AlfaPang: alignment free algorithm for pangenome graph construction.

IF 1.7 4区 生物学 Q4 BIOCHEMICAL RESEARCH METHODS
Adam Cicherski, Anna Lisiecka, Norbert Dojer
{"title":"AlfaPang: alignment free algorithm for pangenome graph construction.","authors":"Adam Cicherski, Anna Lisiecka, Norbert Dojer","doi":"10.1186/s13015-025-00277-7","DOIUrl":null,"url":null,"abstract":"<p><p>The success of pangenome-based approaches to genomics analysis depends largely on the existence of efficient methods for constructing pangenome graphs that are applicable to large genome collections. In the current paper we present AlfaPang, a new pangenome graph building algorithm. AlfaPang is based on a novel alignment-free approach that allows to construct pangenome graphs using significantly less computational resources than state-of-the-art tools. The code of AlfaPang is freely available at https://github.com/AdamCicherski/AlfaPang .</p>","PeriodicalId":50823,"journal":{"name":"Algorithms for Molecular Biology","volume":"20 1","pages":"7"},"PeriodicalIF":1.7000,"publicationDate":"2025-05-15","publicationTypes":"Journal Article","fieldsOfStudy":null,"isOpenAccess":false,"openAccessPdf":"https://www.ncbi.nlm.nih.gov/pmc/articles/PMC12082865/pdf/","citationCount":"0","resultStr":null,"platform":"Semanticscholar","paperid":null,"PeriodicalName":"Algorithms for Molecular Biology","FirstCategoryId":"99","ListUrlMain":"https://doi.org/10.1186/s13015-025-00277-7","RegionNum":4,"RegionCategory":"生物学","ArticlePicture":[],"TitleCN":null,"AbstractTextCN":null,"PMCID":null,"EPubDate":"","PubModel":"","JCR":"Q4","JCRName":"BIOCHEMICAL RESEARCH METHODS","Score":null,"Total":0}
引用次数: 0

Abstract

The success of pangenome-based approaches to genomics analysis depends largely on the existence of efficient methods for constructing pangenome graphs that are applicable to large genome collections. In the current paper we present AlfaPang, a new pangenome graph building algorithm. AlfaPang is based on a novel alignment-free approach that allows to construct pangenome graphs using significantly less computational resources than state-of-the-art tools. The code of AlfaPang is freely available at https://github.com/AdamCicherski/AlfaPang .

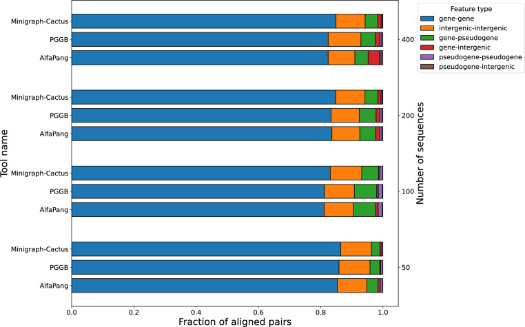
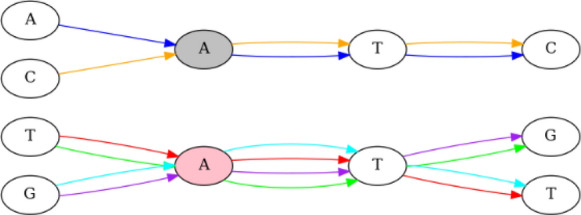
Abstract Image

Abstract Image

Abstract Image

AlfaPang:用于泛基因组图构建的无对齐算法。
基于泛基因组的基因组学分析方法的成功在很大程度上取决于构建适用于大型基因组集合的泛基因组图的有效方法的存在。本文提出了一种新的泛基因组图谱构建算法AlfaPang。AlfaPang基于一种新颖的无对齐方法,可以使用比最先进的工具更少的计算资源来构建泛基因组图。AlfaPang的代码可以在https://github.com/AdamCicherski/AlfaPang上免费获得。
本文章由计算机程序翻译,如有差异,请以英文原文为准。
求助全文
约1分钟内获得全文 求助全文
来源期刊
Algorithms for Molecular Biology
Algorithms for Molecular Biology 生物-生化研究方法
CiteScore
2.40
自引率
10.00%
发文量
16
审稿时长
>12 weeks
期刊介绍: Algorithms for Molecular Biology publishes articles on novel algorithms for biological sequence and structure analysis, phylogeny reconstruction, and combinatorial algorithms and machine learning. Areas of interest include but are not limited to: algorithms for RNA and protein structure analysis, gene prediction and genome analysis, comparative sequence analysis and alignment, phylogeny, gene expression, machine learning, and combinatorial algorithms. Where appropriate, manuscripts should describe applications to real-world data. However, pure algorithm papers are also welcome if future applications to biological data are to be expected, or if they address complexity or approximation issues of novel computational problems in molecular biology. Articles about novel software tools will be considered for publication if they contain some algorithmically interesting aspects.
×
引用
GB/T 7714-2015
复制
MLA
复制
APA
复制
导出至
BibTeX EndNote RefMan NoteFirst NoteExpress
×
提示
您的信息不完整,为了账户安全,请先补充。
现在去补充
×
提示
您因"违规操作"
具体请查看互助需知
我知道了
×
提示
确定
请完成安全验证×
copy
已复制链接
快去分享给好友吧!
我知道了
右上角分享
点击右上角分享
0
联系我们:info@booksci.cn Book学术提供免费学术资源搜索服务,方便国内外学者检索中英文文献。致力于提供最便捷和优质的服务体验。 Copyright © 2023 布克学术 All rights reserved.
京ICP备2023020795号-1
ghs 京公网安备 11010802042870号
Book学术文献互助
Book学术文献互助群
群 号:604180095
Book学术官方微信