Test-retest reliability of clinical measurements of lower extremity joint motion and alignment in the pediatric population.

IF 1.6 4区 医学 Q3 ORTHOPEDICS
Journal of Childrens Orthopaedics Pub Date : 2025-05-15 eCollection Date: 2025-06-01 DOI:10.1177/18632521251322639
Thea Saabye, Thomas Colding-Rasmussen, Andreas Balslev-Clausen, Søren Bødtker, Christian Wong, Steen Harsted
{"title":"Test-retest reliability of clinical measurements of lower extremity joint motion and alignment in the pediatric population.","authors":"Thea Saabye, Thomas Colding-Rasmussen, Andreas Balslev-Clausen, Søren Bødtker, Christian Wong, Steen Harsted","doi":"10.1177/18632521251322639","DOIUrl":null,"url":null,"abstract":"<p><strong>Purpose: </strong>Manual anthropometric evaluations of pediatric lower extremities are essential in orthopedic pediatric practice due to their noninvasive and time-feasible nature. Therefore, this study aims to assess the test-retest reliability of clinical measurements obtained on children to examine measurement stability over time.</p><p><strong>Methods: </strong>In a test-retest design, data were collected from 50 Danish school children with 5-to 6 weeks between sessions. Measurements encompassed the joint range of motion (ROM), rotational profile, and angular alignment of lower extremities for a representative sample of school children. Reliability was assessed using intraclass correlations (ICC), and agreement was assessed using limits of agreement (LoA) and precision.</p><p><strong>Results: </strong>Reliability analysis revealed excellent results for foot length (ICC > 0.9), good results for foot width (ICC < 0.9), and poor to moderate results for all other measurements (ICC < 0.5, ICC < 0.75). Agreement results for hallux valgus were acceptable (within established reference) and the remaining variables were not acceptable (outside established reference).</p><p><strong>Conclusions: </strong>The majority of the manual assessment procedures were found to have poor reliability. This study highlights the need for reliable and time-efficient tools to assist clinicians in assessing manual clinical measurements and future research should explore this.</p><p><strong>Level of evidence: </strong>Level III.</p>","PeriodicalId":56060,"journal":{"name":"Journal of Childrens Orthopaedics","volume":" ","pages":"189-198"},"PeriodicalIF":1.6000,"publicationDate":"2025-05-15","publicationTypes":"Journal Article","fieldsOfStudy":null,"isOpenAccess":false,"openAccessPdf":"https://www.ncbi.nlm.nih.gov/pmc/articles/PMC12081435/pdf/","citationCount":"0","resultStr":null,"platform":"Semanticscholar","paperid":null,"PeriodicalName":"Journal of Childrens Orthopaedics","FirstCategoryId":"3","ListUrlMain":"https://doi.org/10.1177/18632521251322639","RegionNum":4,"RegionCategory":"医学","ArticlePicture":[],"TitleCN":null,"AbstractTextCN":null,"PMCID":null,"EPubDate":"2025/6/1 0:00:00","PubModel":"eCollection","JCR":"Q3","JCRName":"ORTHOPEDICS","Score":null,"Total":0}
引用次数: 0

Abstract

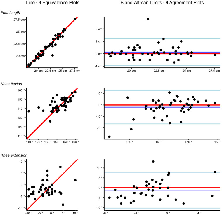
Purpose: Manual anthropometric evaluations of pediatric lower extremities are essential in orthopedic pediatric practice due to their noninvasive and time-feasible nature. Therefore, this study aims to assess the test-retest reliability of clinical measurements obtained on children to examine measurement stability over time.

Methods: In a test-retest design, data were collected from 50 Danish school children with 5-to 6 weeks between sessions. Measurements encompassed the joint range of motion (ROM), rotational profile, and angular alignment of lower extremities for a representative sample of school children. Reliability was assessed using intraclass correlations (ICC), and agreement was assessed using limits of agreement (LoA) and precision.

Results: Reliability analysis revealed excellent results for foot length (ICC > 0.9), good results for foot width (ICC < 0.9), and poor to moderate results for all other measurements (ICC < 0.5, ICC < 0.75). Agreement results for hallux valgus were acceptable (within established reference) and the remaining variables were not acceptable (outside established reference).

Conclusions: The majority of the manual assessment procedures were found to have poor reliability. This study highlights the need for reliable and time-efficient tools to assist clinicians in assessing manual clinical measurements and future research should explore this.

Level of evidence: Level III.

Abstract Image

Abstract Image

Abstract Image

儿童下肢关节运动和对齐临床测量的测试-再测试可靠性。
目的:小儿下肢的手工人体测量评估是必不可少的矫形儿科实践,由于其无创和时间可行的性质。因此,本研究旨在评估儿童临床测量的重测信度,以检验测量随时间的稳定性。方法:采用重测设计,从50名丹麦学龄儿童中收集数据,每组间隔5- 6周。测量包括关节活动范围(ROM)、旋转轮廓和下肢的角度对齐,以学校儿童为代表性样本。使用类内相关性(ICC)评估可靠性,使用一致性限(LoA)和精度评估一致性。结果:信度分析显示,脚长(ICC > 0.9)结果良好,脚宽(ICC)结果良好。结论:大多数人工评估程序的信度较差。这项研究强调需要可靠和高效的工具来帮助临床医生评估人工临床测量,未来的研究应该探索这一点。证据等级:三级。
本文章由计算机程序翻译,如有差异,请以英文原文为准。
求助全文
约1分钟内获得全文 求助全文
来源期刊
Journal of Childrens Orthopaedics
Journal of Childrens Orthopaedics Medicine-Orthopedics and Sports Medicine
CiteScore
2.70
自引率
14.30%
发文量
61
审稿时长
23 weeks
期刊介绍: Aims & Scope The Journal of Children’s Orthopaedics is the official journal of the European Paediatric Orthopaedic Society (EPOS) and is published by The British Editorial Society of Bone & Joint Surgery. It provides a forum for the advancement of the knowledge and education in paediatric orthopaedics and traumatology across geographical borders. It advocates an increased worldwide involvement in preventing and treating musculoskeletal diseases in children and adolescents. The journal publishes high quality, peer-reviewed articles that focus on clinical practice, diagnosis and treatment of disorders unique to paediatric orthopaedics, as well as on basic and applied research. It aims to help physicians stay abreast of the latest and ever-changing developments in the field of paediatric orthopaedics and traumatology. The journal welcomes original contributions submitted exclusively for review to the journal. This continuously published online journal is fully open access and will publish one print issue each year to coincide with the EPOS Annual Congress, featuring the meeting’s abstracts.
×
引用
GB/T 7714-2015
复制
MLA
复制
APA
复制
导出至
BibTeX EndNote RefMan NoteFirst NoteExpress
×
提示
您的信息不完整,为了账户安全,请先补充。
现在去补充
×
提示
您因"违规操作"
具体请查看互助需知
我知道了
×
提示
确定
请完成安全验证×
copy
已复制链接
快去分享给好友吧!
我知道了
右上角分享
点击右上角分享
0
联系我们:info@booksci.cn Book学术提供免费学术资源搜索服务,方便国内外学者检索中英文文献。致力于提供最便捷和优质的服务体验。 Copyright © 2023 布克学术 All rights reserved.
京ICP备2023020795号-1
ghs 京公网安备 11010802042870号
Book学术文献互助
Book学术文献互助群
群 号:604180095
Book学术官方微信