National and Subnational Burden of Cardiovascular Diseases in Iran from 1990 to 2021: Results from Global Burden of Diseases 2021 study.

IF 3.1 3区 医学 Q2 CARDIAC & CARDIOVASCULAR SYSTEMS
Global Heart Pub Date : 2025-05-16 eCollection Date: 2025-01-01 DOI:10.5334/gh.1429
Mahsa Heidari-Foroozan, Melina Farshbafnadi, Ali Golestani, Sepehr Younesian, Hosein Jafary, Mohammad-Mahdi Rashidi, Ozra Tabatabaei-Malazy, Nazila Rezaei, Mostafa Moghimi Kheirabady, Arash Bagherian Ghotbi, Seyyed-Hadi Ghamari
{"title":"National and Subnational Burden of Cardiovascular Diseases in Iran from 1990 to 2021: Results from Global Burden of Diseases 2021 study.","authors":"Mahsa Heidari-Foroozan, Melina Farshbafnadi, Ali Golestani, Sepehr Younesian, Hosein Jafary, Mohammad-Mahdi Rashidi, Ozra Tabatabaei-Malazy, Nazila Rezaei, Mostafa Moghimi Kheirabady, Arash Bagherian Ghotbi, Seyyed-Hadi Ghamari","doi":"10.5334/gh.1429","DOIUrl":null,"url":null,"abstract":"<p><strong>Introduction: </strong>In 2021, cardiovascular diseases (CVD) caused around 20.5 million deaths worldwide, making them a major health concern.</p><p><strong>Methods: </strong>Incidence, prevalence, death, years of life lost (YLL), years lived with disability (YLD), and disability-adjusted life years (DALYs) were the burden measures that were assessed. All measures are reported as both all-age numbers and age-standardized rates (ASR) with 95% uncertainty intervals (UI). Decomposition analysis was conducted on CVD incidence.</p><p><strong>Results: </strong>From 1990 to 2021, all-age CVD prevalence in Iran increased by 182.6% (2.9 to 8.3 million cases), with males consistently showing higher age-standardized prevalence rates (ASPR) than females (11,350 vs. 9,431 per 100,000 in 2021). ASPR remained stable nationally (9,956 to 10,386 per 100,000), peaking in adults ≥80 years. Incident cases rose by 159.6% (0.36 to 0.92 million), driven by population growth (49.5%) and aging (136.2%), while age-standardized incidence rates (ASIR) declined by 28.3% (1,337 to 1,197 per 100,000); with males (1,336) exhibiting higher rates than females (1,060) in 2021. All age deaths doubled (86,527 to 169,582) during this period, but age-standardized death rates (ASDR) decreased substantially by 42.97% (446 to 255 per 100,000). DALYs increased by 53.7% (2.4 to 3.7 million), though age-standardized DALY rates dropped 45.3% (9,096 to 4,977 per 100,000), dominated by ischemic heart disease (2,731 ASR) and stroke (1,229 ASR). High systolic blood pressure, dietary risks, and LDL cholesterol remained the leading contributors to DALYs nationwide.</p><p><strong>Conclusion: </strong>Iran's rising CVD burden demands prioritizing cardiac care infrastructure in underserved provinces like Golestan, enforcing sodium reduction policies aligned with Iran's existing trans-fat regulations, and integrating sex-specific programs such as tobacco control for males and community hypertension screening for women are critical. Multisectoral collaboration, including urban design promoting physical activity and subsidies for whole grains, must address provincial inequities exacerbated by Iran's aging population and dietary risks.</p>","PeriodicalId":56018,"journal":{"name":"Global Heart","volume":"20 1","pages":"43"},"PeriodicalIF":3.1000,"publicationDate":"2025-05-16","publicationTypes":"Journal Article","fieldsOfStudy":null,"isOpenAccess":false,"openAccessPdf":"https://www.ncbi.nlm.nih.gov/pmc/articles/PMC12083073/pdf/","citationCount":"0","resultStr":null,"platform":"Semanticscholar","paperid":null,"PeriodicalName":"Global Heart","FirstCategoryId":"3","ListUrlMain":"https://doi.org/10.5334/gh.1429","RegionNum":3,"RegionCategory":"医学","ArticlePicture":[],"TitleCN":null,"AbstractTextCN":null,"PMCID":null,"EPubDate":"2025/1/1 0:00:00","PubModel":"eCollection","JCR":"Q2","JCRName":"CARDIAC & CARDIOVASCULAR SYSTEMS","Score":null,"Total":0}
引用次数: 0

Abstract

Introduction: In 2021, cardiovascular diseases (CVD) caused around 20.5 million deaths worldwide, making them a major health concern.

Methods: Incidence, prevalence, death, years of life lost (YLL), years lived with disability (YLD), and disability-adjusted life years (DALYs) were the burden measures that were assessed. All measures are reported as both all-age numbers and age-standardized rates (ASR) with 95% uncertainty intervals (UI). Decomposition analysis was conducted on CVD incidence.

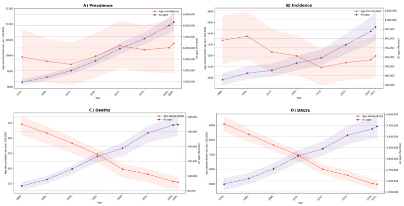
Results: From 1990 to 2021, all-age CVD prevalence in Iran increased by 182.6% (2.9 to 8.3 million cases), with males consistently showing higher age-standardized prevalence rates (ASPR) than females (11,350 vs. 9,431 per 100,000 in 2021). ASPR remained stable nationally (9,956 to 10,386 per 100,000), peaking in adults ≥80 years. Incident cases rose by 159.6% (0.36 to 0.92 million), driven by population growth (49.5%) and aging (136.2%), while age-standardized incidence rates (ASIR) declined by 28.3% (1,337 to 1,197 per 100,000); with males (1,336) exhibiting higher rates than females (1,060) in 2021. All age deaths doubled (86,527 to 169,582) during this period, but age-standardized death rates (ASDR) decreased substantially by 42.97% (446 to 255 per 100,000). DALYs increased by 53.7% (2.4 to 3.7 million), though age-standardized DALY rates dropped 45.3% (9,096 to 4,977 per 100,000), dominated by ischemic heart disease (2,731 ASR) and stroke (1,229 ASR). High systolic blood pressure, dietary risks, and LDL cholesterol remained the leading contributors to DALYs nationwide.

Conclusion: Iran's rising CVD burden demands prioritizing cardiac care infrastructure in underserved provinces like Golestan, enforcing sodium reduction policies aligned with Iran's existing trans-fat regulations, and integrating sex-specific programs such as tobacco control for males and community hypertension screening for women are critical. Multisectoral collaboration, including urban design promoting physical activity and subsidies for whole grains, must address provincial inequities exacerbated by Iran's aging population and dietary risks.

Abstract Image

Abstract Image

Abstract Image

1990年至2021年伊朗国家和地方心血管疾病负担:来自2021年全球疾病负担研究的结果
2021年,心血管疾病在全球造成约2050万人死亡,成为一个主要的健康问题。方法:以发病率、患病率、死亡、丧失生命年(YLL)、残疾生活年(YLD)和残疾调整生命年(DALYs)为评估负担指标。所有测量均以全年龄数字和年龄标准化率(ASR)报告,不确定性区间为95%。对CVD发病率进行分解分析。结果:从1990年到2021年,伊朗的全年龄心血管疾病患病率增加了182.6%(290万至830万例),男性的年龄标准化患病率(ASPR)始终高于女性(2021年为11,350比9,431 / 100,000)。ASPR在全国范围内保持稳定(每10万人中有9,956至10,386人),在≥80岁的成年人中达到峰值。在人口增长(49.5%)和老龄化(136.2%)的推动下,发病率上升了159.6%(0.36 - 0.92万),而年龄标准化发病率(ASIR)下降了28.3%(每10万人1337 - 1197);2021年,男性(1336人)的发病率高于女性(1060人)。在此期间,所有年龄段的死亡人数增加了一倍(86,527人至169,582人),但年龄标准化死亡率(ASDR)大幅下降了42.97%(每10万人446人至255人)。DALY增加了53.7%(240万至370万),尽管年龄标准化的DALY率下降了45.3%(每10万人9096至4977人),主要是缺血性心脏病(2731 ASR)和中风(1229 ASR)。在全国范围内,高收缩压、饮食风险和低密度脂蛋白胆固醇仍然是DALYs的主要原因。结论:伊朗不断上升的心血管疾病负担要求优先考虑戈列斯坦等服务不足省份的心脏保健基础设施,执行与伊朗现有反式脂肪法规一致的减钠政策,并整合针对性别的项目,如男性烟草控制和女性社区高血压筛查,这是至关重要的。多部门合作,包括促进身体活动的城市设计和全谷物补贴,必须解决因伊朗人口老龄化和饮食风险而加剧的省级不平等问题。
本文章由计算机程序翻译,如有差异,请以英文原文为准。
求助全文
约1分钟内获得全文 求助全文
来源期刊
Global Heart
Global Heart Medicine-Cardiology and Cardiovascular Medicine
CiteScore
5.70
自引率
5.40%
发文量
77
审稿时长
5 weeks
期刊介绍: Global Heart offers a forum for dialogue and education on research, developments, trends, solutions and public health programs related to the prevention and control of cardiovascular diseases (CVDs) worldwide, with a special focus on low- and middle-income countries (LMICs). Manuscripts should address not only the extent or epidemiology of the problem, but also describe interventions to effectively control and prevent CVDs and the underlying factors. The emphasis should be on approaches applicable in settings with limited resources. Economic evaluations of successful interventions are particularly welcome. We will also consider negative findings if important. While reports of hospital or clinic-based treatments are not excluded, particularly if they have broad implications for cost-effective disease control or prevention, we give priority to papers addressing community-based activities. We encourage submissions on cardiovascular surveillance and health policies, professional education, ethical issues and technological innovations related to prevention. Global Heart is particularly interested in publishing data from updated national or regional demographic health surveys, World Health Organization or Global Burden of Disease data, large clinical disease databases or registries. Systematic reviews or meta-analyses on globally relevant topics are welcome. We will also consider clinical research that has special relevance to LMICs, e.g. using validated instruments to assess health-related quality-of-life in patients from LMICs, innovative diagnostic-therapeutic applications, real-world effectiveness clinical trials, research methods (innovative methodologic papers, with emphasis on low-cost research methods or novel application of methods in low resource settings), and papers pertaining to cardiovascular health promotion and policy (quantitative evaluation of health programs.
×
引用
GB/T 7714-2015
复制
MLA
复制
APA
复制
导出至
BibTeX EndNote RefMan NoteFirst NoteExpress
×
提示
您的信息不完整,为了账户安全,请先补充。
现在去补充
×
提示
您因"违规操作"
具体请查看互助需知
我知道了
×
提示
确定
请完成安全验证×
copy
已复制链接
快去分享给好友吧!
我知道了
右上角分享
点击右上角分享
0
联系我们:info@booksci.cn Book学术提供免费学术资源搜索服务,方便国内外学者检索中英文文献。致力于提供最便捷和优质的服务体验。 Copyright © 2023 布克学术 All rights reserved.
京ICP备2023020795号-1
ghs 京公网安备 11010802042870号
Book学术文献互助
Book学术文献互助群
群 号:604180095
Book学术官方微信