Temporal trend of vasectomies in Brazil and its regions by age group and race/skin color: a temporal analysis from 2013 to 2022.

IF 2 Q1 Multidisciplinary
Epidemiologia e Servicos de Saude Pub Date : 2025-05-12 eCollection Date: 2025-01-01 DOI:10.1590/S2237-96222024v34e20240209.en
Alessandro Vidal de Oliveira, Ana Luiza Nepomuceno Sampaio, Rui Wanderley Mascarenhas Júnior
{"title":"Temporal trend of vasectomies in Brazil and its regions by age group and race/skin color: a temporal analysis from 2013 to 2022.","authors":"Alessandro Vidal de Oliveira, Ana Luiza Nepomuceno Sampaio, Rui Wanderley Mascarenhas Júnior","doi":"10.1590/S2237-96222024v34e20240209.en","DOIUrl":null,"url":null,"abstract":"<p><strong>Objective: </strong>To analyze the temporal trend of vasectomies in Brazil and its regions by age group and race/skin color from 2013 to 2022.</p><p><strong>Methods: </strong>This is a time series analysis study based on Hospital Information System data. Average annual percentage change (AAPC) and 95% confidence intervals (95%CI) of vasectomy coefficients were estimated using Joinpoint regression. Trends were compared using parallel testing and coincidence testing.</p><p><strong>Results: </strong>In the period, there were 309,047 vasectomies in Brazil and their trend was stationary (AAPC 5.57; 95%CI -1.08; 12.66), although there was a rising trend in the Northern region (AAPC 11.53; 95%CI 2.30; 21.59) and in the Northeast region (AAPC 8.90; 95%CI 1.94; 16.34). All races/skin colors showed rising trends. Men who were 50-54 years old (AAPC 8.69; 95%CI 1.14; 16.81) and 55-59 years old (AAPC 8.71; 95%CI 0.92; 17.10) had the highest AAPC as well as rising trends. There were differences in trends, especially between age groups.</p><p><strong>Conclusion: </strong>Vasectomy trends varied across Brazil, highlighting regional, age and racial disparities related to this procedure.</p>","PeriodicalId":51473,"journal":{"name":"Epidemiologia e Servicos de Saude","volume":"34 ","pages":"e20240209"},"PeriodicalIF":2.0000,"publicationDate":"2025-05-12","publicationTypes":"Journal Article","fieldsOfStudy":null,"isOpenAccess":false,"openAccessPdf":"https://www.ncbi.nlm.nih.gov/pmc/articles/PMC12077542/pdf/","citationCount":"0","resultStr":null,"platform":"Semanticscholar","paperid":null,"PeriodicalName":"Epidemiologia e Servicos de Saude","FirstCategoryId":"1085","ListUrlMain":"https://doi.org/10.1590/S2237-96222024v34e20240209.en","RegionNum":0,"RegionCategory":null,"ArticlePicture":[],"TitleCN":null,"AbstractTextCN":null,"PMCID":null,"EPubDate":"2025/1/1 0:00:00","PubModel":"eCollection","JCR":"Q1","JCRName":"Multidisciplinary","Score":null,"Total":0}
引用次数: 0

Abstract

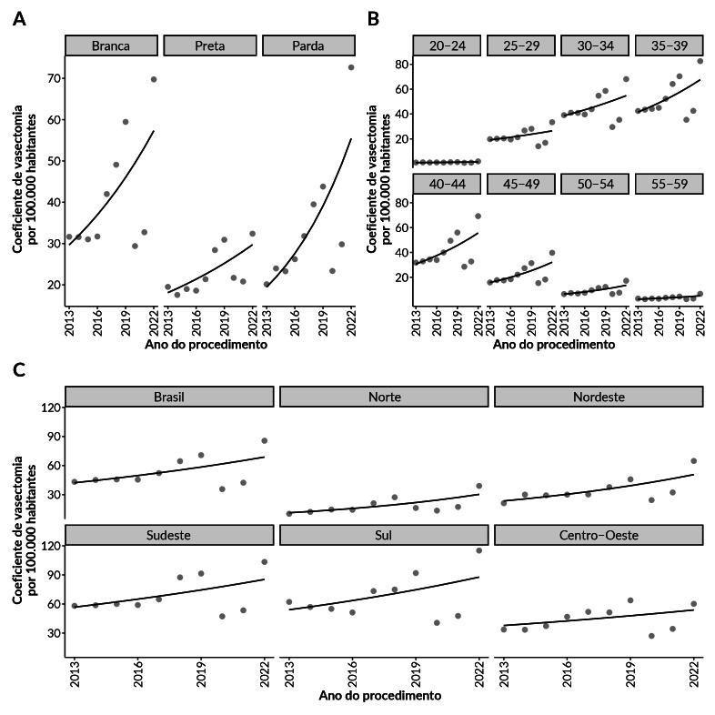
Objective: To analyze the temporal trend of vasectomies in Brazil and its regions by age group and race/skin color from 2013 to 2022.

Methods: This is a time series analysis study based on Hospital Information System data. Average annual percentage change (AAPC) and 95% confidence intervals (95%CI) of vasectomy coefficients were estimated using Joinpoint regression. Trends were compared using parallel testing and coincidence testing.

Results: In the period, there were 309,047 vasectomies in Brazil and their trend was stationary (AAPC 5.57; 95%CI -1.08; 12.66), although there was a rising trend in the Northern region (AAPC 11.53; 95%CI 2.30; 21.59) and in the Northeast region (AAPC 8.90; 95%CI 1.94; 16.34). All races/skin colors showed rising trends. Men who were 50-54 years old (AAPC 8.69; 95%CI 1.14; 16.81) and 55-59 years old (AAPC 8.71; 95%CI 0.92; 17.10) had the highest AAPC as well as rising trends. There were differences in trends, especially between age groups.

Conclusion: Vasectomy trends varied across Brazil, highlighting regional, age and racial disparities related to this procedure.

Abstract Image

Abstract Image

Abstract Image

2013年至2022年巴西及其地区按年龄组和种族/肤色划分的输精管结扎的时间趋势
目的:分析2013 - 2022年巴西及其地区按年龄和种族/肤色划分的输精管切除术的时间趋势。方法:采用基于医院信息系统数据的时间序列分析研究。使用关节点回归估计输精管切除术系数的平均年百分比变化(AAPC)和95%置信区间(95% ci)。采用平行检验和符合检验比较趋势。结果:同期巴西输精管结扎手术309047例,趋势平稳(AAPC 5.57;95%可信区间-1.08;12.66),但北部地区有上升趋势(AAPC 11.53;95%可信区间2.30;21.59),东北地区(AAPC 8.90;95%可信区间1.94;16.34)。所有种族/肤色都呈现上升趋势。50-54岁男性(AAPC 8.69;95%可信区间1.14;16.81)和55-59岁(AAPC 8.71;95%可信区间0.92;17.10)的AAPC最高,且呈上升趋势。在趋势上存在差异,尤其是在不同年龄组之间。结论:输精管切除术的趋势在巴西各地有所不同,突出了与该手术相关的地区、年龄和种族差异。
本文章由计算机程序翻译,如有差异,请以英文原文为准。
求助全文
约1分钟内获得全文 求助全文
来源期刊
Epidemiologia e Servicos de Saude
Epidemiologia e Servicos de Saude PUBLIC, ENVIRONMENTAL & OCCUPATIONAL HEALTH-
CiteScore
4.90
自引率
0.00%
发文量
88
审稿时长
21 weeks
×
引用
GB/T 7714-2015
复制
MLA
复制
APA
复制
导出至
BibTeX EndNote RefMan NoteFirst NoteExpress
×
提示
您的信息不完整,为了账户安全,请先补充。
现在去补充
×
提示
您因"违规操作"
具体请查看互助需知
我知道了
×
提示
确定
请完成安全验证×
copy
已复制链接
快去分享给好友吧!
我知道了
右上角分享
点击右上角分享
0
联系我们:info@booksci.cn Book学术提供免费学术资源搜索服务,方便国内外学者检索中英文文献。致力于提供最便捷和优质的服务体验。 Copyright © 2023 布克学术 All rights reserved.
京ICP备2023020795号-1
ghs 京公网安备 11010802042870号
Book学术文献互助
Book学术文献互助群
群 号:604180095
Book学术官方微信