Dynamic Modeling of Vinyl Chloride Suspension Polymerization in a Continuous Oscillatory Baffled Reactor

IF 1.6 4区 工程技术 Q3 POLYMER SCIENCE
Jonildo dos Santos Silva, Príamo Albuquerque Melo, Rita Marinho, Normando José Castro de Jesus, Márcio Henrique Santos Andrade, Priscila Martins Beck, José Carlos Pinto
{"title":"Dynamic Modeling of Vinyl Chloride Suspension Polymerization in a Continuous Oscillatory Baffled Reactor","authors":"Jonildo dos Santos Silva,&nbsp;Príamo Albuquerque Melo,&nbsp;Rita Marinho,&nbsp;Normando José Castro de Jesus,&nbsp;Márcio Henrique Santos Andrade,&nbsp;Priscila Martins Beck,&nbsp;José Carlos Pinto","doi":"10.1002/mats.202400089","DOIUrl":null,"url":null,"abstract":"<p>In the present work, a phenomenological model built to represent the suspension polymerization of vinyl chloride in a continuous oscillatory baffled reactor is presented for the first time. Following a previous work (Silva et al., Chemical Engineering Science, 288, 119845, 2024), a tanks-in-series model is employed to represent the reactor and a backflow stream is also considered to simulate backmixing. The intrinsic heterogeneous behavior of vinyl chloride polymerization adds model complexity in comparison to vinyl acetate polymerization reported in the literature. Moreover, the stronger gel effect also makes the temperature control difficult since a higher number of cooling jackets is required to keep a uniform temperature profile. The influence of residence time on reactor operation is investigated. Furthermore, the effects of initiator type and injection points on the polymerization rates and polymer properties are evaluated and shown to influence the process operation significantly.</p>","PeriodicalId":18157,"journal":{"name":"Macromolecular Theory and Simulations","volume":"34 3","pages":""},"PeriodicalIF":1.6000,"publicationDate":"2025-02-07","publicationTypes":"Journal Article","fieldsOfStudy":null,"isOpenAccess":false,"openAccessPdf":"","citationCount":"0","resultStr":null,"platform":"Semanticscholar","paperid":null,"PeriodicalName":"Macromolecular Theory and Simulations","FirstCategoryId":"5","ListUrlMain":"https://onlinelibrary.wiley.com/doi/10.1002/mats.202400089","RegionNum":4,"RegionCategory":"工程技术","ArticlePicture":[],"TitleCN":null,"AbstractTextCN":null,"PMCID":null,"EPubDate":"","PubModel":"","JCR":"Q3","JCRName":"POLYMER SCIENCE","Score":null,"Total":0}
引用次数: 0

Abstract

In the present work, a phenomenological model built to represent the suspension polymerization of vinyl chloride in a continuous oscillatory baffled reactor is presented for the first time. Following a previous work (Silva et al., Chemical Engineering Science, 288, 119845, 2024), a tanks-in-series model is employed to represent the reactor and a backflow stream is also considered to simulate backmixing. The intrinsic heterogeneous behavior of vinyl chloride polymerization adds model complexity in comparison to vinyl acetate polymerization reported in the literature. Moreover, the stronger gel effect also makes the temperature control difficult since a higher number of cooling jackets is required to keep a uniform temperature profile. The influence of residence time on reactor operation is investigated. Furthermore, the effects of initiator type and injection points on the polymerization rates and polymer properties are evaluated and shown to influence the process operation significantly.

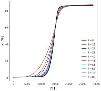
Abstract Image

连续振荡折流板反应器中氯乙烯悬浮聚合动力学建模
在本工作中,首次建立了一个表征氯乙烯在连续振荡挡板反应器中悬浮聚合的现象学模型。根据之前的工作(Silva et al., Chemical Engineering Science, 288, 119845,2024),采用串联罐模型来表示反应器,并考虑回流流来模拟返混。与文献中报道的醋酸乙烯聚合相比,氯乙烯聚合固有的非均相行为增加了模型的复杂性。此外,更强的凝胶效应也使温度控制困难,因为需要更多的冷却套来保持均匀的温度剖面。研究了停留时间对反应器运行的影响。此外,还评估了引发剂类型和注射点对聚合速率和聚合物性能的影响,并表明它们对工艺操作有显著影响。
本文章由计算机程序翻译,如有差异,请以英文原文为准。
求助全文
约1分钟内获得全文 求助全文
来源期刊
Macromolecular Theory and Simulations
Macromolecular Theory and Simulations 工程技术-高分子科学
CiteScore
3.00
自引率
14.30%
发文量
45
审稿时长
2 months
期刊介绍: Macromolecular Theory and Simulations is the only high-quality polymer science journal dedicated exclusively to theory and simulations, covering all aspects from macromolecular theory to advanced computer simulation techniques.
×
引用
GB/T 7714-2015
复制
MLA
复制
APA
复制
导出至
BibTeX EndNote RefMan NoteFirst NoteExpress
×
提示
您的信息不完整,为了账户安全,请先补充。
现在去补充
×
提示
您因"违规操作"
具体请查看互助需知
我知道了
×
提示
确定
请完成安全验证×
copy
已复制链接
快去分享给好友吧!
我知道了
右上角分享
点击右上角分享
0
联系我们:info@booksci.cn Book学术提供免费学术资源搜索服务,方便国内外学者检索中英文文献。致力于提供最便捷和优质的服务体验。 Copyright © 2023 布克学术 All rights reserved.
京ICP备2023020795号-1
ghs 京公网安备 11010802042870号
Book学术文献互助
Book学术文献互助群
群 号:604180095
Book学术官方微信