The effect of antiseizure medication on mortality in spontaneous aneurysmal subarachnoid hemorrhage.

IF 1.7 Q4 CRITICAL CARE MEDICINE
Journal of Critical Care Medicine Pub Date : 2025-04-30 eCollection Date: 2025-04-01 DOI:10.2478/jccm-2025-0014
John Harold Kanter, Adam C Glaser, Pablo Martinez-Camblor, Jakob V E Gerstl, Anna B Lebouille-Veldman, Harshit Arora, Lauren Buhl, Myles D Boone, Christopher S Ogilvy
{"title":"The effect of antiseizure medication on mortality in spontaneous aneurysmal subarachnoid hemorrhage.","authors":"John Harold Kanter, Adam C Glaser, Pablo Martinez-Camblor, Jakob V E Gerstl, Anna B Lebouille-Veldman, Harshit Arora, Lauren Buhl, Myles D Boone, Christopher S Ogilvy","doi":"10.2478/jccm-2025-0014","DOIUrl":null,"url":null,"abstract":"<p><strong>Background: </strong>Spontaneous aneurysmal subarachnoid hemorrhage (aSAH) is a major cause of morbidity and mortality in the United States. The efficacy of early antiseizure medication (ASM) is debated. Recent literature reports seizure rates ranging from 7.8% to 15.2% following spontaneous aSAH. Current guidelines recommend use of early ASM in patients with \"high-risk features,\" but whether early ASM use decreases the rate of death associated with aSAH remains unclear. This study assessed whether early administration of early ASM impacts mortality rates after spontaneous aSAH.</p><p><strong>Methods: </strong>We conducted a retrospective cohort study using a publicly available dataset from the Massachusetts Institute of Technology, Medical Information Mart for Intensive Care-III (MIMIC) database of all patients over the age of 18 with spontaneous aSAH resulting in an intensive care unit (ICU) admission to a major United States trauma center from 2001 to 2012. The primary exposure was receiving early ASM and primary outcome of death within 7 days. Different regression models were created to explore the association between early ASM administration within 24 hours of admission and a composite outcome of seizure and/or death within 7 days of admission. Secondary outcomes included 30-day and one-year mortality.</p><p><strong>Results: </strong>Of 253 patients with spontaneous aSAH, 148 received early ASM within 24 hours. Patients who did receive early ASM were less likely to die within 7 days of admission (adjusted odd ratio, [aOR]: 0.26 95% CI 0.10 to 0.68; P=0.006) but were more likely to have a seizure (aOR: 7.63 95% CI 2.07 to 28.17; P=0.002).</p><p><strong>Conclusion: </strong>Early ASM administration was associated with lower rates of death and composite death/seizure within 7 days of admission among patients who presented to an ICU with spontaneous aSAH. These findings suggest broader use of early ASM in patients who present with spontaneous aSAH may improve early mortality.</p>","PeriodicalId":44227,"journal":{"name":"Journal of Critical Care Medicine","volume":"11 2","pages":"173-182"},"PeriodicalIF":1.7000,"publicationDate":"2025-04-30","publicationTypes":"Journal Article","fieldsOfStudy":null,"isOpenAccess":false,"openAccessPdf":"https://www.ncbi.nlm.nih.gov/pmc/articles/PMC12080531/pdf/","citationCount":"0","resultStr":null,"platform":"Semanticscholar","paperid":null,"PeriodicalName":"Journal of Critical Care Medicine","FirstCategoryId":"1085","ListUrlMain":"https://doi.org/10.2478/jccm-2025-0014","RegionNum":0,"RegionCategory":null,"ArticlePicture":[],"TitleCN":null,"AbstractTextCN":null,"PMCID":null,"EPubDate":"2025/4/1 0:00:00","PubModel":"eCollection","JCR":"Q4","JCRName":"CRITICAL CARE MEDICINE","Score":null,"Total":0}
引用次数: 0

Abstract

Background: Spontaneous aneurysmal subarachnoid hemorrhage (aSAH) is a major cause of morbidity and mortality in the United States. The efficacy of early antiseizure medication (ASM) is debated. Recent literature reports seizure rates ranging from 7.8% to 15.2% following spontaneous aSAH. Current guidelines recommend use of early ASM in patients with "high-risk features," but whether early ASM use decreases the rate of death associated with aSAH remains unclear. This study assessed whether early administration of early ASM impacts mortality rates after spontaneous aSAH.

Methods: We conducted a retrospective cohort study using a publicly available dataset from the Massachusetts Institute of Technology, Medical Information Mart for Intensive Care-III (MIMIC) database of all patients over the age of 18 with spontaneous aSAH resulting in an intensive care unit (ICU) admission to a major United States trauma center from 2001 to 2012. The primary exposure was receiving early ASM and primary outcome of death within 7 days. Different regression models were created to explore the association between early ASM administration within 24 hours of admission and a composite outcome of seizure and/or death within 7 days of admission. Secondary outcomes included 30-day and one-year mortality.

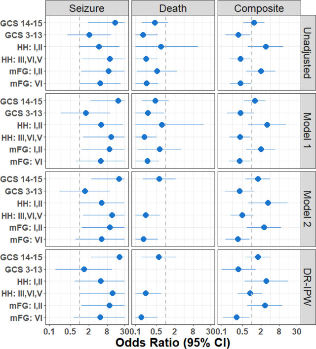
Results: Of 253 patients with spontaneous aSAH, 148 received early ASM within 24 hours. Patients who did receive early ASM were less likely to die within 7 days of admission (adjusted odd ratio, [aOR]: 0.26 95% CI 0.10 to 0.68; P=0.006) but were more likely to have a seizure (aOR: 7.63 95% CI 2.07 to 28.17; P=0.002).

Conclusion: Early ASM administration was associated with lower rates of death and composite death/seizure within 7 days of admission among patients who presented to an ICU with spontaneous aSAH. These findings suggest broader use of early ASM in patients who present with spontaneous aSAH may improve early mortality.

Abstract Image

Abstract Image

Abstract Image

抗癫痫药物对自发性动脉瘤性蛛网膜下腔出血患者死亡率的影响。
背景:自发性动脉瘤性蛛网膜下腔出血(aSAH)是美国发病率和死亡率的主要原因。早期抗癫痫药物(ASM)的疗效存在争议。最近的文献报道自发性aSAH后的癫痫发作率为7.8%至15.2%。目前的指南建议在具有“高危特征”的患者中使用早期ASM,但早期ASM是否能降低与aSAH相关的死亡率尚不清楚。本研究评估早期给药是否会影响自发性aSAH后的死亡率。方法:我们使用麻省理工学院重症监护医学信息市场iii (MIMIC)数据库的公开数据集进行了一项回顾性队列研究,研究对象为2001年至2012年期间在美国一家主要创伤中心重症监护病房(ICU)住院的所有18岁以上自发性aSAH患者。主要暴露是早期ASM,主要结局是7天内死亡。建立了不同的回归模型来探讨入院24小时内早期ASM给药与入院7天内癫痫发作和/或死亡的综合结果之间的关系。次要结局包括30天和1年死亡率。结果:253例自发性aSAH患者中,148例在24小时内接受了早期ASM。接受早期ASM的患者在入院后7天内死亡的可能性较小(调整奇数比,[aOR]: 0.26 95% CI 0.10至0.68;P=0.006),但更容易发生癫痫发作(aOR: 7.63 95% CI 2.07 ~ 28.17;P = 0.002)。结论:在以自发性aSAH就诊的ICU患者中,早期使用ASM与入院后7天内较低的死亡率和复合死亡/癫痫发作率相关。这些发现表明,在自发性aSAH患者中广泛使用早期ASM可能会改善早期死亡率。
本文章由计算机程序翻译,如有差异,请以英文原文为准。
求助全文
约1分钟内获得全文 求助全文
来源期刊
Journal of Critical Care Medicine
Journal of Critical Care Medicine CRITICAL CARE MEDICINE-
CiteScore
2.00
自引率
9.10%
发文量
21
审稿时长
11 weeks
×
引用
GB/T 7714-2015
复制
MLA
复制
APA
复制
导出至
BibTeX EndNote RefMan NoteFirst NoteExpress
×
提示
您的信息不完整,为了账户安全,请先补充。
现在去补充
×
提示
您因"违规操作"
具体请查看互助需知
我知道了
×
提示
确定
请完成安全验证×
copy
已复制链接
快去分享给好友吧!
我知道了
右上角分享
点击右上角分享
0
联系我们:info@booksci.cn Book学术提供免费学术资源搜索服务,方便国内外学者检索中英文文献。致力于提供最便捷和优质的服务体验。 Copyright © 2023 布克学术 All rights reserved.
京ICP备2023020795号-1
ghs 京公网安备 11010802042870号
Book学术文献互助
Book学术文献互助群
群 号:604180095
Book学术官方微信