Ratio of interventricular septal thickness to global longitudinal strain accurately identifies cardiac amyloidosis.

IF 2.8 Q2 CARDIAC & CARDIOVASCULAR SYSTEMS
Louie Cao, Gloria J Hong, Michael Abiragi, Jonathan Le, P Ryan Tacon, I-Min Chiu, Jignesh Patel, Lily K Stern, Chathuri Daluwatte, David Ouyang, Piero Ricchiuto
{"title":"Ratio of interventricular septal thickness to global longitudinal strain accurately identifies cardiac amyloidosis.","authors":"Louie Cao, Gloria J Hong, Michael Abiragi, Jonathan Le, P Ryan Tacon, I-Min Chiu, Jignesh Patel, Lily K Stern, Chathuri Daluwatte, David Ouyang, Piero Ricchiuto","doi":"10.1136/openhrt-2024-003120","DOIUrl":null,"url":null,"abstract":"<p><strong>Objectives: </strong>Conventional transthoracic echocardiographic measurements like global longitudinal strain (GLS) have shown promise in distinguishing cardiac amyloidosis (CA), but with limited specificity. We investigated the performance of common echo measurements, GLS, and their combinations in discriminating CA from an undifferentiated cohort with increased left ventricular wall thickness.</p><p><strong>Methods: </strong>We conducted a retrospective single-centre case-control study of 876 echos from 232 patients with CA and 1325 echos from 279 patients who underwent pyrophosphate scintigraphy but had CA definitively ruled out. Common echo measurements were collected and additional GLS measurements were performed post hoc. We reported discrimination performance with the area under the receiver operating characteristic curve (AUC) and associated sensitivity, specificity and positive predictive value at the optimal threshold.</p><p><strong>Results: </strong>We found that the ratio of end-diastolic interventricular septal thickness (IVSd) to GLS had the highest performance in differentiating CA with an AUC of 0.812. At the optimal threshold of >0.15, IVSd/GLS had a sensitivity of 0.70 and specificity of 0.80 for CA. Other measurements and ratios, including the ratio of left ventricular ejection fraction to GLS (AUC 0.682), had lower performance when evaluated against a suspicious control cohort with increased left ventricular wall thickness.</p><p><strong>Conclusion: </strong>If validated in prospective multi-centre studies, the routine measurement of IVSd/GLS can assist with earlier diagnosis of CA, resulting in earlier initiation of treatment in this underserved population.</p>","PeriodicalId":19505,"journal":{"name":"Open Heart","volume":"12 1","pages":""},"PeriodicalIF":2.8000,"publicationDate":"2025-05-14","publicationTypes":"Journal Article","fieldsOfStudy":null,"isOpenAccess":false,"openAccessPdf":"https://www.ncbi.nlm.nih.gov/pmc/articles/PMC12083331/pdf/","citationCount":"0","resultStr":null,"platform":"Semanticscholar","paperid":null,"PeriodicalName":"Open Heart","FirstCategoryId":"1085","ListUrlMain":"https://doi.org/10.1136/openhrt-2024-003120","RegionNum":0,"RegionCategory":null,"ArticlePicture":[],"TitleCN":null,"AbstractTextCN":null,"PMCID":null,"EPubDate":"","PubModel":"","JCR":"Q2","JCRName":"CARDIAC & CARDIOVASCULAR SYSTEMS","Score":null,"Total":0}
引用次数: 0

Abstract

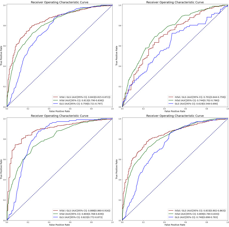
Objectives: Conventional transthoracic echocardiographic measurements like global longitudinal strain (GLS) have shown promise in distinguishing cardiac amyloidosis (CA), but with limited specificity. We investigated the performance of common echo measurements, GLS, and their combinations in discriminating CA from an undifferentiated cohort with increased left ventricular wall thickness.

Methods: We conducted a retrospective single-centre case-control study of 876 echos from 232 patients with CA and 1325 echos from 279 patients who underwent pyrophosphate scintigraphy but had CA definitively ruled out. Common echo measurements were collected and additional GLS measurements were performed post hoc. We reported discrimination performance with the area under the receiver operating characteristic curve (AUC) and associated sensitivity, specificity and positive predictive value at the optimal threshold.

Results: We found that the ratio of end-diastolic interventricular septal thickness (IVSd) to GLS had the highest performance in differentiating CA with an AUC of 0.812. At the optimal threshold of >0.15, IVSd/GLS had a sensitivity of 0.70 and specificity of 0.80 for CA. Other measurements and ratios, including the ratio of left ventricular ejection fraction to GLS (AUC 0.682), had lower performance when evaluated against a suspicious control cohort with increased left ventricular wall thickness.

Conclusion: If validated in prospective multi-centre studies, the routine measurement of IVSd/GLS can assist with earlier diagnosis of CA, resulting in earlier initiation of treatment in this underserved population.

Abstract Image

Abstract Image

室间隔厚度与整体纵向应变的比值能准确识别心脏淀粉样变性。
目的:传统的经胸超声心动图测量,如全局纵向应变(GLS),在区分心脏淀粉样变性(CA)方面显示出希望,但特异性有限。我们研究了常见回声测量、GLS及其组合在鉴别CA与左室壁厚度增加的未分化队列中的表现。方法:我们进行了一项回顾性的单中心病例对照研究,包括232例CA患者的876张超声和279例接受焦磷酸盐显像检查但明确排除CA的患者的1325张超声。收集了常见的回波测量数据,并在事后进行了额外的GLS测量。我们用受试者工作特征曲线(AUC)下的面积和相关的灵敏度、特异性和最佳阈值的阳性预测值报道了鉴别性能。结果:我们发现舒张末期室间隔厚度(IVSd)与GLS的比值在鉴别CA方面最有效,AUC为0.812。在最佳阈值>0.15时,IVSd/GLS对CA的敏感性为0.70,特异性为0.80。其他测量和比值,包括左室射血分数与GLS的比值(AUC 0.682),在左室壁厚度增加的可疑对照队列中评估时表现较差。结论:如果在前瞻性多中心研究中得到验证,常规IVSd/GLS测量可以帮助CA的早期诊断,从而在这一服务不足的人群中更早开始治疗。
本文章由计算机程序翻译,如有差异,请以英文原文为准。
求助全文
约1分钟内获得全文 求助全文
来源期刊
Open Heart
Open Heart CARDIAC & CARDIOVASCULAR SYSTEMS-
CiteScore
4.60
自引率
3.70%
发文量
145
审稿时长
20 weeks
期刊介绍: Open Heart is an online-only, open access cardiology journal that aims to be “open” in many ways: open access (free access for all readers), open peer review (unblinded peer review) and open data (data sharing is encouraged). The goal is to ensure maximum transparency and maximum impact on research progress and patient care. The journal is dedicated to publishing high quality, peer reviewed medical research in all disciplines and therapeutic areas of cardiovascular medicine. Research is published across all study phases and designs, from study protocols to phase I trials to meta-analyses, including small or specialist studies. Opinionated discussions on controversial topics are welcomed. Open Heart aims to operate a fast submission and review process with continuous publication online, to ensure timely, up-to-date research is available worldwide. The journal adheres to a rigorous and transparent peer review process, and all articles go through a statistical assessment to ensure robustness of the analyses. Open Heart is an official journal of the British Cardiovascular Society.
×
引用
GB/T 7714-2015
复制
MLA
复制
APA
复制
导出至
BibTeX EndNote RefMan NoteFirst NoteExpress
×
提示
您的信息不完整,为了账户安全,请先补充。
现在去补充
×
提示
您因"违规操作"
具体请查看互助需知
我知道了
×
提示
确定
请完成安全验证×
copy
已复制链接
快去分享给好友吧!
我知道了
右上角分享
点击右上角分享
0
联系我们:info@booksci.cn Book学术提供免费学术资源搜索服务,方便国内外学者检索中英文文献。致力于提供最便捷和优质的服务体验。 Copyright © 2023 布克学术 All rights reserved.
京ICP备2023020795号-1
ghs 京公网安备 11010802042870号
Book学术文献互助
Book学术文献互助群
群 号:604180095
Book学术官方微信