Quantifying evolutionary changes to temperature-CO2 growth response surfaces in Skeletonema marinoi after adaptation to extreme conditions.

IF 6.1 Q1 ECOLOGY
ISME communications Pub Date : 2025-04-18 eCollection Date: 2025-01-01 DOI:10.1093/ismeco/ycaf069
Charlotte L Briddon, Maria Nicoară, Adriana Hegedűs, Mridul K Thomas, Bogdan Drugă
{"title":"Quantifying evolutionary changes to temperature-CO<sub>2</sub> growth response surfaces in <i>Skeletonema marinoi</i> after adaptation to extreme conditions.","authors":"Charlotte L Briddon, Maria Nicoară, Adriana Hegedűs, Mridul K Thomas, Bogdan Drugă","doi":"10.1093/ismeco/ycaf069","DOIUrl":null,"url":null,"abstract":"<p><p>Global warming and ocean acidification are having an unprecedented impact on marine ecosystems, yet we do not yet know how phytoplankton will respond to simultaneous changes in multiple drivers. To better comprehend the combined impact of oceanic warming and acidification, we experimentally estimated how evolution shifted the temperature-CO<sub>2</sub> growth response surfaces of two strains of <i>Skeletonema marinoi</i> that were each previously adapted to four different temperature × CO<sub>2</sub> combinations. These adapted strains were then grown under a factorial combination of five temperatures and five CO<sub>2</sub> concentrations to capture the temperature-CO<sub>2</sub> response surfaces for their unacclimated growth rates. The development of the first complete temperature-CO<sub>2</sub> response surfaces showed the optimal CO<sub>2</sub> concentration for growth to be substantially higher than expected future CO<sub>2</sub> levels (~6000 ppm). There was minimal variation in the optimal CO<sub>2</sub> concentration across the tested temperatures, suggesting that temperature will have a greater influence on growth rates compared to enhanced CO<sub>2</sub>. Optimal temperature did not show a unimodal response to CO<sub>2</sub>, either due to the lack of acclimation or the highly efficient CO<sub>2</sub> concentrating mechanisms, which diatoms (e.g. <i>Skeletonema</i>) can up-/downregulate depending on the CO<sub>2</sub> conditions. We also found that both strains showed evidence of evolutionary shifts as a result of adaptation to temperature and CO<sub>2</sub>. The evolutionary response differed between strains, underscoring how genetic differences (perhaps related to historical regimes) can impact phytoplankton performance. Understanding how a dominant algal species responds to multiple drivers provides insight into real-world scenarios and helps construct theoretical predictions of environmental change.</p>","PeriodicalId":73516,"journal":{"name":"ISME communications","volume":"5 1","pages":"ycaf069"},"PeriodicalIF":6.1000,"publicationDate":"2025-04-18","publicationTypes":"Journal Article","fieldsOfStudy":null,"isOpenAccess":false,"openAccessPdf":"https://www.ncbi.nlm.nih.gov/pmc/articles/PMC12075770/pdf/","citationCount":"0","resultStr":null,"platform":"Semanticscholar","paperid":null,"PeriodicalName":"ISME communications","FirstCategoryId":"1085","ListUrlMain":"https://doi.org/10.1093/ismeco/ycaf069","RegionNum":0,"RegionCategory":null,"ArticlePicture":[],"TitleCN":null,"AbstractTextCN":null,"PMCID":null,"EPubDate":"2025/1/1 0:00:00","PubModel":"eCollection","JCR":"Q1","JCRName":"ECOLOGY","Score":null,"Total":0}
引用次数: 0

Abstract

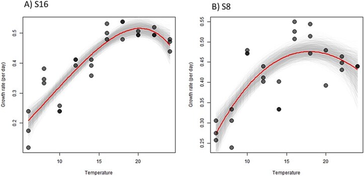
Global warming and ocean acidification are having an unprecedented impact on marine ecosystems, yet we do not yet know how phytoplankton will respond to simultaneous changes in multiple drivers. To better comprehend the combined impact of oceanic warming and acidification, we experimentally estimated how evolution shifted the temperature-CO2 growth response surfaces of two strains of Skeletonema marinoi that were each previously adapted to four different temperature × CO2 combinations. These adapted strains were then grown under a factorial combination of five temperatures and five CO2 concentrations to capture the temperature-CO2 response surfaces for their unacclimated growth rates. The development of the first complete temperature-CO2 response surfaces showed the optimal CO2 concentration for growth to be substantially higher than expected future CO2 levels (~6000 ppm). There was minimal variation in the optimal CO2 concentration across the tested temperatures, suggesting that temperature will have a greater influence on growth rates compared to enhanced CO2. Optimal temperature did not show a unimodal response to CO2, either due to the lack of acclimation or the highly efficient CO2 concentrating mechanisms, which diatoms (e.g. Skeletonema) can up-/downregulate depending on the CO2 conditions. We also found that both strains showed evidence of evolutionary shifts as a result of adaptation to temperature and CO2. The evolutionary response differed between strains, underscoring how genetic differences (perhaps related to historical regimes) can impact phytoplankton performance. Understanding how a dominant algal species responds to multiple drivers provides insight into real-world scenarios and helps construct theoretical predictions of environmental change.

Abstract Image

Abstract Image

Abstract Image

马里诺骨骼肌在适应极端条件后对温度- co2生长响应面的进化变化进行量化。
全球变暖和海洋酸化正在对海洋生态系统产生前所未有的影响,但我们还不知道浮游植物将如何应对多种驱动因素同时发生的变化。为了更好地理解海洋变暖和酸化的综合影响,我们通过实验估计了进化如何改变两种马里诺骨骼肉菌株的温度-二氧化碳生长响应面,这两种菌株先前分别适应四种不同的温度×二氧化碳组合。然后,这些适应菌株在五种温度和五种二氧化碳浓度的因子组合下生长,以捕捉温度-二氧化碳响应面,以获得其未适应的生长速率。第一个完整的温度-CO2响应面的发展表明,生长的最佳CO2浓度大大高于预期的未来CO2水平(~6000 ppm)。在不同的测试温度下,最佳二氧化碳浓度的变化很小,这表明与增强的二氧化碳相比,温度对生长速度的影响更大。最佳温度并没有显示出对二氧化碳的单峰响应,这要么是由于缺乏驯化,要么是由于高效的二氧化碳浓缩机制,硅藻(如骷髅藻)可以根据二氧化碳条件上下调节。我们还发现,由于适应温度和二氧化碳,这两种菌株都表现出了进化转变的证据。不同菌株的进化反应不同,强调了遗传差异(可能与历史制度有关)如何影响浮游植物的表现。了解优势藻类物种如何对多种驱动因素做出反应,有助于深入了解现实世界的情况,并有助于构建环境变化的理论预测。
本文章由计算机程序翻译,如有差异,请以英文原文为准。
求助全文
约1分钟内获得全文 求助全文
来源期刊
自引率
0.00%
发文量
0
×
引用
GB/T 7714-2015
复制
MLA
复制
APA
复制
导出至
BibTeX EndNote RefMan NoteFirst NoteExpress
×
提示
您的信息不完整,为了账户安全,请先补充。
现在去补充
×
提示
您因"违规操作"
具体请查看互助需知
我知道了
×
提示
确定
请完成安全验证×
copy
已复制链接
快去分享给好友吧!
我知道了
右上角分享
点击右上角分享
0
联系我们:info@booksci.cn Book学术提供免费学术资源搜索服务,方便国内外学者检索中英文文献。致力于提供最便捷和优质的服务体验。 Copyright © 2023 布克学术 All rights reserved.
京ICP备2023020795号-1
ghs 京公网安备 11010802042870号
Book学术文献互助
Book学术文献互助群
群 号:604180095
Book学术官方微信