Assessment of left ventricular systolic function using pressure-strain loops in offspring of women with gestational diabetes mellitus: a prospective cohort study.

IF 2.1 3区 医学 Q3 CARDIAC & CARDIOVASCULAR SYSTEMS
Cardiovascular diagnosis and therapy Pub Date : 2025-04-30 Epub Date: 2025-04-14 DOI:10.21037/cdt-24-450
Xu-Feng Cao, Li-Li Su, Ying-Chao Fan, Jun Li, Ning Zhang, Hai-Yan Niu, Rui-Fang Wang, Hui-Fang Liu
{"title":"Assessment of left ventricular systolic function using pressure-strain loops in offspring of women with gestational diabetes mellitus: a prospective cohort study.","authors":"Xu-Feng Cao, Li-Li Su, Ying-Chao Fan, Jun Li, Ning Zhang, Hai-Yan Niu, Rui-Fang Wang, Hui-Fang Liu","doi":"10.21037/cdt-24-450","DOIUrl":null,"url":null,"abstract":"<p><strong>Background: </strong>Gestational diabetes mellitus (GDM) increases the risk of cardiovascular abnormalities in offspring. The objective of this study is to assess changes in left ventricular myocardial work using the left ventricular pressure-strain loop (LVPSL) method in neonates born to mothers with GDM. The aim of the research is to examine early impairments in neonatal left ventricular systolic function and to investigate whether these impairments persist over time.</p><p><strong>Methods: </strong>In a prospective cohort study, we enrolled 61 neonates born to mothers with GDM and 30 healthy neonates born to mothers without pregnancy complications between August 2021 and March 2023 using a random method. The GDM group was further subdivided based on maternal hemoglobin A1c (HbA1c) levels into those with HbA1c ≤6.5% and those with HbA1c >6.5%. Echocardiographic assessments and left ventricular myocardial work parameters were measured and compared across the three groups using one-way analysis of variance (ANOVA) with multiple comparisons conducted using the Least Significant Difference t (LSD-T) test and multiple correction using the Bonferroni method in terms of data of normal distribution and homoscedasticity. Non-normally distributed data were presented as median (first quartile, third quartile) [M (Q1, Q3)] and compared using the Kruskal-Wallis <i>H</i> test. The correlation between myocardial work parameters in neonates born to mothers with GDM and the maternal HbA1c levels was also analyzed using Pearson correlation analysis or Spearman's rank correlation.</p><p><strong>Results: </strong>The enrolled 61 neonates born to women with GDM comprised 34 male and 27 female neonates, with a gestational age (GA) of 38.9±1.7 weeks. The control group 30 healthy neonates comprised 17 males and 13 females, with a GA of 39.1±1.8 weeks. Neonates in the HbA1c ≤6.5% and HbA1c >6.5% groups demonstrated increased interventricular septal thickness (IVSD) (P<0.05) compared to the control group. However, no significant differences in IVSD were observed among the groups after a 12-month follow-up (P>0.05). At birth and during the 12-month follow-up, global longitudinal strain (GLS), global work index (GWI), and global constructive work (GCW) values were lower in both HbA1c groups compared to the control group, with the HbA1c >6.5% group revealing significantly reduced GLS, GWI, and GCW (P<0.05). Neonatal GLS exhibited a positive correlation with maternal HbA1c, whereas GWI and GCW revealed negative correlations (r=0.683, r=-0.709, r=-0.688, P<0.001).</p><p><strong>Conclusions: </strong>The LVPSL method can examine early impairments in left ventricular systolic function in neonates born to mothers with GDM. More severe impairments are associated with poorer glycemic control during pregnancy, as indicated by higher maternal HbA1c levels. These functional impairments persist in the offspring 12 months postpartum.</p>","PeriodicalId":9592,"journal":{"name":"Cardiovascular diagnosis and therapy","volume":"15 2","pages":"388-397"},"PeriodicalIF":2.1000,"publicationDate":"2025-04-30","publicationTypes":"Journal Article","fieldsOfStudy":null,"isOpenAccess":false,"openAccessPdf":"https://www.ncbi.nlm.nih.gov/pmc/articles/PMC12082216/pdf/","citationCount":"0","resultStr":null,"platform":"Semanticscholar","paperid":null,"PeriodicalName":"Cardiovascular diagnosis and therapy","FirstCategoryId":"3","ListUrlMain":"https://doi.org/10.21037/cdt-24-450","RegionNum":3,"RegionCategory":"医学","ArticlePicture":[],"TitleCN":null,"AbstractTextCN":null,"PMCID":null,"EPubDate":"2025/4/14 0:00:00","PubModel":"Epub","JCR":"Q3","JCRName":"CARDIAC & CARDIOVASCULAR SYSTEMS","Score":null,"Total":0}
引用次数: 0

Abstract

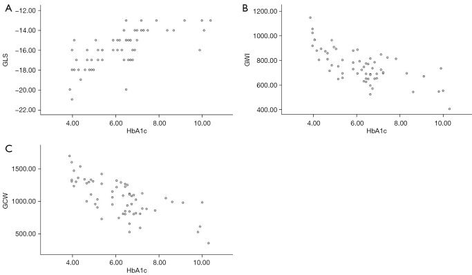
Background: Gestational diabetes mellitus (GDM) increases the risk of cardiovascular abnormalities in offspring. The objective of this study is to assess changes in left ventricular myocardial work using the left ventricular pressure-strain loop (LVPSL) method in neonates born to mothers with GDM. The aim of the research is to examine early impairments in neonatal left ventricular systolic function and to investigate whether these impairments persist over time.

Methods: In a prospective cohort study, we enrolled 61 neonates born to mothers with GDM and 30 healthy neonates born to mothers without pregnancy complications between August 2021 and March 2023 using a random method. The GDM group was further subdivided based on maternal hemoglobin A1c (HbA1c) levels into those with HbA1c ≤6.5% and those with HbA1c >6.5%. Echocardiographic assessments and left ventricular myocardial work parameters were measured and compared across the three groups using one-way analysis of variance (ANOVA) with multiple comparisons conducted using the Least Significant Difference t (LSD-T) test and multiple correction using the Bonferroni method in terms of data of normal distribution and homoscedasticity. Non-normally distributed data were presented as median (first quartile, third quartile) [M (Q1, Q3)] and compared using the Kruskal-Wallis H test. The correlation between myocardial work parameters in neonates born to mothers with GDM and the maternal HbA1c levels was also analyzed using Pearson correlation analysis or Spearman's rank correlation.

Results: The enrolled 61 neonates born to women with GDM comprised 34 male and 27 female neonates, with a gestational age (GA) of 38.9±1.7 weeks. The control group 30 healthy neonates comprised 17 males and 13 females, with a GA of 39.1±1.8 weeks. Neonates in the HbA1c ≤6.5% and HbA1c >6.5% groups demonstrated increased interventricular septal thickness (IVSD) (P<0.05) compared to the control group. However, no significant differences in IVSD were observed among the groups after a 12-month follow-up (P>0.05). At birth and during the 12-month follow-up, global longitudinal strain (GLS), global work index (GWI), and global constructive work (GCW) values were lower in both HbA1c groups compared to the control group, with the HbA1c >6.5% group revealing significantly reduced GLS, GWI, and GCW (P<0.05). Neonatal GLS exhibited a positive correlation with maternal HbA1c, whereas GWI and GCW revealed negative correlations (r=0.683, r=-0.709, r=-0.688, P<0.001).

Conclusions: The LVPSL method can examine early impairments in left ventricular systolic function in neonates born to mothers with GDM. More severe impairments are associated with poorer glycemic control during pregnancy, as indicated by higher maternal HbA1c levels. These functional impairments persist in the offspring 12 months postpartum.

Abstract Image

Abstract Image

Abstract Image

使用压力-应变环评估妊娠期糖尿病妇女后代左心室收缩功能:一项前瞻性队列研究。
背景:妊娠期糖尿病(GDM)增加子代心血管异常的风险。本研究的目的是利用左心室压力-应变环(LVPSL)方法评估GDM母亲所生新生儿左心室心肌功的变化。该研究的目的是检查新生儿左心室收缩功能的早期损害,并调查这些损害是否持续一段时间。方法:在一项前瞻性队列研究中,我们采用随机方法,在2021年8月至2023年3月期间招募了61名GDM母亲所生的新生儿和30名无妊娠并发症母亲所生的健康新生儿。根据母体血红蛋白A1c (HbA1c)水平将GDM组进一步细分为HbA1c≤6.5%组和HbA1c≤6.5%组。采用单因素方差分析(ANOVA)对三组患者的超声心动图评价和左心室心肌功参数进行比较,采用LSD-T检验进行多重比较,采用Bonferroni法对正态分布和均方差进行多重校正。非正态分布数据以中位数(第一四分位数,第三四分位数)表示[M (Q1, Q3)],并使用Kruskal-Wallis H检验进行比较。采用Pearson相关分析或Spearman秩相关分析GDM母亲所生新生儿心肌功参数与母亲HbA1c水平的相关性。结果:纳入61例GDM孕妇所生新生儿,其中男34例,女27例,胎龄(GA)为38.9±1.7周。对照组健康新生儿30例,男17例,女13例,GA为39.1±1.8周。HbA1c≤6.5%和HbA1c≤6.5%组新生儿室间隔厚度(IVSD)增加(P0.05)。出生时和12个月随访期间,两组HbA1c患者的总纵向应变(GLS)、总功指数(GWI)和总建设性功(GCW)值均低于对照组,其中HbA1c≤6.5%组GLS、GWI和GCW值均显著降低(结论:LVPSL方法可以检测GDM母亲所生新生儿左室收缩功能的早期损害。更严重的损害与妊娠期间较差的血糖控制相关,如母体HbA1c水平较高所示。这些功能障碍在产后12个月仍然存在。
本文章由计算机程序翻译,如有差异,请以英文原文为准。
求助全文
约1分钟内获得全文 求助全文
来源期刊
Cardiovascular diagnosis and therapy
Cardiovascular diagnosis and therapy Medicine-Cardiology and Cardiovascular Medicine
CiteScore
4.90
自引率
4.20%
发文量
45
期刊介绍: The journal ''Cardiovascular Diagnosis and Therapy'' (Print ISSN: 2223-3652; Online ISSN: 2223-3660) accepts basic and clinical science submissions related to Cardiovascular Medicine and Surgery. The mission of the journal is the rapid exchange of scientific information between clinicians and scientists worldwide. To reach this goal, the journal will focus on novel media, using a web-based, digital format in addition to traditional print-version. This includes on-line submission, review, publication, and distribution. The digital format will also allow submission of extensive supporting visual material, both images and video. The website www.thecdt.org will serve as the central hub and also allow posting of comments and on-line discussion. The web-site of the journal will be linked to a number of international web-sites (e.g. www.dxy.cn), which will significantly expand the distribution of its contents.
×
引用
GB/T 7714-2015
复制
MLA
复制
APA
复制
导出至
BibTeX EndNote RefMan NoteFirst NoteExpress
×
提示
您的信息不完整,为了账户安全,请先补充。
现在去补充
×
提示
您因"违规操作"
具体请查看互助需知
我知道了
×
提示
确定
请完成安全验证×
copy
已复制链接
快去分享给好友吧!
我知道了
右上角分享
点击右上角分享
0
联系我们:info@booksci.cn Book学术提供免费学术资源搜索服务,方便国内外学者检索中英文文献。致力于提供最便捷和优质的服务体验。 Copyright © 2023 布克学术 All rights reserved.
京ICP备2023020795号-1
ghs 京公网安备 11010802042870号
Book学术文献互助
Book学术文献互助群
群 号:604180095
Book学术官方微信