Cardiovascular disease burden in the homeless population.

IF 2.8 Q2 CARDIAC & CARDIOVASCULAR SYSTEMS
Samhita Korukonda, Nikith Erukulla, Jeffrey R Harris, Pranitha Kovuri, Kenneth Tyler Wilcox
{"title":"Cardiovascular disease burden in the homeless population.","authors":"Samhita Korukonda, Nikith Erukulla, Jeffrey R Harris, Pranitha Kovuri, Kenneth Tyler Wilcox","doi":"10.1136/openhrt-2025-003190","DOIUrl":null,"url":null,"abstract":"<p><strong>Introduction: </strong>The burden of cardiovascular disease (CVD) among the homeless population has been rising, driven by factors such as lack of healthcare access, rising mental health disorders and substance use. This study aims to systematically analyse the CVD burden among homeless adults and characterise its prevalence and risk factors. Additionally, our literature review revealed a significant lack of cardiac-focused interventions in this population, thus we build on existing models to propose new CVD-specific interventions.</p><p><strong>Methods: </strong>A comprehensive systematic review and meta-analysis were performed on data collected from PubMed and Scopus until 22 October 2024. All observational studies that assessed homeless populations and met inclusion criteria were analysed. The primary outcomes reported were mortality, morbidity and hospitalisation due to CVD. These measures were collectively analysed to evaluate the overall CVD burden.</p><p><strong>Results: </strong>Our search strategy identified 22 studies, of which 12 were suitable for meta-analysis. We analysed data from 226 205 adults spanning more than 1 000 000 person-years and sought to characterise CVD distribution by demographic subgroups. Our findings indicate that homeless adults experience greater morbidity and mortality due to CVD than non-homeless adults (pooled OR 2.77; 95% CI 1.93 to 3.93; p<0.001; I<sup>2</sup> <i>=</i>96.2%). Subgroup analyses by age, sex and geographic region were performed, but no significant differences in CVD morbidity and mortality were found.</p><p><strong>Conclusion: </strong>Homeless adults have approximately three times greater odds of CVD than the general population. We found that the risk of CVD remains elevated regardless of demographic subgroup. Our findings emphasise the urgent need for targeted interventions within this population and highlight its associated risk factors, providing a foundation for the development of targeted interventions and policies.</p>","PeriodicalId":19505,"journal":{"name":"Open Heart","volume":"12 1","pages":""},"PeriodicalIF":2.8000,"publicationDate":"2025-05-14","publicationTypes":"Journal Article","fieldsOfStudy":null,"isOpenAccess":false,"openAccessPdf":"https://www.ncbi.nlm.nih.gov/pmc/articles/PMC12083296/pdf/","citationCount":"0","resultStr":null,"platform":"Semanticscholar","paperid":null,"PeriodicalName":"Open Heart","FirstCategoryId":"1085","ListUrlMain":"https://doi.org/10.1136/openhrt-2025-003190","RegionNum":0,"RegionCategory":null,"ArticlePicture":[],"TitleCN":null,"AbstractTextCN":null,"PMCID":null,"EPubDate":"","PubModel":"","JCR":"Q2","JCRName":"CARDIAC & CARDIOVASCULAR SYSTEMS","Score":null,"Total":0}
引用次数: 0

Abstract

Introduction: The burden of cardiovascular disease (CVD) among the homeless population has been rising, driven by factors such as lack of healthcare access, rising mental health disorders and substance use. This study aims to systematically analyse the CVD burden among homeless adults and characterise its prevalence and risk factors. Additionally, our literature review revealed a significant lack of cardiac-focused interventions in this population, thus we build on existing models to propose new CVD-specific interventions.

Methods: A comprehensive systematic review and meta-analysis were performed on data collected from PubMed and Scopus until 22 October 2024. All observational studies that assessed homeless populations and met inclusion criteria were analysed. The primary outcomes reported were mortality, morbidity and hospitalisation due to CVD. These measures were collectively analysed to evaluate the overall CVD burden.

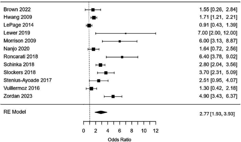
Results: Our search strategy identified 22 studies, of which 12 were suitable for meta-analysis. We analysed data from 226 205 adults spanning more than 1 000 000 person-years and sought to characterise CVD distribution by demographic subgroups. Our findings indicate that homeless adults experience greater morbidity and mortality due to CVD than non-homeless adults (pooled OR 2.77; 95% CI 1.93 to 3.93; p<0.001; I2 =96.2%). Subgroup analyses by age, sex and geographic region were performed, but no significant differences in CVD morbidity and mortality were found.

Conclusion: Homeless adults have approximately three times greater odds of CVD than the general population. We found that the risk of CVD remains elevated regardless of demographic subgroup. Our findings emphasise the urgent need for targeted interventions within this population and highlight its associated risk factors, providing a foundation for the development of targeted interventions and policies.

Abstract Image

Abstract Image

Abstract Image

无家可归者的心血管疾病负担。
导读:无家可归人群的心血管疾病(CVD)负担一直在上升,这是由于缺乏医疗保健、精神健康障碍和药物使用等因素造成的。本研究旨在系统分析无家可归成年人的心血管疾病负担,并描述其患病率和危险因素。此外,我们的文献综述显示,在这一人群中明显缺乏以心脏为重点的干预措施,因此我们建立在现有模型的基础上,提出新的cvd特异性干预措施。方法:对截至2024年10月22日从PubMed和Scopus收集的数据进行全面的系统评价和荟萃分析。对所有评估无家可归者并符合纳入标准的观察性研究进行分析。报告的主要结局是由心血管疾病引起的死亡率、发病率和住院率。对这些措施进行综合分析,以评估总体心血管疾病负担。结果:我们的搜索策略确定了22项研究,其中12项适合进行meta分析。我们分析了226 205名成年人的数据,跨度超过100万人年,并试图通过人口亚组来描述心血管疾病的分布特征。我们的研究结果表明,无家可归的成年人因心血管疾病的发病率和死亡率高于非无家可归的成年人(合并OR为2.77;95% CI 1.93 ~ 3.93;p2 = 96.2%)。按年龄、性别和地理区域进行亚组分析,但未发现CVD发病率和死亡率有显著差异。结论:无家可归的成年人患心血管疾病的几率大约是普通人群的三倍。我们发现,无论人口亚组如何,心血管疾病的风险仍然升高。我们的研究结果强调了对这一人群进行有针对性干预的迫切需要,并强调了其相关的风险因素,为有针对性的干预和政策的制定提供了基础。
本文章由计算机程序翻译,如有差异,请以英文原文为准。
求助全文
约1分钟内获得全文 求助全文
来源期刊
Open Heart
Open Heart CARDIAC & CARDIOVASCULAR SYSTEMS-
CiteScore
4.60
自引率
3.70%
发文量
145
审稿时长
20 weeks
期刊介绍: Open Heart is an online-only, open access cardiology journal that aims to be “open” in many ways: open access (free access for all readers), open peer review (unblinded peer review) and open data (data sharing is encouraged). The goal is to ensure maximum transparency and maximum impact on research progress and patient care. The journal is dedicated to publishing high quality, peer reviewed medical research in all disciplines and therapeutic areas of cardiovascular medicine. Research is published across all study phases and designs, from study protocols to phase I trials to meta-analyses, including small or specialist studies. Opinionated discussions on controversial topics are welcomed. Open Heart aims to operate a fast submission and review process with continuous publication online, to ensure timely, up-to-date research is available worldwide. The journal adheres to a rigorous and transparent peer review process, and all articles go through a statistical assessment to ensure robustness of the analyses. Open Heart is an official journal of the British Cardiovascular Society.
×
引用
GB/T 7714-2015
复制
MLA
复制
APA
复制
导出至
BibTeX EndNote RefMan NoteFirst NoteExpress
×
提示
您的信息不完整,为了账户安全,请先补充。
现在去补充
×
提示
您因"违规操作"
具体请查看互助需知
我知道了
×
提示
确定
请完成安全验证×
copy
已复制链接
快去分享给好友吧!
我知道了
右上角分享
点击右上角分享
0
联系我们:info@booksci.cn Book学术提供免费学术资源搜索服务,方便国内外学者检索中英文文献。致力于提供最便捷和优质的服务体验。 Copyright © 2023 布克学术 All rights reserved.
京ICP备2023020795号-1
ghs 京公网安备 11010802042870号
Book学术文献互助
Book学术文献互助群
群 号:604180095
Book学术官方微信