Toxicities Associated with CAR-T Cell Therapies.

IF 1.5 4区 医学 Q3 HEMATOLOGY
Ugo Testa, Germana Castelli, Elvira Pelosi, Eugenio Galli, Patrizia Chiusolo
{"title":"Toxicities Associated with CAR-T Cell Therapies.","authors":"Ugo Testa, Germana Castelli, Elvira Pelosi, Eugenio Galli, Patrizia Chiusolo","doi":"10.4084/MJHID.2025.039","DOIUrl":null,"url":null,"abstract":"<p><p>Chimeric antigen receptor (CAR) T-cell therapy has improved the outcomes of patients with relapsed/refractory B-cell lymphomas, B-cell acute lymphoblastic leukemia, and multiple myeloma. However, CAR-T cell therapy is also associated with distinct toxicities that contribute to morbidity and mortality. A large number of studies now define the different toxicities associated with CAR-T cell therapy and have, in part, clarified their mechanisms. In particular, cytokine release syndrome (CRS) and immune effector cell-associated neurotoxicity syndrome (ICANS) are the two main acute toxicity events that occur after CAR-T cell infusion. Other CAR-T-related toxicities occur later after CAR-T cell infusion and include B-cell aplasia, hypogammaglobulinemia, infections, and cytopenias. Infections represent the main cause of non-relapse death observed in patients undergoing CAR-T cell therapy. Second primary malignancies are rare and are mainly represented by myeloid malignancies.</p>","PeriodicalId":18498,"journal":{"name":"Mediterranean Journal of Hematology and Infectious Diseases","volume":"17 1","pages":"e2025039"},"PeriodicalIF":1.5000,"publicationDate":"2025-05-01","publicationTypes":"Journal Article","fieldsOfStudy":null,"isOpenAccess":false,"openAccessPdf":"https://www.ncbi.nlm.nih.gov/pmc/articles/PMC12081046/pdf/","citationCount":"0","resultStr":null,"platform":"Semanticscholar","paperid":null,"PeriodicalName":"Mediterranean Journal of Hematology and Infectious Diseases","FirstCategoryId":"3","ListUrlMain":"https://doi.org/10.4084/MJHID.2025.039","RegionNum":4,"RegionCategory":"医学","ArticlePicture":[],"TitleCN":null,"AbstractTextCN":null,"PMCID":null,"EPubDate":"2025/1/1 0:00:00","PubModel":"eCollection","JCR":"Q3","JCRName":"HEMATOLOGY","Score":null,"Total":0}
引用次数: 0

Abstract

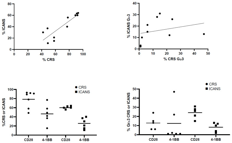
Chimeric antigen receptor (CAR) T-cell therapy has improved the outcomes of patients with relapsed/refractory B-cell lymphomas, B-cell acute lymphoblastic leukemia, and multiple myeloma. However, CAR-T cell therapy is also associated with distinct toxicities that contribute to morbidity and mortality. A large number of studies now define the different toxicities associated with CAR-T cell therapy and have, in part, clarified their mechanisms. In particular, cytokine release syndrome (CRS) and immune effector cell-associated neurotoxicity syndrome (ICANS) are the two main acute toxicity events that occur after CAR-T cell infusion. Other CAR-T-related toxicities occur later after CAR-T cell infusion and include B-cell aplasia, hypogammaglobulinemia, infections, and cytopenias. Infections represent the main cause of non-relapse death observed in patients undergoing CAR-T cell therapy. Second primary malignancies are rare and are mainly represented by myeloid malignancies.

Abstract Image

Abstract Image

Abstract Image

与CAR-T细胞疗法相关的毒性
嵌合抗原受体(CAR) t细胞疗法改善了复发/难治性b细胞淋巴瘤、b细胞急性淋巴母细胞白血病和多发性骨髓瘤患者的预后。然而,CAR-T细胞疗法也与导致发病率和死亡率的不同毒性相关。大量的研究现在定义了与CAR-T细胞疗法相关的不同毒性,并在一定程度上阐明了它们的机制。特别是,细胞因子释放综合征(CRS)和免疫效应细胞相关神经毒性综合征(ICANS)是CAR-T细胞输注后发生的两种主要急性毒性事件。其他CAR-T相关的毒性在CAR-T细胞输注后发生,包括b细胞发育不全、低γ -球蛋白血症、感染和细胞减少。在接受CAR-T细胞治疗的患者中,感染是非复发性死亡的主要原因。第二原发恶性肿瘤很少见,主要以髓系恶性肿瘤为代表。
本文章由计算机程序翻译,如有差异,请以英文原文为准。
求助全文
约1分钟内获得全文 求助全文
来源期刊
CiteScore
4.20
自引率
6.20%
发文量
113
审稿时长
12 weeks
期刊介绍: Reciprocal interdependence between infectious and hematologic diseases (malignant and non-malignant) is well known. This relationship is particularly evident in Mediterranean countries. Parasitosis as Malaria, Leishmaniosis, B Hookworms, Teniasis, very common in the southeast Mediterranean area, infect about a billion people and manifest prevalently with anemia so that they are usually diagnosed mostly by experienced hematologist on blood or bone marrow smear. On the other hand, infections are also a significant problem in patients affected by hematological malignancies. The blood is the primary vector of HIV infection, which otherwise manifest with symptoms related to a reduction in T lymphocytes. In turn, infections can favor the insurgency of hematological malignancies. The causative relationship between Epstein-Barr virus infection, Helicobacter pylori, hepatitis C virus, HIV and lymphoproliferative diseases is well known.
×
引用
GB/T 7714-2015
复制
MLA
复制
APA
复制
导出至
BibTeX EndNote RefMan NoteFirst NoteExpress
×
提示
您的信息不完整,为了账户安全,请先补充。
现在去补充
×
提示
您因"违规操作"
具体请查看互助需知
我知道了
×
提示
确定
请完成安全验证×
copy
已复制链接
快去分享给好友吧!
我知道了
右上角分享
点击右上角分享
0
联系我们:info@booksci.cn Book学术提供免费学术资源搜索服务,方便国内外学者检索中英文文献。致力于提供最便捷和优质的服务体验。 Copyright © 2023 布克学术 All rights reserved.
京ICP备2023020795号-1
ghs 京公网安备 11010802042870号
Book学术文献互助
Book学术文献互助群
群 号:604180095
Book学术官方微信