A Cost-Effectiveness Analysis for Avelumab as a First-Line Maintenance Treatment of Advanced Urothelial Carcinoma in the Netherlands.

IF 3.2 Q2 ONCOLOGY
Oncology and Therapy Pub Date : 2025-09-01 Epub Date: 2025-05-17 DOI:10.1007/s40487-025-00345-3
David Smalbrugge, Tim Walsteijn, Jeantine de Feijter, Britt Suelmann, Mairead Kearney, Agnes Benedict, Venediktos Kapetanakis, Sophie van Beekhuizen
{"title":"A Cost-Effectiveness Analysis for Avelumab as a First-Line Maintenance Treatment of Advanced Urothelial Carcinoma in the Netherlands.","authors":"David Smalbrugge, Tim Walsteijn, Jeantine de Feijter, Britt Suelmann, Mairead Kearney, Agnes Benedict, Venediktos Kapetanakis, Sophie van Beekhuizen","doi":"10.1007/s40487-025-00345-3","DOIUrl":null,"url":null,"abstract":"<p><strong>Introduction: </strong>Advanced or metastatic urothelial carcinoma (UC) is an incurable disease with a high disease burden and a poor prognosis. Avelumab as first-line (1L) maintenance treatment is an innovative therapy option for patients with advanced or metastatic UC that has not progressed after 4-6 cycles of 1L platinum-based chemotherapy. This study aimed to assess the cost-effectiveness of avelumab maintenance treatment plus best supportive care (BSC) versus BSC alone from a Dutch societal perspective.</p><p><strong>Methods: </strong>A partitioned survival model was developed incorporating JAVELIN Bladder 100 trial data to inform overall and progression-free survival, adverse events incidence, and health-state utilities. Costs for drugs, healthcare resource use, adverse events, and indirect costs were obtained from national databases, the Dutch costing manual, and published literature. Assumptions were validated by clinical experts. An incremental cost-effectiveness ratio (ICER) was determined using lifetime incremental costs and quality-adjusted life years (QALY).</p><p><strong>Results: </strong>Avelumab 1L maintenance treatment plus BSC was estimated to have €48,186 discounted incremental costs and 0.63 discounted incremental QALYs versus BSC alone, leading to a base-case ICER of €76,450, supported by consistent scenario and sensitivity analyses.</p><p><strong>Conclusion: </strong>Avelumab 1L maintenance treatment is likely to be a cost-effective treatment in advanced or metastatic urothelial carcinoma in the Netherlands.</p>","PeriodicalId":44205,"journal":{"name":"Oncology and Therapy","volume":" ","pages":"617-629"},"PeriodicalIF":3.2000,"publicationDate":"2025-09-01","publicationTypes":"Journal Article","fieldsOfStudy":null,"isOpenAccess":false,"openAccessPdf":"https://www.ncbi.nlm.nih.gov/pmc/articles/PMC12378801/pdf/","citationCount":"0","resultStr":null,"platform":"Semanticscholar","paperid":null,"PeriodicalName":"Oncology and Therapy","FirstCategoryId":"1085","ListUrlMain":"https://doi.org/10.1007/s40487-025-00345-3","RegionNum":0,"RegionCategory":null,"ArticlePicture":[],"TitleCN":null,"AbstractTextCN":null,"PMCID":null,"EPubDate":"2025/5/17 0:00:00","PubModel":"Epub","JCR":"Q2","JCRName":"ONCOLOGY","Score":null,"Total":0}
引用次数: 0

Abstract

Introduction: Advanced or metastatic urothelial carcinoma (UC) is an incurable disease with a high disease burden and a poor prognosis. Avelumab as first-line (1L) maintenance treatment is an innovative therapy option for patients with advanced or metastatic UC that has not progressed after 4-6 cycles of 1L platinum-based chemotherapy. This study aimed to assess the cost-effectiveness of avelumab maintenance treatment plus best supportive care (BSC) versus BSC alone from a Dutch societal perspective.

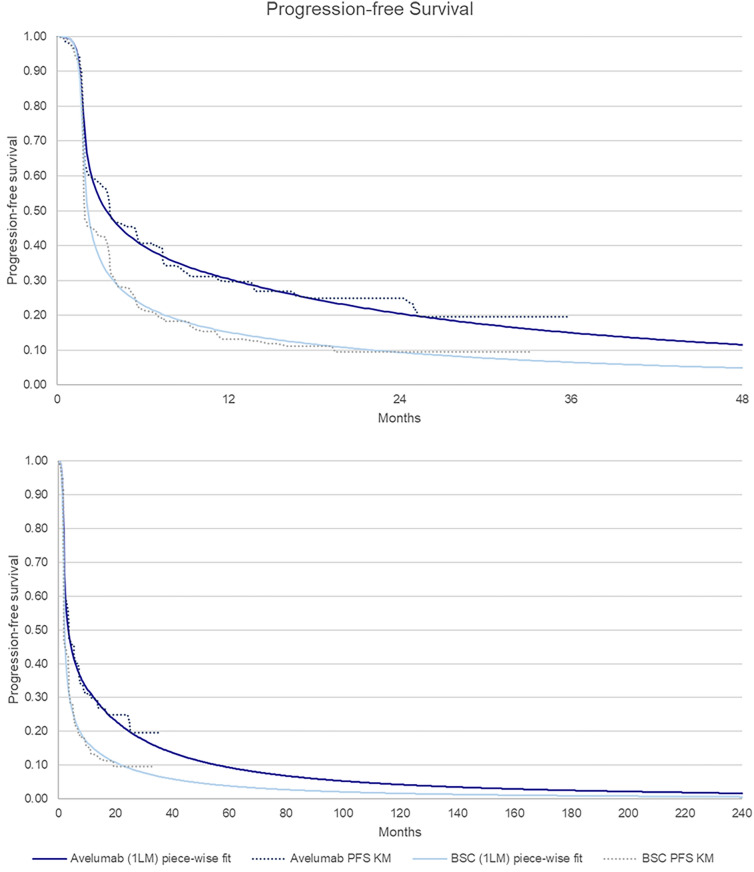
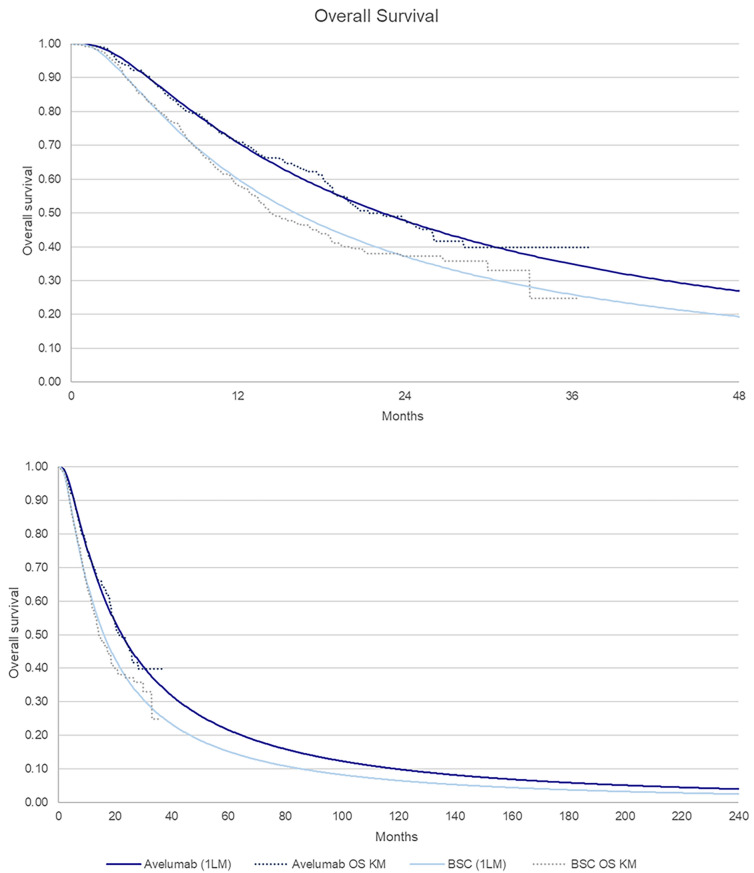
Methods: A partitioned survival model was developed incorporating JAVELIN Bladder 100 trial data to inform overall and progression-free survival, adverse events incidence, and health-state utilities. Costs for drugs, healthcare resource use, adverse events, and indirect costs were obtained from national databases, the Dutch costing manual, and published literature. Assumptions were validated by clinical experts. An incremental cost-effectiveness ratio (ICER) was determined using lifetime incremental costs and quality-adjusted life years (QALY).

Results: Avelumab 1L maintenance treatment plus BSC was estimated to have €48,186 discounted incremental costs and 0.63 discounted incremental QALYs versus BSC alone, leading to a base-case ICER of €76,450, supported by consistent scenario and sensitivity analyses.

Conclusion: Avelumab 1L maintenance treatment is likely to be a cost-effective treatment in advanced or metastatic urothelial carcinoma in the Netherlands.

Abstract Image

Abstract Image

Abstract Image

Avelumab作为荷兰晚期尿路上皮癌一线维持治疗的成本-效果分析
晚期或转移性尿路上皮癌(UC)是一种疾病负担高、预后差的不治之症。Avelumab作为一线(1L)维持治疗是晚期或转移性UC患者在4-6个周期的1L铂基化疗后未进展的创新治疗选择。本研究旨在从荷兰社会的角度评估avelumab维持治疗加最佳支持治疗(BSC)与单独BSC的成本效益。方法:采用JAVELIN膀胱100试验数据建立分区生存模型,以了解总体和无进展生存、不良事件发生率和健康状态效用。药物、医疗资源使用、不良事件和间接成本的成本来自国家数据库、荷兰成本核算手册和已发表的文献。假设得到了临床专家的验证。增量成本-效果比(ICER)采用终生增量成本和质量调整寿命年(QALY)确定。结果:与单独使用BSC相比,Avelumab 1L维持治疗加BSC估计有48,186欧元的折扣增量成本和0.63折扣增量qaly,导致基本情况ICER为76,450欧元,得到一致情景和敏感性分析的支持。结论:在荷兰,Avelumab 1L维持治疗可能是晚期或转移性尿路上皮癌的一种经济有效的治疗方法。
本文章由计算机程序翻译,如有差异,请以英文原文为准。
求助全文
约1分钟内获得全文 求助全文
来源期刊
CiteScore
3.40
自引率
0.00%
发文量
31
审稿时长
6 weeks
期刊介绍: Now indexed in PubMed Aims and Scope Oncology and Therapy is an international, peer reviewed, rapid-publication (peer review in 2 weeks, published 3–4 weeks from acceptance) journal dedicated to the publication of high-quality pre-clinical, clinical (all phases), observational, real-world, and health outcomes research around the discovery, development, and use of therapeutics and interventions (including devices) across all therapeutic areas. Studies relating to diagnostics and diagnosis, pharmacoeconomics, public health, epidemiology, quality of life, and patient care, management, and education are also encouraged. The journal is of interest to a broad audience of healthcare professionals and publishes original research, reviews, communications and letters. The journal is read by a global audience and receives submissions from all over the world. Oncology and Therapy will consider all scientifically sound research be it positive, confirmatory or negative data. Submissions are welcomed whether they relate to an international and/or a country-specific audience, something that is crucially important when researchers are trying to target more specific patient populations. This inclusive approach allows the journal to assist in the dissemination of all scientifically and ethically sound research. Rapid Publication The journal’s rapid publication timelines aim for a peer review decision within 2 weeks of submission. If an article is accepted it will be published online 3-4 weeks from acceptance. These rapid timelines are achieved through the combination of a dedicated in-house editorial team, who closely manage article workflow, and an extensive Editorial and Advisory Board who assist with rapid peer review. This allows the journal to support the rapid dissemination of research, whilst still providing robust peer review. Combined with the journal’s open access model this allows for the rapid and efficient communication of the latest research and reviews, allowing the advancement of clinical therapies. Personal Service The journal’s dedicated in-house editorial team offer a personal “concierge service” meaning that authors will always have a personal point of contact able to update them on the status of their manuscript. The editorial team check all manuscripts to ensure that articles conform to the most recent COPE, GPP and ICMJE publishing guidelines. This supports the publication of ethically sound and transparent research. We also encourage pre-submission enquiries and are always happy to provide a confidential assessment of manuscripts. Digital features and plain language summaries Oncology and Therapy offers a range of additional features designed to increase the visibility, readership and educational value of the journal’s content. Each article is accompanied by key summary points, giving a time-efficient overview of the content to a wide readership. Articles may be accompanied by plain language summaries to assist readers who have some knowledge of, but not in-depth expertise in, the area to understand the scientific content and overall implications of the article. The journal also provides the option to include various types of digital features including animated abstracts, video abstracts, slide decks, audio slides, instructional videos, infographics, podcasts and animations. All additional features are peer reviewed to the same high standard as the article itself. If you consider that your paper would benefit from the inclusion of a digital feature, please let us know. Our editorial team are able to create high-quality slide decks and infographics in-house, and video abstracts through our partner Research Square, and would be happy to assist in any way we can. For further information about digital features, please contact the journal editor (see ‘Contact the Journal’ for email address), and see the ‘Guidelines for digital features and plain language summaries’ document under ‘Submission guidelines’. Preprints We encourage posting of preprints of primary research manuscripts on preprint servers, authors'' or institutional websites, and open communications between researchers whether on community preprint servers or preprint commenting platforms. Posting of preprints is not considered prior publication and will not jeopardize consideration in our journals. Please see here for further information on preprint sharing: https://www.springer.com/gp/authors-editors/journal-author/journal-author-helpdesk/submission/1302#c16721550 Peer Review Process Upon submission, manuscripts are assessed by the editorial team to ensure they fit within the aims and scope of the journal and are also checked for plagiarism. All suitable submissions are then subject to a comprehensive single-blind peer review. Reviewers are selected based on their relevant expertise and publication history in the subject area. The journal has an extensive pool of editorial and advisory board members who have been selected to assist with peer review based on the afore-mentioned criteria. At least two extensive reviews are required to make the editorial decision, with the exception of some article types such as Commentaries, Editorials and Letters which are generally reviewed by one member of the Editorial Board. Where reviewer recommendations are conflicted, the editorial board will be contacted for further advice and a presiding decision. Manuscripts are then either accepted, rejected or authors are required to make major or minor revisions (both reviewer comments and editorial comments may need to be addressed). Once a revised manuscript is re-submitted, it is assessed along with the responses to reviewer comments and if it has been adequately revised it will be accepted for publication. Accepted manuscripts are then copyedited and typeset by the production team before online publication. Appeals against decisions following peer review are considered on a case by case basis and should be sent to the journal editor. Copyright Oncology and Therapy''s content is published open access under the Creative Commons Attribution-Noncommercial License, which allows users to read, copy, distribute, and make derivative works for non-commercial purposes from the material, as long as the author of the original work is cited. The author assigns the exclusive right to any commercial use of the article to Springer. For more information about the Creative Commons Attribution-Noncommercial License, click here: http://creativecommons.org/licenses/by-nc/4.0 Publication Fees Upon acceptance of an article, authors will be required to pay the mandatory Rapid Service Fee of £3650/€4500/$5100. The journal will consider fee discounts for developing countries and this is decided on a case by case basis. Open Access All articles published by Oncology and Therapy are published open access Contact For more information about the journal, including pre-submission enquiries, please contact managing editor Lydia Alborn at lydia.alborn@springer.com.
×
引用
GB/T 7714-2015
复制
MLA
复制
APA
复制
导出至
BibTeX EndNote RefMan NoteFirst NoteExpress
×
提示
您的信息不完整,为了账户安全,请先补充。
现在去补充
×
提示
您因"违规操作"
具体请查看互助需知
我知道了
×
提示
确定
请完成安全验证×
copy
已复制链接
快去分享给好友吧!
我知道了
右上角分享
点击右上角分享
0
联系我们:info@booksci.cn Book学术提供免费学术资源搜索服务,方便国内外学者检索中英文文献。致力于提供最便捷和优质的服务体验。 Copyright © 2023 布克学术 All rights reserved.
京ICP备2023020795号-1
ghs 京公网安备 11010802042870号
Book学术文献互助
Book学术文献互助群
群 号:604180095
Book学术官方微信