Newborn Screening Followed By Early Treatment is Essential to Improve Survival in SCID.

IF 5.7 2区 医学 Q1 IMMUNOLOGY
Gabriela Assunção Goebel, Luciana Araújo Oliveira Cunha, Fernanda Gontijo Minafra, Jorge Andrade Pinto
{"title":"Newborn Screening Followed By Early Treatment is Essential to Improve Survival in SCID.","authors":"Gabriela Assunção Goebel, Luciana Araújo Oliveira Cunha, Fernanda Gontijo Minafra, Jorge Andrade Pinto","doi":"10.1007/s10875-025-01887-x","DOIUrl":null,"url":null,"abstract":"<p><p>Severe combined immunodeficiency (SCID) is a heterogeneous genetic disease characterized by severe T-cell lymphopenia with a profound impairment of T- and B-cells' function and, in some types, also NK cells. Hematopoietic cell transplantation (HCT) is the only curative treatment currently available in Brazil. Late diagnosis and treatment are the main factors affecting the survival of these children. This study aims to describe the demographic, phenotypic, genotypic, and clinical characteristics of twenty SCID patients (including typical SCID, leaky-SCID, and Omenn Syndrome) followed at a Brazilian referral center and correlate these data with their clinical outcome. The children were analyzed into two groups: patients diagnosed early by newborn screening (NBS) or family history, n = 7, and patients with late diagnosis, by clinical presentation, n = 13. The 2-year overall survival (OS) of the late group was 29.2%, in contrast to the 2-year OS of the early diagnosis group of 71.4% (p = 0.053). However, despite early diagnosis in the first group, timely access to HCT was delayed, with a median of 11 months. This research reveals that survival depends not only on timely diagnosis but also on early definitive treatment. To improve SCID survival rates, developing countries need public policies that allow rapid access to curative treatment for these patients.</p>","PeriodicalId":15531,"journal":{"name":"Journal of Clinical Immunology","volume":"45 1","pages":"94"},"PeriodicalIF":5.7000,"publicationDate":"2025-05-15","publicationTypes":"Journal Article","fieldsOfStudy":null,"isOpenAccess":false,"openAccessPdf":"https://www.ncbi.nlm.nih.gov/pmc/articles/PMC12081553/pdf/","citationCount":"0","resultStr":null,"platform":"Semanticscholar","paperid":null,"PeriodicalName":"Journal of Clinical Immunology","FirstCategoryId":"3","ListUrlMain":"https://doi.org/10.1007/s10875-025-01887-x","RegionNum":2,"RegionCategory":"医学","ArticlePicture":[],"TitleCN":null,"AbstractTextCN":null,"PMCID":null,"EPubDate":"","PubModel":"","JCR":"Q1","JCRName":"IMMUNOLOGY","Score":null,"Total":0}
引用次数: 0

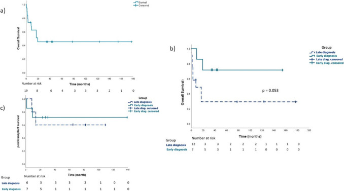
Abstract

Severe combined immunodeficiency (SCID) is a heterogeneous genetic disease characterized by severe T-cell lymphopenia with a profound impairment of T- and B-cells' function and, in some types, also NK cells. Hematopoietic cell transplantation (HCT) is the only curative treatment currently available in Brazil. Late diagnosis and treatment are the main factors affecting the survival of these children. This study aims to describe the demographic, phenotypic, genotypic, and clinical characteristics of twenty SCID patients (including typical SCID, leaky-SCID, and Omenn Syndrome) followed at a Brazilian referral center and correlate these data with their clinical outcome. The children were analyzed into two groups: patients diagnosed early by newborn screening (NBS) or family history, n = 7, and patients with late diagnosis, by clinical presentation, n = 13. The 2-year overall survival (OS) of the late group was 29.2%, in contrast to the 2-year OS of the early diagnosis group of 71.4% (p = 0.053). However, despite early diagnosis in the first group, timely access to HCT was delayed, with a median of 11 months. This research reveals that survival depends not only on timely diagnosis but also on early definitive treatment. To improve SCID survival rates, developing countries need public policies that allow rapid access to curative treatment for these patients.

Abstract Image

Abstract Image

新生儿筛查和早期治疗对提高SCID患者的生存率至关重要。
严重联合免疫缺陷(SCID)是一种异质性遗传疾病,其特征是严重的T细胞淋巴减少,T细胞和b细胞功能严重受损,在某些类型中也包括NK细胞。造血细胞移植(HCT)是目前巴西唯一有效的治疗方法。晚期诊断和治疗是影响这些儿童生存的主要因素。本研究旨在描述在巴西转诊中心随访的20例SCID患者(包括典型SCID、漏型SCID和Omenn综合征)的人口学、表型、基因型和临床特征,并将这些数据与临床结果相关联。将患儿分为两组:通过新生儿筛查(NBS)或家族史早期诊断的患儿(n = 7)和通过临床表现晚期诊断的患儿(n = 13)。晚期组2年总生存率(OS)为29.2%,早期诊断组2年总生存率为71.4% (p = 0.053)。然而,尽管第一组患者得到了早期诊断,但及时获得HCT的时间被推迟了,平均延迟时间为11个月。这项研究表明,生存不仅取决于及时的诊断,而且取决于早期的明确治疗。为了提高SCID的存活率,发展中国家需要允许这些患者快速获得治愈性治疗的公共政策。
本文章由计算机程序翻译,如有差异,请以英文原文为准。
求助全文
约1分钟内获得全文 求助全文
来源期刊
CiteScore
12.20
自引率
9.90%
发文量
218
审稿时长
2 months
期刊介绍: The Journal of Clinical Immunology publishes impactful papers in the realm of human immunology, delving into the diagnosis, pathogenesis, prognosis, or treatment of human diseases. The journal places particular emphasis on primary immunodeficiencies and related diseases, encompassing inborn errors of immunity in a broad sense, their underlying genotypes, and diverse phenotypes. These phenotypes include infection, malignancy, allergy, auto-inflammation, and autoimmunity. We welcome a broad spectrum of studies in this domain, spanning genetic discovery, clinical description, immunologic assessment, diagnostic approaches, prognosis evaluation, and treatment interventions. Case reports are considered if they are genuinely original and accompanied by a concise review of the relevant medical literature, illustrating how the novel case study advances the field. The instructions to authors provide detailed guidance on the four categories of papers accepted by the journal.
×
引用
GB/T 7714-2015
复制
MLA
复制
APA
复制
导出至
BibTeX EndNote RefMan NoteFirst NoteExpress
×
提示
您的信息不完整,为了账户安全,请先补充。
现在去补充
×
提示
您因"违规操作"
具体请查看互助需知
我知道了
×
提示
确定
请完成安全验证×
copy
已复制链接
快去分享给好友吧!
我知道了
右上角分享
点击右上角分享
0
联系我们:info@booksci.cn Book学术提供免费学术资源搜索服务,方便国内外学者检索中英文文献。致力于提供最便捷和优质的服务体验。 Copyright © 2023 布克学术 All rights reserved.
京ICP备2023020795号-1
ghs 京公网安备 11010802042870号
Book学术文献互助
Book学术文献互助群
群 号:604180095
Book学术官方微信