The Use of miRNA Panel as a Growth Plate Marker of Short-Term Response to GH

IF 2.4 3区 医学 Q2 ENDOCRINOLOGY & METABOLISM
Caroline Rosa Pellicciari, Thayna Rosa Bispo, Itatiana Ferreira Rodart, Leandra Steinmetz, Adriana Aparecida Siviero Miachon, Angela Maria Spinola e Castro, Durval Damiani, Cristiane Kochi, Carlos Alberto Longui
{"title":"The Use of miRNA Panel as a Growth Plate Marker of Short-Term Response to GH","authors":"Caroline Rosa Pellicciari,&nbsp;Thayna Rosa Bispo,&nbsp;Itatiana Ferreira Rodart,&nbsp;Leandra Steinmetz,&nbsp;Adriana Aparecida Siviero Miachon,&nbsp;Angela Maria Spinola e Castro,&nbsp;Durval Damiani,&nbsp;Cristiane Kochi,&nbsp;Carlos Alberto Longui","doi":"10.1111/cen.15278","DOIUrl":null,"url":null,"abstract":"<div>\n \n \n <section>\n \n <h3> Introduction</h3>\n \n <p>Recombinant human growth hormone (GH) therapy shows variable growth responses in patients with growth hormone deficiency (GHD), highlighting the need for reliable biomarkers to predict individual sensitivity.</p>\n </section>\n \n <section>\n \n <h3> Objective</h3>\n \n <p>This study investigated circulating microRNAs (miRNAs) involved in growth plate regulation during GH therapy in prepubertal children with GHD, aiming to establish a miRNA panel correlating with GH responsiveness.</p>\n </section>\n \n <section>\n \n <h3> Patients and Methods</h3>\n \n <p>Sixteen patients were treated with daily recombinant GH (0.033 mg/kg) for 6 months. Two participants were excluded for protocol noncompliance, and one withdrew due to the spontaneous onset of puberty. Circulating levels of six miRNAs (miR-22-3p, miR-30c-5p, miR-140-5p, miR-340-5p, miR-494-3p, and miR-16-5p) were measured via digital PCR at baseline and at 1, 3, and 6 months of therapy. Clinical data (height, weight, growth velocity) and hormone levels were collected simultaneously.</p>\n </section>\n \n <section>\n \n <h3> Results</h3>\n \n <p>All miRNAs displayed a characteristic response pattern: significant increases at 1 and 6 months, with a transient decline at 3 months. Despite these changes, no significant correlations were identified between miRNA levels and growth velocity, height SDS, or IGF-1 levels. The study included treatment-naïve patients and those with prior GH therapy following a 30-day wash-out period. While the treatment-naïve group exhibited greater height-SDS gains (<i>p</i> = 0.008), no differences in miRNA expression were observed between groups, nor was there a correlation between miRNA levels and height-SDS increments.</p>\n </section>\n \n <section>\n \n <h3> Conclusion</h3>\n \n <p>While this miRNA panel identified treatment-responsive miRNAs, it did not correlate with growth outcomes. Increasing the sample size and incorporating additional miRNAs could enhance its clinical utility for predicting GH treatment sensitivity in GHD patients.</p>\n </section>\n \n <section>\n \n <h3> Trial Registration</h3>\n \n <p>NCT05946915.</p>\n </section>\n </div>","PeriodicalId":10346,"journal":{"name":"Clinical Endocrinology","volume":"103 3","pages":"327-337"},"PeriodicalIF":2.4000,"publicationDate":"2025-05-20","publicationTypes":"Journal Article","fieldsOfStudy":null,"isOpenAccess":false,"openAccessPdf":"https://onlinelibrary.wiley.com/doi/epdf/10.1111/cen.15278","citationCount":"0","resultStr":null,"platform":"Semanticscholar","paperid":null,"PeriodicalName":"Clinical Endocrinology","FirstCategoryId":"3","ListUrlMain":"https://onlinelibrary.wiley.com/doi/10.1111/cen.15278","RegionNum":3,"RegionCategory":"医学","ArticlePicture":[],"TitleCN":null,"AbstractTextCN":null,"PMCID":null,"EPubDate":"","PubModel":"","JCR":"Q2","JCRName":"ENDOCRINOLOGY & METABOLISM","Score":null,"Total":0}
引用次数: 0

Abstract

Introduction

Recombinant human growth hormone (GH) therapy shows variable growth responses in patients with growth hormone deficiency (GHD), highlighting the need for reliable biomarkers to predict individual sensitivity.

Objective

This study investigated circulating microRNAs (miRNAs) involved in growth plate regulation during GH therapy in prepubertal children with GHD, aiming to establish a miRNA panel correlating with GH responsiveness.

Patients and Methods

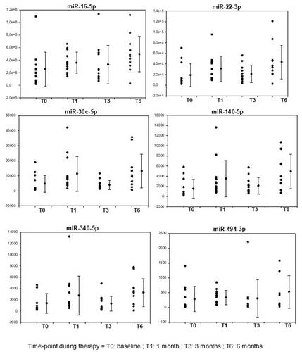
Sixteen patients were treated with daily recombinant GH (0.033 mg/kg) for 6 months. Two participants were excluded for protocol noncompliance, and one withdrew due to the spontaneous onset of puberty. Circulating levels of six miRNAs (miR-22-3p, miR-30c-5p, miR-140-5p, miR-340-5p, miR-494-3p, and miR-16-5p) were measured via digital PCR at baseline and at 1, 3, and 6 months of therapy. Clinical data (height, weight, growth velocity) and hormone levels were collected simultaneously.

Results

All miRNAs displayed a characteristic response pattern: significant increases at 1 and 6 months, with a transient decline at 3 months. Despite these changes, no significant correlations were identified between miRNA levels and growth velocity, height SDS, or IGF-1 levels. The study included treatment-naïve patients and those with prior GH therapy following a 30-day wash-out period. While the treatment-naïve group exhibited greater height-SDS gains (p = 0.008), no differences in miRNA expression were observed between groups, nor was there a correlation between miRNA levels and height-SDS increments.

Conclusion

While this miRNA panel identified treatment-responsive miRNAs, it did not correlate with growth outcomes. Increasing the sample size and incorporating additional miRNAs could enhance its clinical utility for predicting GH treatment sensitivity in GHD patients.

Trial Registration

NCT05946915.

Abstract Image

miRNA面板作为生长激素短期反应的生长板标志物的应用。
重组人生长激素(GH)治疗在生长激素缺乏症(GHD)患者中显示出不同的生长反应,强调需要可靠的生物标志物来预测个体敏感性。目的:研究青春期前儿童GHD生长激素治疗过程中参与生长板调控的循环miRNA (miRNA),旨在建立与生长激素反应性相关的miRNA面板。患者和方法:16例患者每日给予重组生长激素(0.033 mg/kg)治疗,疗程6个月。两名参与者因不遵守协议而被排除在外,一名参与者因青春期自发性发作而退出。6种mirna (miR-22-3p, miR-30c-5p, miR-140-5p, miR-340-5p, miR-494-3p和miR-16-5p)的循环水平在基线和治疗1、3和6个月时通过数字PCR测量。同时收集临床资料(身高、体重、生长速度)和激素水平。结果:所有mirna均表现出特征性的反应模式:在1个月和6个月时显著增加,在3个月时短暂下降。尽管有这些变化,但没有发现miRNA水平与生长速度、身高SDS或IGF-1水平之间存在显著相关性。该研究包括treatment-naïve患者和那些在30天的洗脱期后接受过生长激素治疗的患者。虽然treatment-naïve组表现出更大的身高- sds增加(p = 0.008),但各组之间没有观察到miRNA表达差异,miRNA水平与身高- sds增加之间也没有相关性。结论:虽然这个miRNA小组确定了治疗反应性miRNA,但它与生长结果无关。增加样本量和加入额外的mirna可以增强其在预测GHD患者生长激素治疗敏感性方面的临床应用。试验注册:NCT05946915。
本文章由计算机程序翻译,如有差异,请以英文原文为准。
求助全文
约1分钟内获得全文 求助全文
来源期刊
Clinical Endocrinology
Clinical Endocrinology 医学-内分泌学与代谢
CiteScore
6.40
自引率
3.10%
发文量
192
审稿时长
1 months
期刊介绍: Clinical Endocrinology publishes papers and reviews which focus on the clinical aspects of endocrinology, including the clinical application of molecular endocrinology. It does not publish papers relating directly to diabetes care and clinical management. It features reviews, original papers, commentaries, correspondence and Clinical Questions. Clinical Endocrinology is essential reading not only for those engaged in endocrinological research but also for those involved primarily in clinical practice.
×
引用
GB/T 7714-2015
复制
MLA
复制
APA
复制
导出至
BibTeX EndNote RefMan NoteFirst NoteExpress
×
提示
您的信息不完整,为了账户安全,请先补充。
现在去补充
×
提示
您因"违规操作"
具体请查看互助需知
我知道了
×
提示
确定
请完成安全验证×
copy
已复制链接
快去分享给好友吧!
我知道了
右上角分享
点击右上角分享
0
联系我们:info@booksci.cn Book学术提供免费学术资源搜索服务,方便国内外学者检索中英文文献。致力于提供最便捷和优质的服务体验。 Copyright © 2023 布克学术 All rights reserved.
京ICP备2023020795号-1
ghs 京公网安备 11010802042870号
Book学术文献互助
Book学术文献互助群
群 号:604180095
Book学术官方微信