Poor clinical outcomes among hospitalized obese patients with COVID-19 are related to inflammation and not respiratory mechanics.

IF 1.7 Q4 CRITICAL CARE MEDICINE
Journal of Critical Care Medicine Pub Date : 2025-04-30 eCollection Date: 2025-04-01 DOI:10.2478/jccm-2025-0012
Jordan N Edwards, Tomas Ganz, Elizabeta Nemeth, Emily J Martin, Nicholas J Jackson, Airie Kim
{"title":"Poor clinical outcomes among hospitalized obese patients with COVID-19 are related to inflammation and not respiratory mechanics.","authors":"Jordan N Edwards, Tomas Ganz, Elizabeta Nemeth, Emily J Martin, Nicholas J Jackson, Airie Kim","doi":"10.2478/jccm-2025-0012","DOIUrl":null,"url":null,"abstract":"<p><strong>Introduction: </strong>The coronavirus disease 2019 (COVID-19) has infected millions of people worldwide resulting in high morbidity and mortality. Obesity is known to cause metabolic derangements and precipitate worse outcomes from viral pneumonia, potentially secondary to increased inflammation and/or altered respiratory mechanics.</p><p><strong>Aim of the study: </strong>Our study's aim was to examine the relationships among BMI, systemic inflammation, and respiratory mechanics in determining clinical outcomes.</p><p><strong>Materials and methods: </strong>This retrospective, observational cohort study included 199 adult patients with confirmed COVID-19 who were hospitalized at a quaternary-referral academic health system. Data were manually extracted from electronic medical records, including baseline demographics and clinical profiles, inflammatory markers, measures of respiratory mechanics, and clinical outcomes. We used the rank-sum test to compare the distributions of BMI and inflammatory markers between those with and without specific clinical outcomes, and the Pearson correlation to measure the correlations between BMI and inflammatory markers or respiratory mechanics.</p><p><strong>Results: </strong>Higher BMI was associated with worse clinical outcomes, including the need for Intensive Care Unit (ICU) admission, invasive mechanical ventilation (IMV), neuromuscular blockade, and prone positioning, particularly in male patients. Inflammation, as measured by C-reactive protein, lactate dehydrogenase (LDH), ferritin, and D-Dimer, was also increased in both male and female patients who required ICU admission, IMV, neuromuscular blockade, and prone positioning. However, only male patients had a positive correlation of LDH and D-Dimer levels with BMI. There was no correlation between BMI and respiratory mechanics, as measured by static compliance and the response to prone positioning.</p><p><strong>Conclusions: </strong>Our findings suggest that the metabolic dysfunction and systemic inflammation seen in obesity, and not dysfunctional respiratory physiology, drive the negative clinical outcomes seen in this cohort of hospitalized COVID-19 patients.</p>","PeriodicalId":44227,"journal":{"name":"Journal of Critical Care Medicine","volume":"11 2","pages":"140-148"},"PeriodicalIF":1.7000,"publicationDate":"2025-04-30","publicationTypes":"Journal Article","fieldsOfStudy":null,"isOpenAccess":false,"openAccessPdf":"https://www.ncbi.nlm.nih.gov/pmc/articles/PMC12080559/pdf/","citationCount":"0","resultStr":null,"platform":"Semanticscholar","paperid":null,"PeriodicalName":"Journal of Critical Care Medicine","FirstCategoryId":"1085","ListUrlMain":"https://doi.org/10.2478/jccm-2025-0012","RegionNum":0,"RegionCategory":null,"ArticlePicture":[],"TitleCN":null,"AbstractTextCN":null,"PMCID":null,"EPubDate":"2025/4/1 0:00:00","PubModel":"eCollection","JCR":"Q4","JCRName":"CRITICAL CARE MEDICINE","Score":null,"Total":0}
引用次数: 0

Abstract

Introduction: The coronavirus disease 2019 (COVID-19) has infected millions of people worldwide resulting in high morbidity and mortality. Obesity is known to cause metabolic derangements and precipitate worse outcomes from viral pneumonia, potentially secondary to increased inflammation and/or altered respiratory mechanics.

Aim of the study: Our study's aim was to examine the relationships among BMI, systemic inflammation, and respiratory mechanics in determining clinical outcomes.

Materials and methods: This retrospective, observational cohort study included 199 adult patients with confirmed COVID-19 who were hospitalized at a quaternary-referral academic health system. Data were manually extracted from electronic medical records, including baseline demographics and clinical profiles, inflammatory markers, measures of respiratory mechanics, and clinical outcomes. We used the rank-sum test to compare the distributions of BMI and inflammatory markers between those with and without specific clinical outcomes, and the Pearson correlation to measure the correlations between BMI and inflammatory markers or respiratory mechanics.

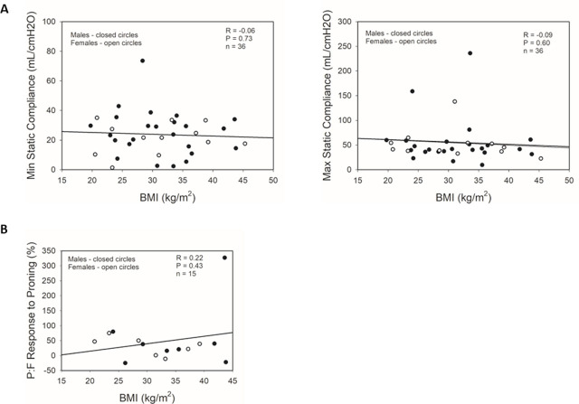
Results: Higher BMI was associated with worse clinical outcomes, including the need for Intensive Care Unit (ICU) admission, invasive mechanical ventilation (IMV), neuromuscular blockade, and prone positioning, particularly in male patients. Inflammation, as measured by C-reactive protein, lactate dehydrogenase (LDH), ferritin, and D-Dimer, was also increased in both male and female patients who required ICU admission, IMV, neuromuscular blockade, and prone positioning. However, only male patients had a positive correlation of LDH and D-Dimer levels with BMI. There was no correlation between BMI and respiratory mechanics, as measured by static compliance and the response to prone positioning.

Conclusions: Our findings suggest that the metabolic dysfunction and systemic inflammation seen in obesity, and not dysfunctional respiratory physiology, drive the negative clinical outcomes seen in this cohort of hospitalized COVID-19 patients.

Abstract Image

Abstract Image

Abstract Image

住院的肥胖COVID-19患者的不良临床结果与炎症有关,而与呼吸力学无关。
2019冠状病毒病(COVID-19)已感染全球数百万人,导致高发病率和死亡率。已知肥胖会导致代谢紊乱,并导致病毒性肺炎的更糟糕结果,可能继发于炎症增加和/或呼吸机制改变。研究目的:我们的研究目的是研究BMI、全身性炎症和呼吸力学在决定临床结果方面的关系。材料和方法:这项回顾性、观察性队列研究包括199名在四级转诊学术卫生系统住院的确诊COVID-19成年患者。从电子病历中手动提取数据,包括基线人口统计学和临床概况、炎症标志物、呼吸力学测量和临床结果。我们使用秩和检验来比较有和没有特定临床结局的患者BMI和炎症指标的分布,并使用Pearson相关性来衡量BMI和炎症指标或呼吸力学之间的相关性。结果:较高的BMI与较差的临床结果相关,包括需要重症监护病房(ICU)入院、有创机械通气(IMV)、神经肌肉阻滞和俯卧位,尤其是男性患者。通过c反应蛋白、乳酸脱氢酶(LDH)、铁蛋白和d -二聚体测量,在需要ICU住院、IMV、神经肌肉阻断和俯卧位的男性和女性患者中,炎症也有所增加。然而,只有男性患者LDH和d -二聚体水平与BMI呈正相关。通过静态依从性和俯卧位的反应来衡量,BMI和呼吸力学之间没有相关性。结论:我们的研究结果表明,在这组住院的COVID-19患者中,肥胖患者的代谢功能障碍和全身性炎症,而不是呼吸生理功能障碍,导致了负面的临床结果。
本文章由计算机程序翻译,如有差异,请以英文原文为准。
求助全文
约1分钟内获得全文 求助全文
来源期刊
Journal of Critical Care Medicine
Journal of Critical Care Medicine CRITICAL CARE MEDICINE-
CiteScore
2.00
自引率
9.10%
发文量
21
审稿时长
11 weeks
×
引用
GB/T 7714-2015
复制
MLA
复制
APA
复制
导出至
BibTeX EndNote RefMan NoteFirst NoteExpress
×
提示
您的信息不完整,为了账户安全,请先补充。
现在去补充
×
提示
您因"违规操作"
具体请查看互助需知
我知道了
×
提示
确定
请完成安全验证×
copy
已复制链接
快去分享给好友吧!
我知道了
右上角分享
点击右上角分享
0
联系我们:info@booksci.cn Book学术提供免费学术资源搜索服务,方便国内外学者检索中英文文献。致力于提供最便捷和优质的服务体验。 Copyright © 2023 布克学术 All rights reserved.
京ICP备2023020795号-1
ghs 京公网安备 11010802042870号
Book学术文献互助
Book学术文献互助群
群 号:604180095
Book学术官方微信