retrospectively reviewed missense variants detected in our cohort of probands with InCDs. Variants were analyzed with four in silico tools commonly used in our diagnostic pipelines (CADD, Polyphen-2, Alpha-missense and Revel) and with MutScore, a new meta-predictor combining data on variant location with the output of 16 existing predictors. For each variant, we recorded the original classification (established according to scientific evidence available at the time of molecular diagnosis) and the updated classification performed at the present time, according to ACMG standards.

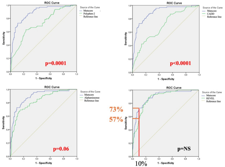
Results: We detected 252 missense variants in our cohort of 517 patients affected by InCDs. MutScore was the most proficient tool in classifying variants (0.89 maximum area under the curve [95% confidence interval (CI) 0.85-0.94]). Compared to Revel, the second-best predictor, MutScore showed superior sensitivity (73% vs 57%) at the maximum tolerated false-positive rate of 10%, higher specificity (0.83 vs 0.36) and a markedly lower false-positive rate (0.17 vs 0.64), supporting a more nuanced and accurate assessment, especially for benign or likely benign variants. MutScore also appeared to perform better for variants located in genes associated with channelopathies than for variants in cardiomyopathy-related genes. Notably, when comparing the original and updated classification, 27% (69/252) of missense variants underwent a change in classification over the 9-year follow-up period. Among these, reclassification had a significant impact on clinical management in one third of cases (i.e., variants of uncertain significance upgraded to pathogenic or likely pathogenic variants or vice versa), with a 4.8% increase in molecular diagnosis of InCDs over the 9-year period.

Conclusion: Our study supports the excellent performance of MutScore in a real-life dataset of missense variants associated with the rare subset of InCDs. MutScore represents a promising application of artificial intelligence with major potential in cardiogenetics to improve diagnostic precision in clinical practice. In addition, our results highlight the importance of periodic reanalysis of variants, incorporating newly available scientific evidence, as attested by the significant implications for patient management and clinical decision-making.

Abstract Image

Abstract Image

Abstract Image

理解错义:对遗传心脏病变异解释的MutScore进行基准测试
背景:基因变异的准确解释仍然是一个重大挑战。根据美国医学遗传学和基因组学学院(ACMG)目前的建议,变异解释依赖于综合分析,其中包括预测变异致病性的计算数据。然而,在计算机工具的预测精度往往是有限的,结果往往不一致。在当前的研究中,我们评估了先前描述的创新分类器(MutScore)在我们的遗传性心脏病(incd)先显子队列中对错义变异的预测性能。方法:我们回顾性地回顾了在我们的InCDs先证者队列中检测到的错义变异。变体分析使用我们诊断管道中常用的四种计算机工具(CADD, polyphen2, Alpha-missense和Revel)和MutScore,这是一种新的元预测器,将变体位置数据与16种现有预测器的输出相结合。对于每个变异,我们记录了原始分类(根据分子诊断时可用的科学证据建立)和当前更新的分类,根据ACMG标准进行。结果:我们在517例InCDs患者中检测到252个错义变异。MutScore是最熟练的变异分类工具(曲线下最大面积为0.89[95%可信区间(CI) 0.85-0.94])。与Revel(第二好的预测指标)相比,MutScore在最大耐受假阳性率为10%时显示出更高的敏感性(73% vs 57%),更高的特异性(0.83 vs 0.36)和显着更低的假阳性率(0.17 vs 0.64),支持更细致和准确的评估,特别是对于良性或可能良性的变异。MutScore对与通道病相关基因的变异比对心肌病相关基因的变异表现更好。值得注意的是,当比较原始和更新的分类时,27%(69/252)的错义变异在9年的随访期间发生了分类变化。其中,重新分类对三分之一的病例的临床管理产生了重大影响(即,不确定意义的变异升级为致病或可能致病的变异,反之亦然),在9年期间,incd的分子诊断增加了4.8%。结论:我们的研究支持MutScore在与罕见的incd子集相关的错义变异的现实数据集中的出色表现。MutScore代表了人工智能的一个有前途的应用,在心脏遗传学方面具有很大的潜力,可以提高临床实践中的诊断精度。此外,我们的研究结果强调了定期重新分析变异的重要性,并结合了最新的科学证据,这对患者管理和临床决策具有重要意义。
本文章由计算机程序翻译,如有差异,请以英文原文为准。
求助全文
约1分钟内获得全文 求助全文
来源期刊
CiteScore
7.80
自引率
2.50%
发文量
53
审稿时长
>12 weeks
期刊介绍: Molecular Diagnosis & Therapy welcomes current opinion articles on emerging or contentious issues, comprehensive narrative reviews, systematic reviews (as outlined by the PRISMA statement), original research articles (including short communications) and letters to the editor. All manuscripts are subject to peer review by international experts.
×
引用
GB/T 7714-2015
复制
MLA
复制
APA
复制
导出至
BibTeX EndNote RefMan NoteFirst NoteExpress
×
提示
您的信息不完整,为了账户安全,请先补充。
现在去补充
×
提示
您因"违规操作"
具体请查看互助需知
我知道了
×
提示
确定
请完成安全验证×
copy
已复制链接
快去分享给好友吧!
我知道了
右上角分享
点击右上角分享
0
联系我们:info@booksci.cn Book学术提供免费学术资源搜索服务,方便国内外学者检索中英文文献。致力于提供最便捷和优质的服务体验。 Copyright © 2023 布克学术 All rights reserved.
京ICP备2023020795号-1
ghs 京公网安备 11010802042870号
Book学术文献互助
Book学术文献互助群
群 号:604180095
Book学术官方微信